目录
求导公式
参考:矩阵分析与应用 张贤达 第五章 梯度分析和最优化 P271
本节证明过程参考:矩阵求导公式的数学推导(矩阵求导——基础篇) - 知乎
设:





2.1 向量x与常数向量a的乘积,对该向量x求导

2.2 向量x的转置与自身的乘积,对该向量x求导

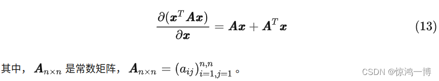
2.3 向量x的转置乘以一个常数矩阵,再乘以该向量,对该向量求导

2.4 向量x与两个常数向量乘积的求导

2.5 几个其它公式
2.5.1 向量x的转置对自身的导数,等于单位向量I

2.5.2 向量x的转置乘以矩阵A, 乘以向量y, 对向量x的导数

2.5.3 设A为m*n矩阵,x为n*1向量,向量(Ax)对x求导,等于矩阵A的转置
设:





2.1 常数向量a的转置乘以矩阵X,再乘以常数向量b,对矩阵X的导数
(分子是一个标量,分母是一个矩阵)

2.1 常数向量a的转置乘以矩阵X的转置,再乘以常数向量b,对矩阵X的导数
(分子是一个标量,分母是一个矩阵)

2.3 常数向量a的转置乘以矩阵X,再乘以矩阵X的转置,再乘以常数向量b,对矩阵X的导数

2.3 常数向量a的转置乘以矩阵X的转置,再乘以矩阵X,再乘以常数向量b,对矩阵X的导数

参考:矩阵求导公式的数学推导(矩阵求导——基础篇) - 知乎
张贤达《矩阵分析与应用(第二版)》P147