内点法介绍这篇博文写的很好https://blog.csdn.net/dymodi/article/details/46441783,在这篇文章的基础上,本文给出障碍函数法代码和一个算例。
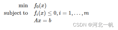
障碍函数内点法的主要思想是:把不等式约束放进目标函数里。以下面的问题为例

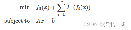
不等式约束放进目标函数,变成如下形式:

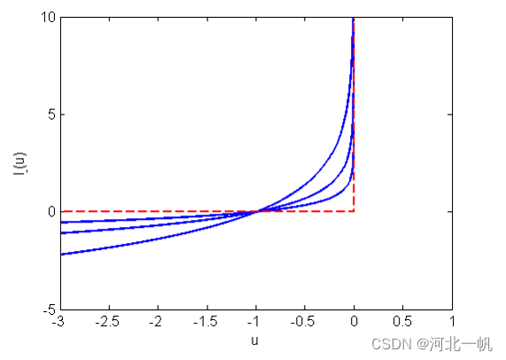
当
时,函数
特别大,我们希望
这个函数像下图红虚线的样子,

但那样不可导,所以我们用如下形式的函数去近似。

图中,
时由下往上的的3根蓝线,对应的
值是依次增大。障碍函数内点法在迭代的时候,t初值给一个小值,t逐渐增大,使可行域越来越接近红虚线。
在 t 的每一步迭代中,原问题转化为如下子问题:


求解子问题,得到一个最优解
,这个
是 t 下一步迭代的x初值。
子问题的求解可以用拉格朗日乘子法。

拉格朗日乘子法中,
通过牛顿迭代法(Newton-Raphson method)求解。
牛顿迭代法解非线性方程组

H(f)是Hessian矩阵。
得到子问题的最优解
,然后继续迭代 t
障碍函数内点法的算法步骤如下:(节选自Stephen Boyd的《Convex Optimization》)

迭代终止条件中的m就是不等式约束的个数那个m,为什么以这个条件为终止的原因,参见文章开头提到的博客,Boyd的书里也有详细的证明,是通过原问题的对偶问题证明得到的。
是一个大于0的参数,使t每次迭代增大。
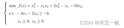
算例:
求解如下二次规划问题(解为 x1=0.5,x2=2.25):

转化为如下子问题:

完整python代码如下:
- import numpy as np
- import time
-
-
- def grad_f(t, x1, x2):
- return np.array([[t * (2 * x1 - x2 - 1) + 3 / (6 - 3 * x1 - 2 * x2) - 1 / x1],
- [t * (-1 * x1 + 4 * x2 - 10) + 2 / (6 - 3 * x1 - 2 * x2) - 1 / x2]])
-
-
- def Hessian_f(t, x1, x2):
- return np.array([[2*t - 9 / pow((6-3*x1-2*x2), 2) + 1 / pow(x1, 2), -t - 6 / pow((6-3*x1-2*x2), 2)],
- [-t - 6 / pow((6-3*x1-2*x2), 2), 4*t - 4 / pow((6-3*x1-2*x2), 2) + 1 / pow(x2, 2)]])
-
-
- def NewtonRaphson(t, x1, x2):
- gf = grad_f(t, x1, x2)
-
- Hf = Hessian_f(t, x1, x2)
- Hf_inv = np.linalg.inv(Hf)
-
- deltaX = 0.1 * np.matmul(Hf_inv, gf)
- res = np.linalg.norm(deltaX, 2)
-
- return x1 - deltaX[0, 0], x2 - deltaX[1, 0], res
-
-
- if __name__ == "__main__":
- time_start = time.time()
- t = 2
- x1 = 1
- x2 = 2
- while True:
- while True:
- x1, x2, res = NewtonRaphson(t, x1, x2)
- if res < 0.0001:
- break
-
- # print(x1, x2, res)
- # print("------")
-
- if 3.0 / t < 0.0001:
- time_end = time.time()
- print('consume time:', time_end - time_start)
- print("t:{}, x1:{}, x2:{}".format(t, x1, x2))
- break
- t = 2 * t