一鼓作气再而衰三而竭。 小艺总是喜欢把任务分开做。小艺接到一个任务,任务的总任务量是n。 第一天小艺能完成x份任务,第二天能完成x/k ... ...第t天能完成x/(k^(t-1))。 小艺想知道自己第一天至少完成多少才能完成最后的任务。
第一天为x份任务,即x除以1,1为k的0次方。
第二天为x/k份任务,以此类推,得到以下的公式表达:

其中
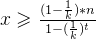
可以利用高中时学的等比数列求和公式,提取x后,得到如下公式:

即

当t趋近于无穷大的时候,
趋近于0,所以公式可以化简为:

- int solution(std::vector<int>& vec){
- int n=vec[0];
- int k=vec[1];
- return n-n/k+1;
- }
仅AC了20%。
在题目中,其实有两个隐藏条件需要考虑:
1、单个任务不能继续拆分为分数,所以每天完成的任务数必须为整数;
2、每天完成的任务最小值为1。
由于这两个隐藏条件。所以不能简单的用公式法来解这个问题,需要通过循环查找或者优化为二分查找法对查找出满足大于n的x,具体实现的方法,参考其他同学在CSDN中分享,不再赘述。
对于具体题目来说,题目的个体差异性比较大,不做建议。对于平台体验来说,我觉得可以做几个优化。
1、比赛结束后,是否可以给出题目的链接,让同学们可以继续再回味总结总结;
2、自测的时候,是否可以给出正确的运行结果,不切换IDE,解决手算验证结果慢的问题;
3、比赛结束后,给几个参考代码实现或者思路提示,让同学们比赛后有所提高;
4、比赛结束后,开放题目讨论区,让同学们可以讨论不同的解法和思考,提高平台活跃度。
5、积累一定数量的勋章是否可以换个周边礼物,对我们这种小白同学也鼓励鼓励。
总体来说,平台的IDE环境和自测框架都比较友好,如果能结合强大的博客资源整合出一个覆盖全面的计算机社区、教育、培训、认证、招聘等一体化的平台,那么对我们这些编程爱好者们应该是一个好事情吧。