上述的排列树算法虽然也适用于全排列。但是全排列有更好的算法,这个算法就是大名鼎鼎的Heap算法Heap’s algorithm。注意,这里的Heap不是堆的意思,而是计算机科学家B. R. Heap的姓氏。
Heap算法是一种递归算法。他的想法就是用互换生成整个凯莱图。其基本算法是这样的,先把前n-1项使用递归方法去互换。一系列互换完成,再与最后一个元素互换。具体的置换原理非常难,网上没有讲清楚的,我这次多用几张图画清楚吧,以ABC三个元素的排列,先看看位置变化:

上面的图什么意思呢?在减号前面是进入节点时的排列,减号后面是程序流程离开节点后的排列。
这很难看出规律,如果知道置换知识可能更容易理解。我们改成置换表达式再看看:

在置换图里,因为下层递归完成后,会再执行一次置换,而这次置换会影响同级的下一个节点,所以我把置换放入了平级箭头上。因为最后还执行了一次(1 3),所以我画了一个指向根节点的箭头。我们知道对于3个元素的置换,(1 2)与(1 3)交替就可以遍历完,这在凯莱图里是一个六边形。三元素的置换不足以剖析Heap算法的精妙之处。
因为三元素的置换,会让人误以为,每个元素和最后一个元素交换就行了。但是事实不是这样,起码两个元素的交换不是这样,比如最底层的
(
1
2
)
(1\;2)
(12)后面没有再进行一个
(
1
2
)
(1\;2)
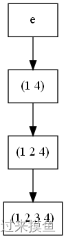
(12)置换。下面这幅图是四个元素的全排列:

接下来我重点讲讲为什么奇偶处理不一样。如果把四元素的置换换成四个左陪集效果会更明显:

而大循环的起点是这样的:

对于n为偶数的对称群
S
n
S_n
Sn来说,有这么一个规律:其子群
S
n
−
1
S_{n-1}
Sn−1的每个左陪集里有
e
,
(
1
n
)
,
(
1
2
n
)
,
(
1
2
3
n
)
,
…
,
(
1
2
3
…
n
)
e,(1\;n),(1\;2\;n),(1\;2\;3\;n),\dots,(1\;2\;3\dots\;n)
e,(1n),(12n),(123n),…,(123…n)这些元素。注意,偶数不会还原为恒等置换e,会残留一个
(
1
2
3
…
n
)
(1\;2\;3\dots\;n)
(123…n)这样的置换。那么如果放到更大的循环,例如进行五元素的排列,又会如何呢?看下图:
对于奇数来说而每个偶数的递归子程序会残留一个
(
1
2
3
…
n
−
1
)
(1\;2\;3\dots\;n-1)
(123…n−1),与奇数的
(
1
n
)
(1\;n)
(1n)恰好组成
(
1
2
3
…
n
)
(1\;2\;3\dots\;n)
(123…n)置换,而n个
(
1
2
3
…
n
)
(1\;2\;3\dots\;n)
(123…n)恰好变回恒等置换e。例如上图的
(
1
2
3
4
)
(1\;2\;3\;4)
(1234)与
(
1
5
)
(1\;5)
(15)组成
(
1
2
3
4
5
)
(1\;2\;3\;4\;5)
(12345),五个
(
1
2
3
4
5
)
(1\;2\;3\;4\;5)
(12345)恰好还原为e。所以Heap算法的核心原理就是偶数残留一个全错位置换(
(
1
2
3
…
n
)
(1\;2\;3\dots\;n)
(123…n)),奇数再还原为e。这样一奇一偶,循环往复,其代码思想十分优美。
def recursive(array, last, result):
if last == 0:
result.append(array[:])
return
for i in range(0, last + 1):
recursive(array, last - 1, result)
before = array[:]
if last & 1 == 0:
array[0], array[last] = array[last], array[0]
else:
array[i], array[last] = array[last], array[i]
def permutations(array):
result = []
recursive(array, len(array) - 1, result)
return result
if __name__ == '__main__':
result = permutations(['A', 'B', 'C', 'D'])
for x in result:
print(x)
测试结果:
['A', 'B', 'C', 'D']
['B', 'A', 'C', 'D']
['C', 'A', 'B', 'D']
['A', 'C', 'B', 'D']
['B', 'C', 'A', 'D']
['C', 'B', 'A', 'D']
['D', 'B', 'C', 'A']
['B', 'D', 'C', 'A']
['C', 'D', 'B', 'A']
['D', 'C', 'B', 'A']
['B', 'C', 'D', 'A']
['C', 'B', 'D', 'A']
['D', 'A', 'C', 'B']
['A', 'D', 'C', 'B']
['C', 'D', 'A', 'B']
['D', 'C', 'A', 'B']
['A', 'C', 'D', 'B']
['C', 'A', 'D', 'B']
['D', 'A', 'B', 'C']
['A', 'D', 'B', 'C']
['B', 'D', 'A', 'C']
['D', 'B', 'A', 'C']
['A', 'B', 'D', 'C']
['B', 'A', 'D', 'C']