1. 为了促进学生有效的复习,可以采用个性化教育方法,根据学生的学习特点和认知方式,设计针对性的学习计划和资源,以提高学习效果和复习效率。同时,结合认知心理学和教育技术,利用智能化辅助工具和学习平台,为学生提供多样化的学习材料和互动学习环境,以激发学生的学习兴趣和主动性。
2. 为了帮助学生取得高分,可以采用有效的评估和反馈机制,如定期的考试和作业评价,以及及时的个性化反馈。此外,教师可以运用不同的教学策略和教学资源,如启发式教学、案例分析和实践活动,以提高学生的学习能力和综合素质。同时,建立积极的学习氛围和合作学习环境,培养学生的自主学习和合作学习能力,使其能够更好地应对考试和学术挑战。
3. 为了避免帮助学生蒙题拿分的行为,教育者应坚持教育伦理和学术诚信原则,注重培养学生的正直品质和道德观念。教师可以通过引导学生进行深入的思考和理解,强调知识的实际运用和学习的长远价值,培养学生的学习动机和责任感。同时,教师可以设计开放性的评估方式和任务,注重学生的思维能力和创新能力的培养,从而减少学生蒙题的诱因。
填空题:要么写0,要么写1。如果是线性代数大部分写0。
计算题:要写上假设谁谁谁,再写个函数出来。在求个导数,在算个驻点。
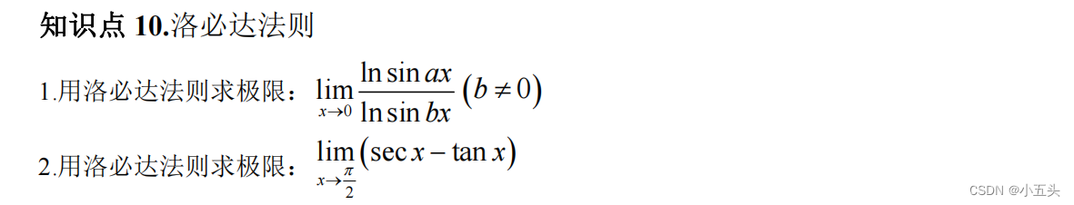
①代数法 ②同除法 ③有理化 ④等价 ⑤两个重要极限 ⑥洛必达


















































