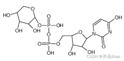
产品名称:尿苷二磷酸修饰阿拉伯糖,阿拉伯糖偶联核苷酸
英文名称:UDP-b-L-arabinopyranose disodium salt,UDP-L-Arabinose
CAS号:15839-78-8
分子式:C14H22N2O16P2
分子量:536.27600
产地:西安
规格:1mg 5mg 10mg
纯度:99%
用途:仅用于科研
温馨提示:仅用于科研,不能用于人体实验!
核苷酸糖是核苷二磷酸或核苷一磷酸与不同单糖异头体羟基形成的衍生物,是糖类合成或相互转换时的活化形式,如GDP-Fuc,CMP-SA,UDP-Gal。核苷酸糖是核糖核苷酸的组成部分,核糖核苷酸分解生成核苷酸糖,合成核糖核苷酸是消耗核苷酸糖。

相关产品:
UDP-L-arabinose
尿苷二磷酸修饰阿拉伯糖
阿拉伯糖偶联核苷酸
UDP-B-L-阿拉伯糖二钠盐
UDP-阿拉伯糖
UDP-L-arabinose
UDP-β-L-Arap
UDP-β-L-Ara.2Na
UDP-b-L-arabinopyranose disodium salt
UDP-b-L-arabinopyranose
Uridine 5'-(trihydrogen diphosphate), P'-β-L-arabinopyranosyl ester
UDP-β-L-Ara.2Na
丹参酮ⅡA聚乳酸载药纳米粒;
负载药物的聚氰基丙烯酸酯载药纳米粒;
多西紫杉醇载药纳米粒子;
RGD修饰冬凌草甲素聚乳酸载药纳米粒;
聚氨基酸-磷酸钙杂化载药纳米粒子;
长春碱印迹纳米聚合物载药纳米粒;
PLGE载药纳米颗粒药物;
中空介孔硅载药纳米颗粒;
多肽修饰七甲川花菁素类染料的肿瘤细胞核靶向载药纳米粒子;
有竹红菌素-顺铂载药纳米粒子;
果胶/阿霉素结合物的pH响应载药纳米粒子;
pH响应的木质素-组氨酸载药纳米粒子;
修饰壳聚糖-金自组装载药纳米粒子;
编辑:Qiyue hao,2022年12月5日,该产品仅用于科研,不可用做其他用途,如因违反而产生不良后果,皆与本公司无关。