• 超大规模研究发现,缺乏维生素D,增加早逝风险


    c0b92056efb0dc97f31b1c55fad4ab63.jpeg


    晒太阳是日常生活中最常见的一件事情了,但是很多人为了避免晒黑不喜欢晒太阳,更是把自己在夏天裹得严严实实,恨不得只露两只眼睛。其实每天晒太阳对身体有很多益处,杀菌消毒、促进维生素D的生成、促进血液循环和加速脂肪燃烧等。


    维生素D的主要来源是紫外线,它在维持骨骼和肌肉骨骼健康方面有着公认的作用,还可以帮助抵御感染和癌症。近几年来,研究人员发现低维生素D水平与疾病之间存在很强的相关性。


    近日,南澳大利亚大学的研究人员在" Annals of Internal Medicine "(IF=52)期刊上发表了一篇题为" Vitamin D Deficiency Increases Mortality Risk in the UK Biobank-A Nonlinear Mendelian Randomization Study "的研究论文。


    该研究表明,缺乏维生素D与死亡率之间存在因果关系,维生素D缺乏症越严重,死亡风险就越大


    93880c3cf109a374bb2aa1c81da9ba43.jpeg

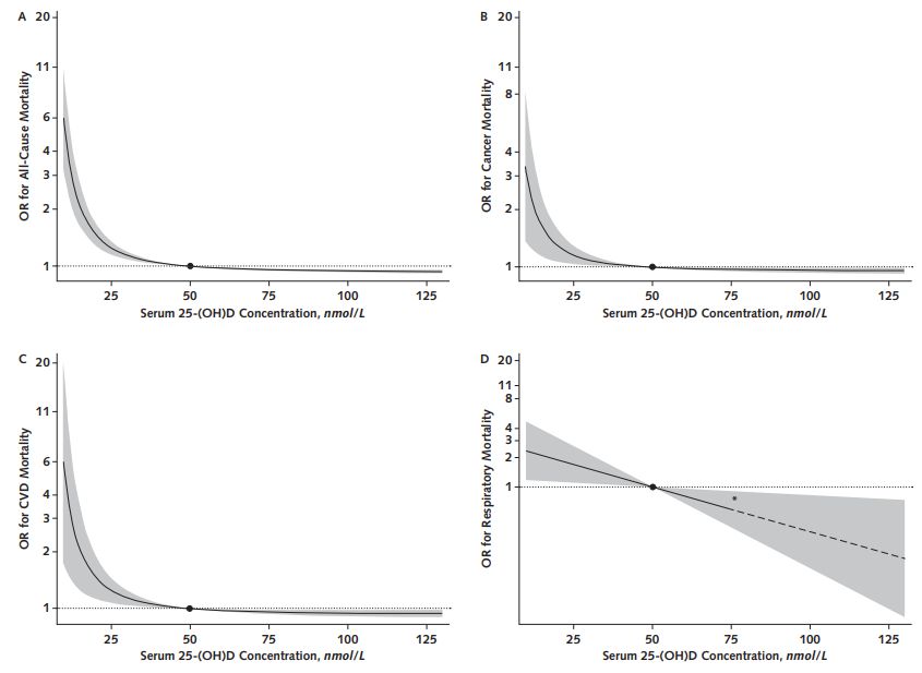
    在该研究中,研究人员分析了 UK Biobank 数据库中307601名参与者,进行了一项非线性孟德尔随机化研究,通过参与者机体25-羟基维生素D(25-(OH) D)的测量值和死亡率,评估了低维生素D状态与死亡率的因果关系。


    研究人员表示,正常维生素D平均浓度为45.2 nmol/L,低于25 nmol/L为低水平。


    在平均14年的随访期间,共记录了18700人死亡。


    研究发现,维生素D浓度与全因死亡率呈 L 型相关,随着维生素D浓度的增加,死亡风险显著降低,直至50nmol/L。在严重缺乏的人群中,效果最为明显


    4b9991a357d37837d6524fbc7763d17b.jpeg 维生素D与全因(A)、癌症(B)、CVD(C)和呼吸(D)之间的死亡关系

    与正常维生素D浓度参与者相比,低水平维生素D浓度(25 nmol/L)的参与者,全因死亡风险增加25%


    此外,在癌症、心血管疾病和呼吸系统疾病的死亡率分析中,也发现了类似的结果。


    研究人员表示,需要更多研究来制定有效的公共卫生策略,以提高维生素D摄入,并降低与维生素D水平低相关的过早死亡风险。


    综上,研究发现了缺乏维生素D与死亡率之间的因果关系,充足的维生素D水平对健康非常重要,可以降低早逝的风险。



  • 相关阅读:
    认真学习MySQL的逻辑架构
    JSR303数据校验
    记录uniapp切换主题色能在抖音小程序上无效问题
    while循环语句
    记一次任意文件下载到Getshell
    基于OpenFeign实现服务调用
    R语言for循环绘图
    跑步戴什么耳机比较好,五款专业运动的耳机排行
    Android驱动开发之如何编译和更换内核
    互联网医院系统|互联网医院监管平台的作用
  • 原文地址:https://blog.csdn.net/weixin_58400658/article/details/127986588