✅<1>主页:C语言的前男友
📃<2>知识讲解:LeetCode经典链表笔试题目
🔥<3>创作者:C语言的前男友
☂️<4>开发环境:Visual Studio 2022
🏡<5>系统环境:Windows 10
💬<6>前言:今天来讲解几个经典的链表题目,链接已经给出大家可以挑战一下。
目录
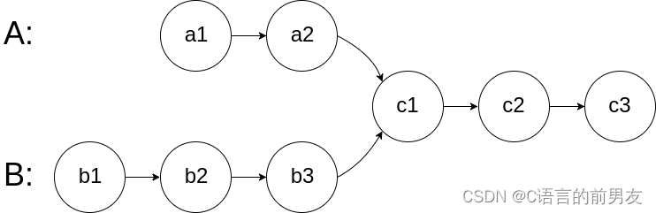
给你两个单链表的头节点 headA 和 headB ,请你找出并返回两个单链表相交的起始节点。如果两个链表不存在相交节点,返回 null 。图示两个链表在节点 c1 开始相交:

如果两个链表相交,则必有公共结点,我们只需要返回第一个公共结点就可以了,第一个公共结点就是第一个相交结点。怎么找他的第一个公共结点呢?最简单的就是两个循环,去遍历两个链表。用链表B中的结点挨个与链表A的结点比较是否相等。如果存在相等的结点,第一个相等的结点就是两个单链表相交的起始节点,返回任意一个结点。如果没有相交结点,那么两个链表不相交,返回 NULL 。此方法时间复杂度为O(n^2).
- struct ListNode *getIntersectionNode(struct ListNode *headA, struct ListNode *headB)
- {
- for(struct ListNode*i=headA;i!=NULL;i=i->next)
- {
- for(struct ListNode*j=headB;j!=NULL;j=j->next)
- {
- if(i==j)
- {
- return i;
- }
- }
- }
- return NULL;
- }
如果让两个指针能从下面的地方开始走,那么两个指针相遇的时候一定就是两个单链表相交的起始节点。

那么问题就是怎么找到这两个位置。其实不难发现只要让 curB 先走,让 curB 之后的链表节点数与 curA 后面的节点数一样。只要让长的链表先走 长链表比短链表多的节点数的 步数,就可以了。
- struct ListNode *getIntersectionNode(struct ListNode *headA, struct ListNode *headB) {
- struct ListNode*listA=headA;
- struct ListNode*listB=headB;
- int countA=0; //A链表的长度
- int countB=0; //B链表的长度
- //计算B链表的长度
- while(listA)
- {
- countA++;
- listA=listA->next;
- }
- //计算A链表的长度
- while(listB)
- {
- countB++;
- listB=listB->next;
- }
- //计算长度差
- int n=abs(countA-countB);
- //先假设A为长链表,B为短炼表
- struct ListNode*longlist=headA;
- struct ListNode*shortlist=headB;
- //如果不符合就纠正一下
- if(countB>countA)
- {
- longlist=headB;
- shortlist=headA;
- }
- //让长链表先走
- while(n--)
- {
- longlist=longlist->next;
- }
- //长短链表同时走
- while(longlist&&shortlist)
- {
- //第一次相遇就是相交的第一个结点
- if(longlist==shortlist)
- {
- return longlist;
- }
- longlist=longlist->next;
- shortlist=shortlist->next;
- }
- return NULL;
- }
给定一个链表的头节点 head ,返回链表开始入环的第一个节点。 如果链表无环,则返回 null。如果链表中有某个节点,可以通过连续跟踪 next 指针再次到达,则链表中存在环。 为了表示给定链表中的环,评测系统内部使用整数 pos 来表示链表尾连接到链表中的位置(索引从 0 开始)。如果 pos 是 -1,则在该链表中没有环。注意:pos 不作为参数进行传递,仅仅是为了标识链表的实际情况。不允许修改 链表。



利用带环链表的特点加上严格的逻辑推导:

- struct ListNode *detectCycle(struct ListNode *head){
-
- struct ListNode*frist=head;//快指针
- struct ListNode*slow=head;//慢指针
- //如果遇到结点为空,就说明不是带环结点,直接返回NULL
- while(frist&&frist->next)
- {
- frist=frist->next->next; //快指针一次走两步
- slow=slow->next; //慢指针一次走一步
- if(frist==slow)//在环中相遇
- {
- struct ListNode*meet=frist;//一个从环中走
- struct ListNode*cur=head;//一个从链表头走
- while(meet!=cur)//相遇是循环结束
- {
- meet=meet->next;
- cur=cur->next;
- }
- return meet;//相遇的结点就是环入口点
- }
- }
- return NULL;
-
- }
利用快慢指针,让两指针在环中相遇点,将相遇点拆开。相遇点的后一个结点变成新的头节点,相遇点的next指向NULL。这样带环问题就变成了,两个链表相交的问题。

产生的两条新的链表,head 和 phead ,两条链表相交的第一个的以公共结点就是,以前带环链表的环入口处。
- //找到链表相交的第一个结点
- struct ListNode *getIntersectionNode(struct ListNode *headA, struct ListNode *headB) {
- struct ListNode*listA=headA;
- struct ListNode*listB=headB;
- int countA=0;
- int countB=0;
- while(listA)
- {
- countA++;
- listA=listA->next;
- }
- while(listB)
- {
- countB++;
- listB=listB->next;
- }
- int n=abs(countA-countB);
- struct ListNode*longlist=headA;
- struct ListNode*shortlist=headB;
- if(countB>countA)
- {
- longlist=headB;
- shortlist=headA;
- }
- while(n--)
- {
- longlist=longlist->next;
- }
- while(longlist&&shortlist)
- {
- if(longlist==shortlist)
- {
- return longlist;
- }
- longlist=longlist->next;
- shortlist=shortlist->next;
- }
- return NULL;
- }
- struct ListNode *detectCycle(struct ListNode *head)
- {
- struct ListNode*frist=head;
- struct ListNode*slow=head;
- while(frist&&frist->next)
- {
- frist=frist->next->next;
- slow=slow->next;
- //快慢指针在环中相遇
- if(frist==slow)
- {
- //拆分环行链表段
- struct ListNode*phead=frist->next;
- slow->next=NULL;
- //返回相交结点
- return getIntersectionNode(phead,head);
- }
- }
- return NULL;
- }
