1、内容简介
略
592-可以交流、咨询、答疑
2、内容说明
当今,高层建筑数量及高度的不断增加使得高速电梯的推广和普及成为一种必然趋
势,然而电梯运行速度的提高使得其水平振动问题愈加显著。强烈的水平振动会给乘客
造成眩晕、呕吐等生理和心理上的不适反应,降低了电梯的乘坐舒适性,同时,剧烈的
水平振动还会影响电梯内部精密零件的使用寿命,降低了电梯的乘坐安全性。传统的被
动减振虽然对于低速电梯具有较好的减振效果,但由于其只适应频率变化不大的外干扰,
对于高速电梯轿厢系统水平振动的抑制效果较差。因此,构建更加符合真实服役环境中
的高速电梯水平振动模型,并以此为基础,探究不同影响因素作用下的高速电梯轿厢系
统水平振动的主动控制方法,对于提升我国高速电梯运行品质具有重要的理论和工程实
际意义。
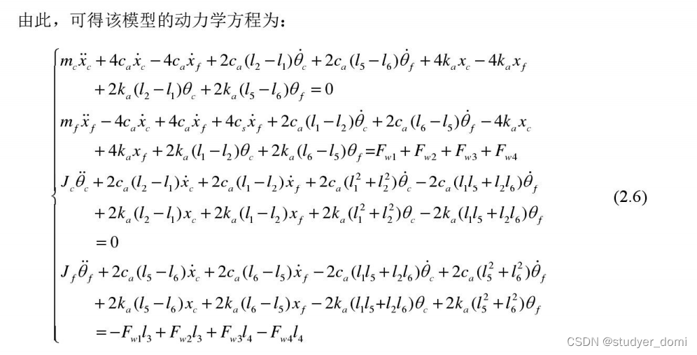
考虑4m/s高速电梯(山东富士制御电梯有限公司)轿厢体与轿架质心不重合以及轿
厢体与轿架之间弹性连接问题,应用Lagrange能量法建立了高速电梯轿厢体与轿架分离
的8自由度水平振动模型;然后,在MATLAB中,对所建模型的水平振动加速度进行仿
真分析;随后,利用DT-4A电梯加速度检测仪测量4m/s高速电梯轿厢系统水平振动加
速度;最后,在时域上求解并分析仿真轿厢系统水平振动加速度和实测轿厢系统水平振
动加速度的典型数字特征值(均方根值、均值、最大值),在频域上对比分析仿真曲线和
实测曲线趋势。结果显示,在时域上,轿厢体仿真水平振动加速度的典型数字特征值与
实测水平振动加速度的典型数字特征值之间的相对误差为2.05%、4.63%、4.44%,轿架
仿真水平振动加速度的典型数字特征值与实测水平振动加速度的典型数字特征值之间的
相对误差为4.62%、7.12%、 1.54%; 在频域上,实测值与仿真值均显示轿厢系统水平振
动的最大幅值均集中于0-5Hz的低频区间,且振动趋势基本-致。因此,所建立模型较
为准确,为后续研究抑制轿厢系统水平振动的主动控制方法奠定了模型基础。
关键词:高速电梯,轿厢系统,水平振动,气液式主动导靴,主动控制


3、仿真分析
略




4、参考论文
高速电梯轿厢系统水平振动主动控制研究_曹顺心
变论域自适应模糊PID主动悬架控制研究_时培成.pdf