我们前面已经了解了树和堆的性质原理,今天就来学习一下链式二叉树,也就是递归
下面是我们前面讲的树、二叉树和堆的一些性质:
其次,我们在下面实现二叉树要使用到队列的代码
我们在拿到一组数据的时候,这组数据在逻辑结构上面并不是一个二叉树,这里为了方便直接手动构建一个二叉树
通过前序遍历的数组"123#7###45##6##"构建二叉树
BTNode* BinaryTreeCreate1()
{
BTNode* n1 = (BTNode*)malloc(sizeof(BTNode));
assert(n1);//为了方便直接断言n1,后面同理
BTNode* n2 = (BTNode*)malloc(sizeof(BTNode));
assert(n2);
BTNode* n3 = (BTNode*)malloc(sizeof(BTNode));
assert(n3);
BTNode* n4 = (BTNode*)malloc(sizeof(BTNode));
assert(n4);
BTNode* n5 = (BTNode*)malloc(sizeof(BTNode));
assert(n5);
BTNode* n6 = (BTNode*)malloc(sizeof(BTNode));
assert(n6);
BTNode* n7 = (BTNode*)malloc(sizeof(BTNode));
assert(n7);
n1->data = 1;
n2->data = 2;
n3->data = 3;
n4->data = 4;
n5->data = 5;
n6->data = 6;
n7->data = 7;
n1->left = n2;
n1->right = n4;
n2->left = n3;
n2->right = NULL;
n3->left = NULL;
n3->right = n7;
n4->left = n5;
n4->right = n6;
n5->left = NULL;
n5->right = NULL;
n6->left = NULL;
n6->right = NULL;
n7->left = NULL;
n7->right = NULL;
return n1;
}

这样就构成了一个简单的二叉树
接下来换一种方法进行构建二叉树
通过前序遍历的数组"ABD##E#H##CF##G##"构建二叉树
//通过前序遍历的数组"ABD##E#H##CF##G##"构建二叉树
BTNode* BinaryTreeCreate2(char* a, int* pi)//这里的*pi是下标,如果不使用下标在特殊情况下*pi下标对应的值会被后面的值给覆盖了
{
if (a[*pi] == '#')//如果数组里面的元素是#,那么下标*pi就加加,到下一位
{
(*pi)++;
return NULL;
}
BTNode* root = (BTNode*)malloc(sizeof(BTNode));//动态开辟root
if (root == NULL)
{
perror("malloc fail\n");
exit(-1);
}
root->data = a[(*pi)++];//二叉树的节点值就等于数组a里面的元素
root->left = BinaryTreeCreate2(a, pi);//左子树递归
root->right = BinaryTreeCreate2(a, pi);//右子树递归
return root;//返回root就是返回我们构建出来的二叉树的起始地址
}
char a[18] = "ABD##E#H##CF##G##";
int pi = 0;
//BTNode* root = BinaryTreeCreate2(a, &pi);
root = BinaryTreeCreate2(a, &pi);
BinaryTreePrevOrder(root);//要用%c遍历
普通二叉树不像特殊二叉树和堆那样,它的函数接口并不是增删查改,因为普通二叉树进行增删查改没有意义
普通二叉树最常见的操作就是前序遍历、中序遍历、后序遍历和层序遍历
我们先来看看前面的三种遍历:
学习二叉树结构,最简单的方式就是遍历。所谓二叉树遍历(Traversal)是按照某种特定的规则,依次对二叉
树中的节点进行相应的操作,并且每个节点只操作一次。访问结点所做的操作依赖于具体的应用问题。 遍历
是二叉树上最重要的运算之一,也是二叉树上进行其它运算的基础。

按照规则,二叉树的遍历有:前序/中序/后序的递归结构遍历:
1 . 前序遍历(Preorder Traversal 亦称先序遍历)——访问根结点的操作发生在遍历其左右子树之前。
2. 中序遍历(Inorder Traversal)——访问根结点的操作发生在遍历其左右子树之中(间)。
3. 后序遍历(Postorder Traversal)——访问根结点的操作发生在遍历其左右子树之后。
由于被访问的结点必是某子树的根,所以N(Node)、 L(Left subtree)和R(Right subtree)又可解释为
根、根的左子树和根的右子树。 NLR、 LNR和LRN分别又称为先根遍历、中根遍历和后根遍历。
也就是说三种遍历的操作顺序为:
前序遍历:根——左子树——右子树
中序遍历:左子树——根——右子树
后序遍历:左子树——右子树——根
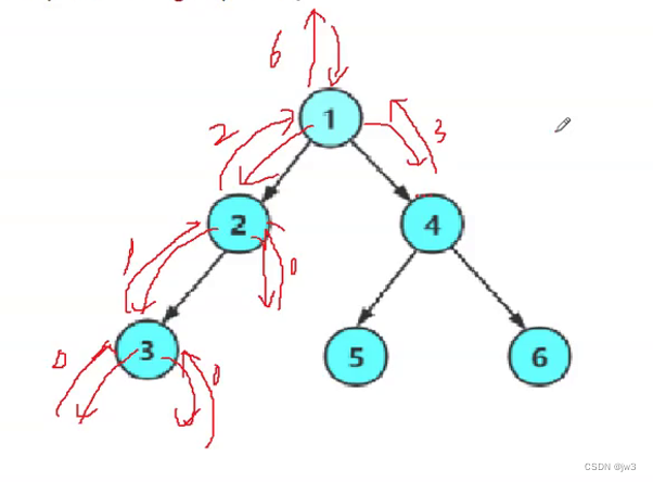
这里我们来看看前序遍历,中序遍历和后序遍历也会融会贯通的
前序遍历递归图解:


接下来看看前、中、后序遍历的代码:
// 二叉树前序遍历
void BinaryTreePrevOrder(BTNode* root)
{
if (root == NULL)
{
printf("NULL ");
return;
}
printf("%d ", root->data);
BinaryTreePrevOrder(root->left);
BinaryTreePrevOrder(root->right);
}
// 二叉树中序遍历
void BinaryTreeInOrder(BTNode* root)
{
if (root == NULL)
{
printf("NULL ");
return;
}
BinaryTreeInOrder(root->left);
printf("%d ", root->data);
BinaryTreeInOrder(root->right);
}
// 二叉树后序遍历
void BinaryTreePostOrder(BTNode* root)
{
if (root == NULL)
{
printf("NULL ");
return;
}
BinaryTreePostOrder(root->left);
BinaryTreePostOrder(root->right);
printf("%d ", root->data);
}
这里我们通过递归展开图来分析:

上面就是前序遍历的递归展开图,中序遍历和后序遍历与上面差不多,大家可以自己动手画一画
接下来我们看看层序遍历,这里就要用到一个队列来完成了。因为用队列会比较简单
主要逻辑就是:上一层节点出的时候带入下一层节点

这里就是QueueNode里面包含了一个BTNode*

代码如下:
// 层序遍历
void BinaryTreeLevelOrder(BTNode* root)
{
Queue p;
QueueInit(&p);
if (root)//如果树的节点不为空,就先把树的节点入进去
QueuePush(&p, root);
while (!QueueEmpty(&p))//如果队列不为空
{
BTNode* front = QueueFront(&p);//出队头数据
QueuePop(&p);
printf("%d ", front->data);//打印
if (front->left)//上一层节点出的时候,带下一层左节点
QueuePush(&p, front->left);
if (front->right)//上一层节点出的时候,带下一层右节点
QueuePush(&p, front->right);
}
printf("\n");
QueueDestroy(&p);
}
这个挺简单的,也是左右递归下去然后free掉root
// 二叉树销毁
void BinaryTreeDestory(BTNode* root)
{
if (root == NULL)
return;
BinaryTreeDestory(root->left);
BinaryTreeDestory(root->right);
free(root);
}
// 二叉树节点个数
int BinaryTreeSize(BTNode* root)
{
return root == NULL ? 0 : BinaryTreeSize(root->left) + BinaryTreeSize(root->right) + 1;
//如果root不等于NULL,那么就返回左子树节点与右子树节点加上1的和,就是整个二叉树节点个数
}

注意:
这里如果使用一个计数器的话有许多弊端的。如果使用局部变量计数器那么就不会返回,因为局部变量计数器出作用域就销毁了,外面接收返回值就相当于越界访问了;如果加static变为静态变量也有问题,局部的静态变量只有在第一次调用的时候会初始化,static修饰的变量是保存在静态区的,这个变量在函数销毁之后并不会销毁,那么如果多次求二叉树节点个数结果会不断累加
同一棵树调用两次求节点个数:
可以看到结果是累加的,所以使用static修饰的静态变量也有问题
如果使用全局变量计数的话,在每次统计个数的时候记得把全局变量初始化为0,不然结果也是累加的
// 二叉树叶子节点个数
int BinaryTreeLeafSize(BTNode* root)
{
if (root == NULL)
return 0;
if (root->left == NULL && root->right == NULL)//如果节点的左子树和右子树都为空,那么该节点就是叶子节点,返回1
return 1;
return BinaryTreeLeafSize(root->left) + BinaryTreeLeafSize(root->right);//左子树的叶子节点加上右子树的叶子节点
}
//二叉树高度/层次
int BinaryTreeHeight(BTNode* root)//这里的函数是有返回值的,所以左右子树递归结果要用一个int变量进行统计
{
if (root == NULL)
return 0;
int leftheight = BinaryTreeHeight(root->left);//如果这里没有leftheight和下面的rightheight就接收不到左右子树的返回结果
int rightheight = BinaryTreeHeight(root->right);
return leftheight > rightheight ? leftheight + 1 : rightheight + 1;
//因为是求树高,所以左右子树高度高的那一个加上根就是整个树的高度
}
// 二叉树第k层节点个数
int BinaryTreeLevelKSize(BTNode* root, int k)
{
assert(k > 0);
if (root == NULL)
return 0;
if (k == 1)//如果k等于1,就直接返回1,因为左右子树递归到第k层的时候有且仅有一个节点
return 1;
return BinaryTreeLevelKSize(root->left, k - 1) + BinaryTreeLevelKSize(root->right, k - 1);
//左右递归,k依次减一,表示每次递归一层
}
// 二叉树查找值为x的节点
BTNode* BinaryTreeFind(BTNode* root, NDataType x)//与上面一样,函数有返回值的
{
if (root == NULL)
return NULL;
if (root->data == x)//如果data等于x,直接返回root当前的地址
return root;
BTNode* left = BinaryTreeFind(root->left, x);//这里和下面都需要一个BTNode指针类型来接收左右子树递归返回的地址
//if(left)
//return left;
BTNode* right = BinaryTreeFind(root->right, x);
//if(right)
//return right;
//return NULL;
return left == NULL ? right : left;
//这里是一个小妙招,如果left等于NULL,就返回right地址;即便是right是NULL,返回right也没错,因为left是NULL
}
思路:
使用层序遍历方法,上一层节点出的时候带下一层节点,当出的节点为NULL时,后面数据必须都为NULL,否则就是错的

// 判断二叉树是否是完全二叉树
// 判断二叉树是否是完全二叉树(使用层序遍历方法)
int BinaryTreeComplete(BTNode* root)
{//与上面一样,上一层节点出的时候带下一层节点,当出的节点为NULL时,后面数据必须都为NULL,否则就是错的
Queue p;
QueueInit(&p);
if (root)//如果树的节点不为空,就先把树的节点入进去
QueuePush(&p, root);
while (!QueueEmpty(&p))
{
BTNode* front = QueueFront(&p);
QueuePop(&p);
if (front == NULL)//当出到NULL的时候就跳出
break;
QueuePush(&p, front->left);
QueuePush(&p, front->right);
}
while (!QueueEmpty(&p))//到这里如果后面全是NULL,那么是完全二叉树
{
BTNode* front = QueueFront(&p);
QueuePop(&p);
if (front != NULL)
{
QueueDestroy(&p);//记得销毁
return false;//如果后面有一个数据不是NULL,那么就不是完全二叉树
}
}
QueueDestroy(&p);
return true;
}
这里代码大部分都有注释,应该比较容易理解
Queue.h
#pragma once
#include
#include
#include
#include
typedef int NDataType;
typedef struct BinaryTreeNode
{
NDataType data;
struct BinaryTreeNode* left;
struct BinaryTreeNode* right;
}BTNode;//这里要把二叉树结构体定义放到这里,因为Queue.c也引用了Queue.h头文件,如果不放到这里,Queue.c无法使用下面的DataType
typedef BTNode* DataType;//这里不再是int重命名了,而是BTNode*类型重命名
//QueueNode*里面包含了一个BTNode*
typedef struct QueueNode//单链表的形式
{
DataType data;//数值
struct QueueNode* next;//指向下一个节点的指针
}QN;//重命名为QN
typedef struct Queue//定义一个结构体用来存放两个结构体指针
//这样修改外面指针(也就是改变head和tail指向节点)的时候,不用传二级指针和接收改变指针的返回值
{
QN* head;//指向队列的对头
QN* tail;//指向队列的对尾
int size;//记录队列数据个数,用一个计数器可以提高计算效率
}Queue;
void QueueInit(Queue* ps);//初始化
void QueueDestroy(Queue* ps);//释放空间
bool QueueEmpty(Queue* ps);//判断队列是否为空
void QueuePush(Queue* ps,DataType x);//入队列
void QueuePop(Queue* ps);//出队列
DataType QueueFront(Queue* ps);//队头数据
DataType QueueBack(Queue* ps);//队尾数据
int QueueSize(Queue* ps);//队列剩余数据个数
Queue.c
#define _CRT_SECURE_NO_WARNINGS
#include"Queue.h"
void QueueInit(Queue* ps)//初始化
{
assert(ps);
ps->head = ps->tail = NULL;//两个指针都指向空
ps->size = 0;//此时队列没有数据
}
void QueueDestroy(Queue* ps)//释放空间
{
assert(ps);
QN* cur = ps->head;//cur等于头指针,ps是结构体指针,结构体指针指向头指针
while (cur)//如果头指针不为空,就进入循环释放空间
{
QN* del = cur;//保留头指针的节点
cur = cur->next;//头指针向后移动
free(del);//释放头指针移动前的节点
}
ps->head = ps->tail = NULL;//释放完之后,头尾指针指向NULL
ps->size = 0;//数据个数清0
}
void QueuePush(Queue* ps, DataType x)//入队列
{
assert(ps);
QN* newnode = (QN*)malloc(sizeof(QN));//扩容一个新的节点出来
if (newnode == NULL)
{
perror("malloc fail\n");
exit(-1);
}
else
{
newnode->data = x;//对新节点就行初始化操作
newnode->next = NULL;//这里将新节点的next置空,不用考虑插入节点后的next指向了
}
if (ps->tail == NULL)//第一次入队列数据head和tail都是指向NULL的,直接让head和tail都指向第一个新节点
{
ps->head = ps->tail = newnode;
}
else
{
ps->tail->next = newnode;//将扩容节点插在tail后面
ps->tail = newnode;//让tail指向到插入的节点处
}
++ps->size;//插入size就加1,记录此时队列节点的个数
}
void QueuePop(Queue* ps)//出队列(队列出数据就相当于单链表的头删)
{
assert(ps);
assert(!QueueEmpty(ps));//如果队列没有节点了,断言生效
if(ps->head->next==NULL)//如果队列只剩下一个节点了,直接释放该节点,然后将头尾指针置空
{
free(ps->head);
ps->head = ps->tail = NULL;
}
else
{
QN* cur = ps->head;//保存当前头节点
ps->head = ps->head->next;//让头指针指向下一个节点
free(cur);//释放之前的头节点
cur = NULL;
}
--ps->size;//出一个数据size就减1
}
bool QueueEmpty(Queue* ps)//判断队列是否为空
{
assert(ps);
return ps->head == NULL && ps->tail == NULL;//头尾指针都指向NULL,队列才为空
}
DataType QueueFront(Queue* ps)//队头数据
{
assert(ps);
assert(!QueueEmpty(ps));
return ps->head->data;
}
DataType QueueBack(Queue* ps)//队尾数据
{
assert(ps);
assert(!QueueEmpty(ps));
return ps->tail->data;
}
int QueueSize(Queue* ps)//队列剩余数据个数
{
assert(ps);
return ps->size;
/*QN* cur = ps->head;//不使用size的方法,遍历队列,如果偶尔查看数据个数还好,经常使用效率太慢了
int capacity = 0;
while (cur)
{
++capacity;
cur = cur->next;
}
return capacity;*/
}
Test.c
#define _CRT_SECURE_NO_WARNINGS
#include"Queue.h"
// 通过前序遍历的数组"123#7###45##6##"构建二叉树
BTNode* BinaryTreeCreate1()
{
BTNode* n1 = (BTNode*)malloc(sizeof(BTNode));
assert(n1);
BTNode* n2 = (BTNode*)malloc(sizeof(BTNode));
assert(n2);
BTNode* n3 = (BTNode*)malloc(sizeof(BTNode));
assert(n3);
BTNode* n4 = (BTNode*)malloc(sizeof(BTNode));
assert(n4);
BTNode* n5 = (BTNode*)malloc(sizeof(BTNode));
assert(n5);
BTNode* n6 = (BTNode*)malloc(sizeof(BTNode));
assert(n6);
BTNode* n7 = (BTNode*)malloc(sizeof(BTNode));
assert(n7);
n1->data = 1;
n2->data = 2;
n3->data = 3;
n4->data = 4;
n5->data = 5;
n6->data = 6;
n7->data = 7;
n1->left = n2;
n1->right = n4;
n2->left = n3;
n2->right = NULL;
n3->left = NULL;
n3->right = n7;
n4->left = n5;
n4->right = n6;
n5->left = NULL;
n5->right = NULL;
n6->left = NULL;
n6->right = NULL;
n7->left = NULL;
n7->right = NULL;
return n1;
}
//通过前序遍历的数组"ABD##E#H##CF##G##"构建二叉树
BTNode* BinaryTreeCreate2(char* a, int* pi)//这里的*pi是下标,如果不使用下标在特殊情况下*pi下标对应的值会被后面的值给覆盖了
{
if (a[*pi] == '#')//如果数组里面的元素是#,那么下标*pi就加加,到下一位
{
(*pi)++;
return NULL;
}
BTNode* root = (BTNode*)malloc(sizeof(BTNode));//动态开辟root
if (root == NULL)
{
perror("malloc fail\n");
exit(-1);
}
root->data = a[(*pi)++];//二叉树的节点值就等于数组a里面的元素
root->left = BinaryTreeCreate2(a, pi);//左子树递归
root->right = BinaryTreeCreate2(a, pi);//右子树递归
return root;//返回root就是返回我们构建出来的二叉树的起始地址
}
// 二叉树销毁
void BinaryTreeDestory(BTNode* root)
{
if (root == NULL)
return;
BinaryTreeDestory(root->left);
BinaryTreeDestory(root->right);
free(root);
}
// 二叉树节点个数
int BinaryTreeSize(BTNode* root)
{
return root == NULL ? 0 : BinaryTreeSize(root->left) + BinaryTreeSize(root->right) + 1;
//如果root不等于NULL,那么就返回左子树节点与右子树节点加上1的和,就是整个二叉树节点个数
}
// 二叉树叶子节点个数
int BinaryTreeLeafSize(BTNode* root)
{
if (root == NULL)
return 0;
if (root->left == NULL && root->right == NULL)//如果节点的左子树和右子树都为空,那么该节点就是叶子节点,返回1
return 1;
return BinaryTreeLeafSize(root->left) + BinaryTreeLeafSize(root->right);//左子树的叶子节点加上右子树的叶子节点
}
//二叉树高度/层次
int BinaryTreeHeight(BTNode* root)//这里的函数是有返回值的,所以左右子树递归结果要用一个int变量进行统计
{
if (root == NULL)
return 0;
int leftheight = BinaryTreeHeight(root->left);//如果这里没有leftheight和下面的rightheight就接收不到左右子树的返回结果
int rightheight = BinaryTreeHeight(root->right);
return leftheight > rightheight ? leftheight + 1 : rightheight + 1;
//因为是求树高,所以左右子树高度高的那一个加上根就是整个树的高度
}
// 二叉树第k层节点个数
int BinaryTreeLevelKSize(BTNode* root, int k)
{
assert(k > 0);
if (root == NULL)
return 0;
if (k == 1)//如果k等于1,就直接返回1,因为左右子树递归到第k层的时候有且仅有一个节点
return 1;
//转换为求子树的k-1层
return BinaryTreeLevelKSize(root->left, k - 1) + BinaryTreeLevelKSize(root->right, k - 1);
//左右递归,k依次减一,表示每次递归一层
}
// 二叉树查找值为x的节点
BTNode* BinaryTreeFind(BTNode* root, NDataType x)//与上面一样,函数有返回值的
{
if (root == NULL)
return NULL;
if (root->data == x)//如果data等于x,直接返回root当前的地址
return root;
BTNode* left = BinaryTreeFind(root->left, x);//这里和下面都需要一个BTNode指针类型来接收左右子树递归返回的地址
//if(left)//如果left不等于NULL,就返回left
//return left;
BTNode* right = BinaryTreeFind(root->right, x);
//if(right)//如果right不等于NULL,就返回right
//return right;
//return NULL;//如果left和right都等于NULL,就返回NULL
return left == NULL ? right : left;
//这里是一个小妙招,如果left等于NULL,就返回right地址;即便是right是NULL,返回right也没错,因为left是NULL
}
// 二叉树前序遍历
void BinaryTreePrevOrder(BTNode* root)
{
if (root == NULL)
{
printf("NULL ");
return;
}
printf("%d ", root->data);
BinaryTreePrevOrder(root->left);
BinaryTreePrevOrder(root->right);
}
// 二叉树中序遍历
void BinaryTreeInOrder(BTNode* root)
{
if (root == NULL)
{
printf("NULL ");
return;
}
BinaryTreeInOrder(root->left);
printf("%d ", root->data);
BinaryTreeInOrder(root->right);
}
// 二叉树后序遍历
void BinaryTreePostOrder(BTNode* root)
{
if (root == NULL)
{
printf("NULL ");
return;
}
BinaryTreePostOrder(root->left);
BinaryTreePostOrder(root->right);
printf("%d ", root->data);
}
// 层序遍历
void BinaryTreeLevelOrder(BTNode* root)//使用队列最合适
{
Queue p;
QueueInit(&p);
if (root)//如果树的节点不为空,就先把树的节点入进去
QueuePush(&p, root);
while (!QueueEmpty(&p))//如果队列不为空
{
BTNode* front = QueueFront(&p);//出队头数据
QueuePop(&p);
printf("%d ", front->data);//打印
if (front->left)//上一层节点出的时候,带下一层左节点
QueuePush(&p, front->left);
if (front->right)//上一层节点出的时候,带下一层右节点
QueuePush(&p, front->right);
}
printf("\n");
QueueDestroy(&p);
}
// 判断二叉树是否是完全二叉树(使用层序遍历方法)
int BinaryTreeComplete(BTNode* root)
{//与上面一样,上一层节点出的时候带下一层节点,当出的节点为NULL时,后面数据必须都为NULL,否则就是错的
Queue p;
QueueInit(&p);
if (root)//如果树的节点不为空,就先把树的节点入进去
QueuePush(&p, root);
while (!QueueEmpty(&p))
{
BTNode* front = QueueFront(&p);
QueuePop(&p);
if (front == NULL)//当出到NULL的时候就跳出
break;
QueuePush(&p, front->left);
QueuePush(&p, front->right);
}
while (!QueueEmpty(&p))//到这里如果后面全是NULL,那么是完全二叉树
{
BTNode* front = QueueFront(&p);
QueuePop(&p);
if (front != NULL)
{
QueueDestroy(&p);//记得销毁
return false;//如果后面有一个数据不是NULL,那么就不是完全二叉树
}
}
QueueDestroy(&p);
return true;
}
int main()
{
BTNode* root = BinaryTreeCreate1();
BinaryTreePrevOrder(root);//前序遍历
printf("\n");
BinaryTreeInOrder(root);//中序遍历
printf("\n");
BinaryTreePostOrder(root);//后序遍历
printf("\n");
printf("二叉树结点个数:%d\n", BinaryTreeSize(root));
printf("二叉树叶子结点个数:%d\n", BinaryTreeLeafSize(root));
printf("二叉树的高度:%d\n", BinaryTreeHeight(root));
printf("节点%d的地址为:%p\n", 5, BinaryTreeFind(root, 5));
BinaryTreeFind(root, 5)->data *= 10;//修改
BinaryTreePrevOrder(root);//前序遍历
printf("\n");
//char a[18] = "ABD##E#H##CF##G##";
//int pi = 0;
BTNode* root = BinaryTreeCreate2(a, &pi);
//root = BinaryTreeCreate2(a, &pi);
//BinaryTreePrevOrder(root);//要用%c遍历
BinaryTreeLevelOrder(root);//层序遍历
printf("该二叉树是不是完全二叉树:%d\n", BinaryTreeComplete(root));//0表示不是完全二叉树,1表示是完全二叉树
BinaryTreeDestory(root);//二叉树的销毁
//BinaryTreeDestory(&root);
root = NULL;
return 0;
}
到目前为止,我们有关二叉树的知识基础的全部讲完了!剩下二插树的知识等到c++内容再讲解更简单一些。下一期就进入我们初阶数据结构的最后一个大纲了——排序,大家一起加油!