先搞清什么是级数,级数是一个求和,可以先理解为是数列的求和。
这样一个级数: ∑ n = 1 ∞ f ( n ) = f ( 1 ) + f ( 2 ) + f ( 3 ) + . . . + f ( n ) + . . . \sum_{n=1}^\infty f(n) = f(1) + f(2) + f(3) + ... + f(n) + ... ∑n=1∞f(n)=f(1)+f(2)+f(3)+...+f(n)+...
S ( n ) = f ( 1 ) + f ( 2 ) + f ( 3 ) + . . . + f ( n ) S(n) = f(1) + f(2) + f(3) + ... + f(n) S(n)=f(1)+f(2)+f(3)+...+f(n) 叫做部分和
如果 lim n → ∞ S ( n ) = S ( 常数 ) \lim\limits_{n\to\infty} S(n) = S(常数) n→∞limS(n)=S(常数),那么级数收敛。
使用定义法判断敛散性要学会的计算方法
- 数列求和
- 求极限
- 如果 ∑ n = 1 ∞ f ( n ) = S \sum_{n=1}^\infty f(n) = S ∑n=1∞f(n)=S ,则 ∑ n = 1 ∞ k f ( n ) = k S \sum_{n=1}^\infty kf(n) = kS ∑n=1∞kf(n)=kS
- 如果 ∑ n = 1 ∞ f 1 ( n ) = S 1 , ∑ n = 1 ∞ f 2 ( n ) = S 2 \sum_{n=1}^\infty f1(n) = S1,\sum_{n=1}^\infty f2(n) = S2 ∑n=1∞f1(n)=S1,∑n=1∞f2(n)=S2 ,则 ∑ n = 1 ∞ f 1 ( n ) + f 2 ( n ) = S 1 + S 2 \sum_{n=1}^\infty f1(n)+f2(n) = S1+S2 ∑n=1∞f1(n)+f2(n)=S1+S2
- 如果 ∑ n = 1 ∞ f 1 ( n ) 收敛, ∑ n = 1 ∞ f 2 ( n ) 发散 \sum_{n=1}^\infty f1(n) 收敛,\sum_{n=1}^\infty f2(n) 发散 ∑n=1∞f1(n)收敛,∑n=1∞f2(n)发散 ,则 ∑ n = 1 ∞ f 1 ( n ) + f 2 ( n ) 发散 \sum_{n=1}^\infty f1(n)+f2(n) 发散 ∑n=1∞f1(n)+f2(n)发散
- 如果 ∑ n = 1 ∞ f 1 ( n ) 发散, ∑ n = 1 ∞ f 2 ( n ) 发散 \sum_{n=1}^\infty f1(n) 发散,\sum_{n=1}^\infty f2(n) 发散 ∑n=1∞f1(n)发散,∑n=1∞f2(n)发散 ,则 ∑ n = 1 ∞ f 1 ( n ) + f 2 ( n ) 收敛性不确定 \sum_{n=1}^\infty f1(n)+f2(n) 收敛性不确定 ∑n=1∞f1(n)+f2(n)收敛性不确定
- 如果 ∑ n = 1 ∞ f ( n ) 收敛 \sum_{n=1}^\infty f(n) 收敛 ∑n=1∞f(n)收敛 ,则 lim n → ∞ f ( n ) = 0 \lim\limits_{n\to\infty} f(n) = 0 n→∞limf(n)=0
- 如果 lim n → ∞ f ( n ) = 0 \lim\limits_{n\to\infty} f(n) = 0 n→∞limf(n)=0,不一定 ∑ n = 1 ∞ f ( n ) 收敛 \sum_{n=1}^\infty f(n) 收敛 ∑n=1∞f(n)收敛
- 如果 lim n → ∞ f ( n ) ≠ 0 \lim\limits_{n\to\infty} f(n) \not= 0 n→∞limf(n)=0,则 ∑ n = 1 ∞ f ( n ) 发散 \sum_{n=1}^\infty f(n) 发散 ∑n=1∞f(n)发散

级数中的每一项都大于0的叫做正项级数。

当n趋向无穷大时,有后一项与前一项比较得出一个数s。
如果s小于1,则级数收敛;
若s大于1,则级数发散。





级数中各项为正负交错称为交错级数
使用莱布尼兹定理:
对于这样一个级数: f ( n ) = ( − 1 ) − 1 u ( n ) f(n) =(-1)^{-1}u(n) f(n)=(−1)−1u(n)
在不考虑符号的情况下,u(n)单调递减且 lim n → ∞ f ( n ) = 0 \lim\limits_{n\to\infty} f(n) = 0 n→∞limf(n)=0,则交错级数收敛
在级数收敛的前提下分为绝对收敛和条件收敛
如果级数的公式加绝对值后求级数依然收敛,那么称为绝对收敛。
如果加绝对值之后变为发散,则称为条件收敛。
例题

解题过程

常数项级数的每一项都是函数,幂级数的每一项都是函数,一般都是幂函数,所以称为幂级数。
∑ n = 1 ∞ f n ( x ) = a n ( x − x 0 ) n \sum_{n=1}^\infty f_n(x) = a_n(x-x_0)^n ∑n=1∞fn(x)=an(x−x0)n
例题

求和的结果称为和函数


记得先求收敛域,收敛域就是和函数的定义域

进行适当的代数变换

直接法:公式法

间接法:傅里叶展开

例题

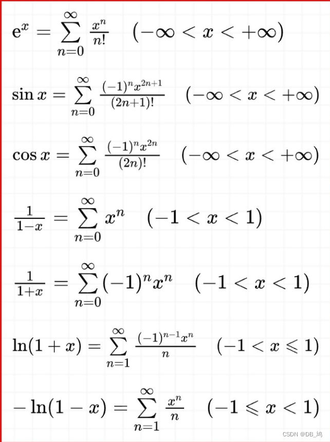
展开公式

求和公式

