一、详情介绍
1、名称
中文:磷脂-聚乙二醇-马来酰亚胺(MW:3400)
英文:DSPE-PEG-MAL
Maleimide-PEG-DSPE
CAS:474922-22-0
2、属性
分子量:3.4k,其他分子量可以定制(5k、2k、1k等)。质量控制在95%+。
物理性质:白色固体。溶于常规溶液及大多数有机溶剂。
存储条件:需在-20°冷冻。避光、干燥储藏。
用途:用于科学研究、药物释放、纳米技术和新材料研究、细胞培养。在研究配体、多肽合成支撑体、接枝高分子化合物、新型材料以及聚乙二醇改性功能涂料等方面的活性化合物。
温馨提示:为了达到最佳使用效果,材料应始终保持在干燥的低温条件下。避免频繁解冻和冻结。
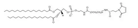
二、结构式

三、描述
DSPE-PEG-MAL是反应性磷脂PEG试剂之一,可以与巯基(硫醇,-SH)反应,DSPE(1,2-二硬脂酰基-sn-甘油3-磷酸乙醇胺)是一种高度疏水的饱和18C磷脂。
DSPE-PEG-马来酰亚胺(DSPE-PEG- mal)是由DSPE(1,2-二硬脂酰-sn-甘油-3 -磷酸乙醇胺)和马来酰亚胺基组成的一种磷脂型PEG衍生物。DSPE-PEG-MAL是一种最常用的反应性磷脂,可将抗体、多肽或其他配体偶联到脂质体和其他脂质PEG纳米颗粒表面。聚乙二醇化磷脂对胶囊化药物具有延长血液循环时间和更高的稳定性。
常用于与脂质双分子层靶向给药以提高药物溶解性,PEG提供隐身性,延长循环半衰期,减少非特异性蛋白结合或细胞粘附,马来酰亚胺反应与抗体、适配体、蛋白质、多肽等靶向分子结合。
四、相关产品
磷脂-聚乙二醇-马来酰亚胺,DSPE-PEG-MAL,Maleimide-PEG-DSPE,474922-22-0,MW:20000
磷脂-聚乙二醇-马来酰亚胺,DSPE-PEG-MAL,Maleimide-PEG-DSPE,474922-22-0,MW:10000
磷脂-聚乙二醇-马来酰亚胺,DSPE-PEG-MAL,Maleimide-PEG-DSPE,474922-22-0,MW:5000
磷脂-聚乙二醇-马来酰亚胺,DSPE-PEG-MAL,Maleimide-PEG-DSPE,474922-22-0,MW:3400
磷脂-聚乙二醇-马来酰亚胺,DSPE-PEG-MAL,Maleimide-PEG-DSPE,474922-22-0,MW:2000
磷脂-聚乙二醇-马来酰亚胺,DSPE-PEG-MAL,Maleimide-PEG-DSPE,474922-22-0,MW:1000
甲氧基-聚乙二醇-双肉豆蔻磷脂酰乙醇胺,mPEG-DMPE,MW:20000
甲氧基-聚乙二醇-双肉豆蔻磷脂酰乙醇胺,mPEG-DMPE,MW:10000
甲氧基-聚乙二醇-双肉豆蔻磷脂酰乙醇胺,mPEG-DMPE,MW:5000
甲氧基-聚乙二醇-双肉豆蔻磷脂酰乙醇胺,mPEG-DMPE,MW:3400
甲氧基-聚乙二醇-双肉豆蔻磷脂酰乙醇胺,mPEG-DMPE,MW:1000