学习视频:第1章-绪论_哔哩哔哩_bilibili
西瓜书对应章节: 第一章 & 第二章
机器学习三观
What:什么是机器学习?
关键词:“学习算法”
Why: 为什么要学机器学习?
1. 机器学习理论研究
2. 机器学习系统开发
4. AI 应用方向研究:NLP, CV, 推荐系统
How: 怎样学习深度学习?
- 纯理论研究
- 系统的开发

- 算法迁移 (AI for Science)
- AI 应用方向研究
基础核心知识概念
假设空间 & 版本空间
假设空间定义了所有可能的解决方案;版本空间则是在考虑了训练数据后,认为可能正确的解决方案的集合
算法
从数据中学得模型的“具体方法”,其产出结果称为“模型”
样本(示例)
关于一个事件或对象的描述。用向量进行表示,向量中的各个维度称为“特征”或“属性“。向量中的元素用分号 “;” 表示为列向量,用逗号 ","表示为行向量。
标记
学习样本在某方面的表现存在潜在规律的的信息。
样本空间 & 标记空间
所有可能的输入数据或特征向量的集合;
所有可能的输出标签或目标值的集合
机器学习任务分类 (根据标记取值类型不同)
- 标记取值为“离散型”, 任务为 分类
- 标记取值为 “连续型”, 任务为 回归
机器学习任务分类 (根据是否用到标记信息)
- 训练阶段有用到标记信息,此类任务为 “监督学习”
- 训练阶段没用到标记信息,此类任务为 “无监督学习”
数据集
- 通常用集合表示
- 一般同一份数据集中的每个样本都含相同个数的特征
- 样本
x
i
j
x_{ij}
xij 表示样本
x
i
x_i
xi 在第 j 个属性上的取值
泛化
模型对未在训练过程中见过的数据进行准确预测的能力
分布
概率论中的概率分布。
归纳偏好
不同的机器学习算法有不同的偏好
- 最常用的评价方法是 - 基于模型在测试集上的表现评判模型的优劣。
- 机器学习算法没有绝对的优劣之分,只有是否适合当前待解决问题之分。
- 没有免费的午餐定理(NFL):众算法生而平等(哪个算法训出来的模型在测试集上表现好哪个算法 nb)。
数据决定模型的上限,算法则是让模型无限逼近上限
- 数据决定模型的上限
数据是指从 数据量 和 特征工程 两个角度考虑
- 通常数据量越大模型效果越好
- 通常对特征数值化越合理,特征收集越全越细致,模型效果通常越好
模型评估与选择
- 经验误差与过拟合
- 精度
- 训练误差 & 泛化误差
训练集上的误差;新样本上的误差
- 过拟合
- 欠拟合

- 评估方法
- 留出法
直接将数据集划分为 数据集 和 测试集 。
- 训练集和测试集要尽量保证数据分布的一致性
- 采用采样类别比例相似的 分层采样 。
- 交叉验证法
先将数据集划分为 k 个互斥子集,尽可能保持数据分布的一致性,然后以 k-1 个子集的并集作为训练集,余下子集作为测试集,进行k次训练测试,最终返回训练结果的均值。

- 自助法
可重复有放回采样。
- 验证集
对模型进行评估测试的数据集。
性能度量
- 均方误差


- 错误率
分类错误样本数占样本总数的比例。

- 精度
分类正确的样本数占样本总数的比例。

- 查准率 & 查全率


- F1 度量

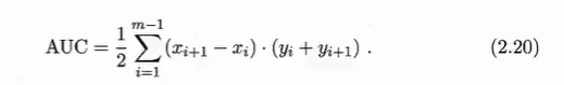
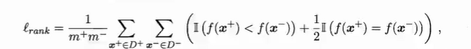
- ROC 曲线



- 代价敏感错误率 & 代价曲线

X轴 -

Y轴 -


- 比较检验
- 假设检验


- 交叉验证T检验
- McNemar 检验


- Friedman 检验 和 Nemenyi 后续检验

- 偏差与方差

- 偏差 度量了 学习算法的期望预测与真实结果的偏离程度,刻画了学习算法本身的拟合能力
- 方差 度量了同样大小的训练集的变动导致的学习性能的变化,刻画了数据扰动造成的影响
- 噪声 表达了当前任务上任何学习算法所能达到的期望泛化的误差的下界,刻画了学习问题本身的难度
- 泛化性能是由 学习算法的能力、数据的充分性、学习任务本身的难度 共同决定的。为了取得良好的泛化性能,需要使得方差、偏差都较小。

