码农知识堂 - 1000bd
  •   Python
  •   PHP
  •   JS/TS
  •   JAVA
  •   C/C++
  •   C#
  •   GO
  •   Kotlin
  •   Swift
  • 二阶系统时域响应


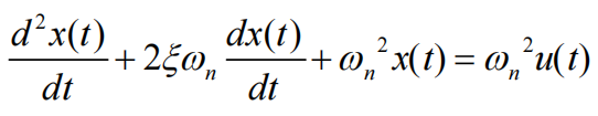
    二阶系统微分方程

    二阶系统传递函数

    二阶系统单位阶跃响应

    过阻尼系统

    临界阻尼系统

    欠阻尼系统

    无阻尼系统

    二阶系统阶跃响应仿真

    在Matlab中进行仿真,设置不同阻尼比2、1、0.5和0,可以得到结论:

    阻尼比越小,系统响应速度越快,但是振荡越激烈;阻尼比越大,系统响应速度越慢,但是没有振荡更稳定。

    二阶系统性能指标

    上升时间Tr

    系统第一次达到稳定点的时间,如果系统达不到稳定点,则取稳定点的90%。

    最大超调量Mp

    系统的最大值减去稳态值与稳态值的比再乘100%。

    调节时间(稳定时间)Ts

    系统进入稳态误差范围内的时间,即达到稳态值2%以内的时间。

    阻尼比和固有频率对二阶系统性能指标的影响

    • 固有频率越大,上升时间越小,响应速度越快。
    • 阻尼比越大,上升时间越大,响应速度越慢。
    • 阻尼比越大,超调量越小(超调量只与阻尼比有关)。
    • 阻尼比和固有频率的乘积越大,稳定时间越小(反比关系)。
  • 相关阅读:
    机器学习笔记之EM算法(二)EM算法公式推导过程
    支付宝支付功能实现
    C++基础入门 函数
    计算机毕业设计Java毕业设计管理系统(源码+系统+mysql数据库+lw文档)
    C. String Equality(思维)
    Golang vs Rust 为后端选择哪种语言?
    与5G一起过中秋,天涯变咫尺
    Linux locate命令报错:-bash: locate: command not found
    省 市 县 三级联动
    Mysql的卸载流程
  • 原文地址:https://blog.csdn.net/weixin_41276397/article/details/133967245
  • 最新文章
  • 攻防演习之三天拿下官网站群
    数据安全治理学习——前期安全规划和安全管理体系建设
    企业安全 | 企业内一次钓鱼演练准备过程
    内网渗透测试 | Kerberos协议及其部分攻击手法
    0day的产生 | 不懂代码的"代码审计"
    安装scrcpy-client模块av模块异常,环境问题解决方案
    leetcode hot100【LeetCode 279. 完全平方数】java实现
    OpenWrt下安装Mosquitto
    AnatoMask论文汇总
    【AI日记】24.11.01 LangChain、openai api和github copilot
  • 热门文章
  • 十款代码表白小特效 一个比一个浪漫 赶紧收藏起来吧!!!
    奉劝各位学弟学妹们,该打造你的技术影响力了!
    五年了,我在 CSDN 的两个一百万。
    Java俄罗斯方块,老程序员花了一个周末,连接中学年代!
    面试官都震惊,你这网络基础可以啊!
    你真的会用百度吗?我不信 — 那些不为人知的搜索引擎语法
    心情不好的时候,用 Python 画棵樱花树送给自己吧
    通宵一晚做出来的一款类似CS的第一人称射击游戏Demo!原来做游戏也不是很难,连憨憨学妹都学会了!
    13 万字 C 语言从入门到精通保姆级教程2021 年版
    10行代码集2000张美女图,Python爬虫120例,再上征途
Copyright © 2022 侵权请联系2656653265@qq.com    京ICP备2022015340号-1
正则表达式工具 cron表达式工具 密码生成工具

京公网安备 11010502049817号