
python源码、视频教程、插件安装教程、资料我都准备好了,直接在文末名片自取就可
若 w 为 m1 的矩阵,x 为 mn 的矩阵,那么通过点乘结果就会得到一个 m*n 的矩阵。

若 w 为 mn 的矩阵,x 为 mn 的矩阵,那么通过点乘结果就会得到一个 m*n 的矩阵。

w的列数只能为 1 或 与x的列数相等(即n),w的行数与x的行数相等 才能进行乘法运算。
若 w 为 mp 的矩阵,x 为 pn 的矩阵,那么通过矩阵相乘结果就会得到一个 m*n 的矩阵。
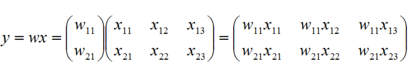
只有 w 的列数 == x的行数 时,才能进行乘法运算

'''
遇到问题没人解答?小编创建了一个Python学习交流QQ群:261823976
寻找有志同道合的小伙伴,互帮互助,群里还有不错的视频学习教程和PDF电子书!
'''
import numpy as np
w = np.array([[0.4], [1.2]])
x = np.array([range(1,6), range(5,10)])
print w
print x
print w*x
运行结果如下图:

'''
遇到问题没人解答?小编创建了一个Python学习交流QQ群:261823976
寻找有志同道合的小伙伴,互帮互助,群里还有不错的视频学习教程和PDF电子书!
'''
import numpy as np
w = np.array([[0.4, 1.2]])
x = np.array([range(1,6), range(5,10)])
print w
print x
print np.dot(w,x)
运行结果如下:

import tensorflow as tf
w = tf.Variable([[0.4], [1.2]], dtype=tf.float32) # w.shape: [2, 1]
x = tf.Variable([range(1,6), range(5,10)], dtype=tf.float32) # x.shape: [2, 5]
y = w * x # 等同于 y = tf.multiply(w, x) y.shape: [2, 5]
sess = tf.Session()
init = tf.global_variables_initializer()
sess.run(init)
print sess.run(w)
print sess.run(x)
print sess.run(y)
运行结果如下:

'''
遇到问题没人解答?小编创建了一个Python学习交流QQ群:261823976
寻找有志同道合的小伙伴,互帮互助,群里还有不错的视频学习教程和PDF电子书!
'''
# coding:utf-8
import tensorflow as tf
w = tf.Variable([[0.4, 1.2]], dtype=tf.float32) # w.shape: [1, 2]
x = tf.Variable([range(1,6), range(5,10)], dtype=tf.float32) # x.shape: [2, 5]
y = tf.matmul(w, x) # y.shape: [1, 5]
sess = tf.Session()
init = tf.global_variables_initializer()
sess.run(init)
print sess.run(w)
print sess.run(x)
print sess.run(y)
运行结果如下:

感谢你观看我的文章呐~本次航班到这里就结束啦 🛬
希望本篇文章有对你带来帮助 🎉,有学习到一点知识~
躲起来的星星🍥也在努力发光,你也要努力加油(让我们一起努力叭)。
