码农知识堂 - 1000bd
  •   Python
  •   PHP
  •   JS/TS
  •   JAVA
  •   C/C++
  •   C#
  •   GO
  •   Kotlin
  •   Swift
  • 【力扣算法简单五十题】08.删除排序链表中的重复元素


    给定一个已排序的链表的头 head , 删除所有重复的元素,使每个元素只出现一次 。返回 已排序的链表 。

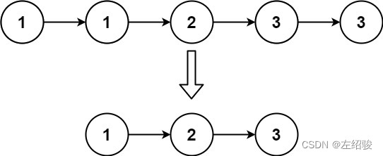
    示例 1:01
    输入:head = [1,1,2]
    输出:[1,2]

    示例 2:
    02
    输入:head = [1,1,2,3,3]
    输出:[1,2,3]

    提示:
    链表中节点数目在范围 [0, 300] 内
    -100 <= Node.val <= 100
    题目数据保证链表已经按升序 排列

  • 相关阅读:
    window c++异常处理与设计原理
    java面试题 --- Mybatis&Hibernate
    Linux实现查看文件内容的5种方式
    基于plc的自动洗碗机的设计(西门子)
    css3对页面打印设置的一些特殊属性,如@page,target-counter等
    这个方法实在是太狠了,机房管理效率蹭蹭蹭
    计算机图形学入门02:线性代数基础
    155. 最小栈
    你的电脑关机吗
    vue+python基于django框架酒店餐饮管理系统
  • 原文地址:https://blog.csdn.net/LeoZuosj/article/details/128067464
  • 最新文章
  • 攻防演习之三天拿下官网站群
    数据安全治理学习——前期安全规划和安全管理体系建设
    企业安全 | 企业内一次钓鱼演练准备过程
    内网渗透测试 | Kerberos协议及其部分攻击手法
    0day的产生 | 不懂代码的"代码审计"
    安装scrcpy-client模块av模块异常,环境问题解决方案
    leetcode hot100【LeetCode 279. 完全平方数】java实现
    OpenWrt下安装Mosquitto
    AnatoMask论文汇总
    【AI日记】24.11.01 LangChain、openai api和github copilot
  • 热门文章
  • 十款代码表白小特效 一个比一个浪漫 赶紧收藏起来吧!!!
    奉劝各位学弟学妹们,该打造你的技术影响力了!
    五年了,我在 CSDN 的两个一百万。
    Java俄罗斯方块,老程序员花了一个周末,连接中学年代!
    面试官都震惊,你这网络基础可以啊!
    你真的会用百度吗?我不信 — 那些不为人知的搜索引擎语法
    心情不好的时候,用 Python 画棵樱花树送给自己吧
    通宵一晚做出来的一款类似CS的第一人称射击游戏Demo!原来做游戏也不是很难,连憨憨学妹都学会了!
    13 万字 C 语言从入门到精通保姆级教程2021 年版
    10行代码集2000张美女图,Python爬虫120例,再上征途
Copyright © 2022 侵权请联系2656653265@qq.com    京ICP备2022015340号-1
正则表达式工具 cron表达式工具 密码生成工具

京公网安备 11010502049817号