虽然,我早就知道GWAS分析中的effect值,就是数量遗传学的基因中的替换效应,但是一直没有仔细阅读相关材料。今天通过阅读数量遗传学的教程,理解了这个概念,真好。
就是GWAS中的回归系数,effect,beta,都是一个意思。
因为GWAS分析汇总,单点检测,类似回归分析,effect就是SNP回归系数beta,p值就是SNP的P-value。
比如数据:

用R语言拟合模型:
mod_M7 = lm(phe.V3 ~ M7_1,data=dd)
summary(mod_M7)
这里的M7位点,effect是1.394,p值是0.29。

下图用GWAS的GLM模型展示,两者结果是一致的。

首先,先看一下加性效应和显性效应的定义:


举个栗子比如:
那么:
假定一个位点的次等位基因频率是p,主等位基因频率是q,而且该位点满足哈温平衡,所以:
整体均值为:

整体方差:

一种定义等位基因效应的方法,是利用后代群体的平均表现与随机交配群体均值的离差进行计算。
以等位基因A1为例,把它视为配子,与群体中其他配子随机结合产生一个后代群体,其他配子基因型既有A1也有A2,它们的频率分别为p和q。因此,配子A1产生后代群体中的基因型有A1A1和A1A2两种,频率也分别为p和q。根据配子A1后代群体的基因型频率,就能得到后代群体的均值为pa+qd,从中减去随机交配群体的均值μ,就得到等位基因A1的效应 。
类似地,我们还可以得到等位基因A2平均效应 。对于复等位基因,可用同样的方法定义它们的平均效应。

育种过程中,当选择有利于某个等位基因时,常意味着有利等位基因对另一个不利等位基因的替换。因此,有必要研究等位基因的替代效应(effect of an allele substitution)。假定我们可以把随机挑选的等位基因A2变为A1,中选个体的基因型可能是A1A2也可能是A2A2,频率分别为p和q。把A1A2变为A1A1后,基因型值从d变为a,替换前后的效应变化为a-d;把A2A2变为A1A2后,基因型值从-a变为d,替换前后的效应变化为a+d。因此得到平均基因替换效应的表达式。
基因平均效应和替换效应的关系:

上面资料来源王健康老师的PPT内容:第8章 随机交配群体的遗传分析
首先,看一下基因频率:

也可以根据AA,AT,TT的个数,手动计算:

这里,用AA,AT,TT平均表型值计算:

计算的结果:
注意,如果要手动计算的替换效应和回归分析计算的回归系数,需要满足哈温平衡。这里位点不符合哈温平衡,所以手动计算的替换效应和回归分析的beta值有差别。

下面介绍一下相关的推导。

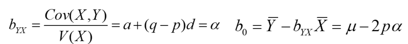
把SNP的分型转为0-1-2的X变量,将表型数据为Y变量,那么回归系数的公式可以推导为替换效应的组成。

上图中,X是编码为0-1-2的SNP,Y是每个基因型0-1-2的表型值。比如:

如果我们对value为Y,SNP为x,计算回归系数:
b = cov(X,Y)/var(X),就可以推导为:b = alpha,截距为:u - 2palpha
结论:回归系数就是替换效应。
计算公式:

我们模拟一个符合哈温平衡的位点,p=0.5,q=0.5,n=12个:

计算不同分型的平均数:

那么加性效应和显性效应为:
替换效应为:
a + (p - q)d = 10.15
截距为:
u = 19.5
截距 = 19.5 - 20.5*10.15 = 9.35

可以看出,计算出的回归系数为:10.16,截距为9.33,结果基本一致。
# 假定p为0.8,q为0.2,a=10,m =30,d=5,
# 那么分型为0的为20,分型为1的为35,分型为2的为40
# 那么分型为0的频率为0.64,分型为1的频率为0.32,分型为2的频率为0.04
# 总模拟个数为1000,标准差为5
rm(list=ls())
set.seed(123)
AA = data.frame(SNP = rep(0,640),y = rnorm(640,20,5))
AT = data.frame(SNP = rep(1,320),y = rnorm(320,35,5))
TT = data.frame(SNP = rep(2,40),y = rnorm(40,40,5))
dd = rbind(AA,AT,TT)
head(dd)
str(dd)
table(dd$SNP)
mod = lm(y ~ SNP,data=dd)
summary(mod)
## 手动计算
mu = mean(dd$y);mu
a=10;d=5;p=0.8;q=0.2
beta = a + (p-q)*d;beta
beta_0 = mu - 2*q*beta;beta_0
回归计算的回归系数和截距为:

手动计算基因的替换效应:


一个个体的育种值,就是他的后代群体,相对于整个亲本群体的差异。比如一个个体的育种值是0.5,那就是说他的后代会比群体的整体平均值高0.3,如果育种值是0,那就是后代的平均值和群体一致。所以,我们要选择blup值大的个体,因为它的后代会高于群体的平均值。
因此,基因型A1A1、A1A2和A2A2的育种值分别为A11=2α1, A12=α1 +α2和A22=2α2 。统一起来,各种基因型的育种值表示为:
所以,这里,就可以理解为数量遗传学的替换效应就和GWAS分析的效应值联系到了一起。

根据上面的公式,我们就可以根据每个位点的效应值,计算单个SNP的育种值,加性效应和显性效应。