目录
无线定位系统是一种测量系统,从测量系统本身来说,精度是最重要的指标之一,具体一般包括两个参数:准确度和精密度,
准确度:指测量值(或预测值)和实际值有多相近。
精密度:指多个测量值(或预测值)互相之间有多相近。
如射箭例子:

1、精密度高,不一定准确度高,如果存在“偏差或误差”,测量值可能全部都是错误的。
2、准确度高,不一定精密度高,测量值虽然都在实际值附近,但是还存在一定的偏差。
3、高准确度和高精密度是我们追求的目标,测量值和实际值基本相吻合。
准确度的计算:通过计算测量值和实际值的误差函数,如计算均方根误差,均方根误差越接近0,说明准确度越高。
精密度的计算:通过计算测量值的离散程度,如计算测量值的标准差,标准差越小,说明测量值越集中,精度也就越高。
目前定位无线系统的精度计算方法一般如下:
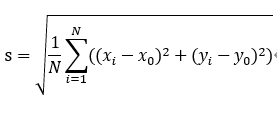
对于一维或二维定位,测试点真实位置坐标记为(x_0,y_0 ),系统定位的坐标记为(x,y),单点单次定位误差计算方法如下:

假设在一个测试点测试N次,第i次测试得到的测试点位置坐标记为(x_i,y_i ),i=1,2,∙∙∙,N,该测试点的定位精度计算方式如下:

精度也分为绝对精度和相对精度。绝对精度是测量的坐标与真实坐标的偏差,一般用长度计量单位表示。相对误差一般用误差值与节点无线射程的比例表示, 定位误差越小定位精确度越高。
在实际使用中,精度一般又可以分成静态精度和动态精度,项目中的精度值要求一般默认指的是静态的,也有少部项目要求动态精度满足一定数值,但如何准确地测量动态精度是一项有难度的工作。
主要包括:
1、系统容量:无线定位系统可支持的最大标签数量;
针对无线定位系统,主要制约系统容量的方面主要包括:定位引擎同时接收、解析的能力,一般需要异步分线程处理; 由于单台定位服务器解算的能力毕竟有限,系统是否可以支持分布式、负载均衡部署能力; 定位系统是否支持多楼栋、多楼层、多地图、多标签显示的能力; 定位系统的接口推送能力等等。
2、单元定位区域的标签并发量:一个单元定位区域内可支持同时在线的最大标签数量;
针对无线定位系统,主要制约单元定位区域的标签并发量的方面主要包括:针对上行系统的基站单位时间内监听数据信息的能力; 不同定位技术的信道容量:信道理论上最大能够达到的信息传输能力; 标签的发送信号的刷新率等等。
基站定位通常依赖人工部署。不同的定位技术在不同的应用场景下基站部署密度会有一定差别。当基站部署密度达到一定程度后,定位精度随基站密度的增加而提高的范围会有限,当到达一定程度后定位精度一般都不会再提高。因此,基站密度也是评价无线定位系统性能的重要指标之一。
无线定位系统需要比较理想的无线通信环境和可靠的基站设备。而真实环境往往比较复杂,且会出现基站失效或基站由于实际场景复杂度不能安装在较理想的安装位置或基站实际安装的不佳位置造成距离或角度测量误差过大等问题,此时,物理地维护或替换基站设备或使用其他高精度的测量手段常常是困难或不可行的。因此,定位系统和算法必须有很强的环境适应性,能够通过自动调整或重构纠正因为复杂环境导致的系统问题,减小各种误差的影响。
功耗是无线定位系统的设计、使用影响最大的因素之一。有源的无线定位系统标签一般是带电池的,需要根据场景要求确认标签的续航时长,对最终使用者来说,标签的充电或更换电池间隔时间越长越好。有些下行的无线定位系统,信标也是有源的,这个信标的续航时间与使用场景的温度、场景区域内在线的人数、频次等均有关系。
无线定位系统的代价与成本可从不同的方面来评价。时间代价主要包括无线定位系统的实施安装时间、软件部署时间、配置时间、定位调试和联调等时间;资金代价主要包括无线定位系统的整体成本,包括软硬件成本,弱电实施等费用。
UWB信号,即超宽带信号,工作在3.1G~10.6Ghz,其-10db绝对带宽>500Mh或者-20db相对带宽(带宽/中心频率)>20%。

超宽带信号的核心特征为:
1、频带超宽,单信道频率带宽>500Mhz;
2、低功率谱密度,大部分国家限制为-41dbm/Mhz;我国和FCC(工业和信息化部关于超宽带(uwb)技术频率使用规定有关事宜的通知(工信部无〔2010〕641号))规定的发射功率范围分别如下图所示:

3、脉冲很窄,脉冲宽度在ps级。
UWB各主要信道与工作频段见下表。目前信道2、5应用较为普遍,按发射功率限值,在UWB无线定位中信道5是最有优势的。
| 信道1 | 3244.8–3744.0 MHz |
| 信道2 | 3744.0–4243.2 MHz |
| 信道3 | 4243.2–4742.4 MHz |
| 信道4 | 3328.0–4659.2 MHz |
| 信道5 | 6240.0–6739.2 MHz |
| 信道6 | 6739.2–7238.4 MHz |
| 信道7 | 5948.8–7030.4 MHz |
| 信道8 | 7238.4–7737.6 MHz |
| 信道9 | 7737.6–8236.8 MHz |
| 信道10 | 8236.8–8736.0 MHz |
UWB它是一种无载波通信技术,能够利用其特殊地纳秒至微秒级的窄脉冲传输数据,时间分辨率好,抗干扰能力强、对信道衰落不敏感,从而能提供高达10厘米级的定位精度,填补了高精度定位领域的空白。其核心优势是对多径效应较好的区分、及能够实现发射端与接收端精确的测距。

TOF(time-of-flight)称为飞行时间技术,是指各种测量飞行时间的方法,更确切的 是指测量物体、粒子、声波或电波等在某种介质内穿越一段距离所用的时间的技术。该 方法由 D.McCrady 提出,一般理解为飞行时差测距( Time of Flight Measurement) 方法。TOF 测距方法一般属于双向测距技术( Two Way Ranging ), 它主要利用信号在两个异步收发机 ( Transceiver)之间往返的飞行时间来测量节点间的距离。

以已知坐标基站(如下参考点)为圆心,以标签和基站的测距数据为半径画球/圆,一般以假设标签的高度为截面,相交区域即为标签所在的位置区域,相交区域越小,说明定位精度越高。

由于UWB的高带宽(500 MHz),脉冲宽度为纳秒级,这提高了精度。与使用窄带收发器的WiFi和BLE不同,ToF和测距的精度限于约+/-1m至+/-5m,而UWB可精确到+/-10cm以内。
由于UWB信号明显不同且易于读取,即便在多通道环境中也是如此,因此当脉冲离开和到达时,信号更容易识别,且高度确定。UWB能够以超高的传输速率准确跟踪脉冲——在短突发时间内发送大量脉冲——因此即使距离非常短,也可以进行细粒度ToF计算。
我们此处只讨论上行的TDOA定位算法。TDOA(Time Deference of Arrival)到达时间差。预先将所有参考点之间时钟同步,未知点发出信号,不同参考点在不同时刻接收到该信号,选取某参考点接收到信号的时刻作为基准,其他参考点收到信号的时刻减去该基准得到定位信号到达时间差,该到达时间差即为TDOA 值。根据未知点与两个参考点之间的TDOA值可以建立一条双曲线,实现二维定位需要至少三个参考点建立一组双曲线方程求解得到未知点的位置估计。如图所示。

到达角(Angle of Arrival, AOA)定位法需要测量未知点(即定位标签)到参考点(即定位基站)的电磁波入射角度,这通常由接收机通过天线阵列检测信号能量峰值的来源方向得到,或者由天线阵列通过信号的相位差得到。采用到达角(Angle of Arrival, AOA)在视距传播时精度较高,在非视距传播时显著降低。

TOF的优点:使用双边双向测距可以有效降低因为时钟偏移引入的误差,从而保证实现高的定位精度,同时在复杂环境下定位效果相对TDOA和AOA会更佳;
TOF的缺点:
双边双向测距一次需要三个来回的UWB波,所以标签单次定位功耗较高;
由于UWB信道同时容纳的UWB无线信号数量是一定的,TOF单次定位消耗的UWB无线信号数多,导致标签整体的并发量一般。
TDOA的优点:上行TDOA时,标签只需要一次广播,然后多个基站监听到即可基于时间到达差来定位,所以单次定位功耗低。
TDOA的缺点:
上行TDOA模式为了保证一定的精度和定位延迟,一般需要配置高刷新率,所以总体的标签续航其实也不高,如果标签高刷新率,也会影响标签的并发量;
各基站需要做时钟同步才能保证多个基站时间到达差的准确性。由于标签端仅发送定位消息而不接收,数据聚合和协作定位很难实现;
AOA的优点:小型二维空间、定位精度要求不高的场景下所需基站数量较少
AOA的缺点:
如果测距/方位因为遮挡/反射带来误差,那么定位精度就会严重下降。
单基站测向距离越远方位角误差更容易变大/受干扰的影响也更大,容易造成精度下降,定位精度相对TOF/TDOA都要低。
单次定位需要标签配合UWB-AOA基站每秒发送更多的数据帧,标签单次定位功耗相对TOF/TDOA都要高。
基站安装后,调试时需要较准方位,相对TOF/TDOA,安装调试复杂。
AOA模式对复杂环境的抗干扰性较差,在复杂环境下定位效果一般。
| UWB无线定位算法 | |||
| 无线定位6大指标 | TOF | TDOA | AOA |
| 定位精度 | 高 | 中 | 低 |
| 环境适应性 | 高 | 中 | 低 |
| 功耗 | 高 | 中 | 高 |
| 规模 | 系统容量:高 并发量:中 | 系统容量:高 并发量:高 | 系统容量:高 并发量:中 |
| 基站密度 | 典型基站间距30m | 典型基站间距30m | 典型基站间距20m |
| 代价与成本 | 系统调试成本:低 | 系统调试成本:中 | 系统调试成本:高 |
| 适用场景 | 典型场景如智能制造、汽车、监狱监所、电力能源、隧道交通及智慧城市等 | 典型场景如智能制造、汽车、监狱监所、电力能源、隧道交通及智慧城市等 | 适用小型二维空间、定位精度要求不高的场景 |