给定一个二叉树的 root ,返回某个路径中的每个节点都具有相同值的 最长路径长度 。 这条路径可以经过也可以不经过根节点。
两个节点之间的路径长度 由它们之间的边数表示。

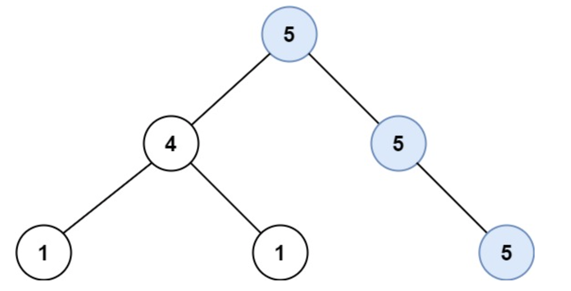
【输入】root = [5,4,5,1,1,5]
【输出】2
【解释】5——>5——>5

【输入】root = [1,4,5,4,4,5]
【输出】2
【解释】4——>4——>4
[0, 10^4] -1000 <= Node.val <= 10001000根据题目描述,我们需要在一个指定的二叉树上,找到一个最长的路径长度,这个路径有什么特点呢?就是路径上所有节点的值要一致。那么,既然是要对二叉树进行操作,我们常用的就是深度遍历和广度遍历了。那么,本题涉及到的是相同值的节点路径长度的判断,那么,符合深度遍历的解题方式 ,也就是说,针对每条分支去判断,如果发现节点不同了,那么则结束路径长度统计,开启新的路径长度统计。
那么,既然是统计路径长度,下面我列出了5种树的形状,其实,大体上,应该是3种:
第一种:相同值的节点在同一侧。如:形状1和性状2;
第二种:相同值的节点组成最小二叉树结构,即:根节点+左子树节点+右子树节点。如:形状3;
第三种:第一种和第二种的组合。如:形状4和性状5;

细心的同学会发现,你说的第一种和第三种其实也是一样的啊,第一种只不过是树节点缺少了左子树或者右子树啊。其实是这样子的,但是为了便于理解下面要介绍的路径长度计算,此处暂时把它们归为了两类。其实,最终我们会发现,无论是哪种形状,都是多个形状3的拼装而已,区别就是左右子树是否存在。
现在,我们再来看一下如何计算路径长度,我们拆分一下形状1和形状4,发现它们的路径长度,就是可以拆分的最小二叉树的个数。如下所示:

那么在解这道题的是,就变成了计算最小二叉树的个数了,由于路径计算是累加的,所以,每当我们要将累加值返回给父节点的时候,是根据左子树和有子树累积的长度谁更大,以谁为准。请看下图:

上面就是大致的解题思路了。具体实现,请参照下面四:代码实现部分
- class Solution {
- int result = 0;
- public int longestUnivaluePath(TreeNode root) {
- calculate(root);
- return result;
- }
- public int calculate(TreeNode node) {
- if (node == null) return 0;
- int leftValue = calculate(node.left);
- int rightValue = calculate(node.right);
- leftValue = (node.left != null && node.val == node.left.val) ? ++leftValue : 0;
- rightValue = (node.right != null && node.val == node.right.val) ? ++rightValue : 0;
- result = Math.max(result, leftValue + rightValue);
- return Math.max(leftValue, rightValue);
- }
- }

今天的文章内容就这些了:
写作不易,笔者几个小时甚至数天完成的一篇文章,只愿换来您几秒钟的 点赞 & 分享 。
更多技术干货,欢迎大家关注公众号“爪哇缪斯” ~ \(^o^)/ ~ 「干货分享,每天更新」