本文的主要脉络如下:

目录
交叉熵带一个”熵“字,所以必定和信息量、熵相关理论有关。
信息量为一件事情的不确定性。概率越大,信息量越小;概率越小,信息量越大。概率和信息量成反比。
信息熵表示所有信息量的期望,是试验中每次可能结果的概率乘以其结果的综合,表达式为:

如果对于同一个随机变量,有两个单独的概率分布P(x)和Q(x),则我们可以使用KL散度来衡量这两个概率分布之间的差异。公式如下:

KL散度越小,表示P(x)和Q(x)越接近。
将KL散度公式拆开:

前者H(p(x))表示信息熵,后者为交叉熵。KL散度=交叉熵 - 信息熵。
交叉熵可以表示为:

在分类问题中,我们希望预测的分布和实际分布尽可能接近,所以应该使用KL散度公式作为损失函数。因为信息熵为p(x)的分布,p(x)为实际分布,所以该值为常量,因此只要交叉熵足够小,则KL散度足够小,因而使用交叉熵作为分类的损失函数。
直观理解为什么分类问题用交叉熵损失而不用均方误差损失? - shine-lee - 博客园
分类问题为什么用交叉熵损失不用 MSE 损失_云端FFF的博客-CSDN博客_分类交叉熵 回归mse
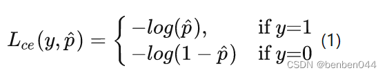
假设一共有K类,令网络的输出为
,对应每个类别的概率,令label为
。实际结果为onehot类型,对某个属于p类的样本,令label中
,其他的
均为0。
对于这个样本,交叉熵为:

MSE为:

对比交叉熵损失与均方差损失,只看这单个样本的损失即可。
由损失函数可见,MSE关注全部类别熵预测概率和真实概率的差;交叉熵关注的是正确类别的预测概率。
在分类问题中,对于类别之间的相关性缺乏先验知识,此时关注所有类别的预测值会给出错误的提示。比如猫、老虎、狗的3分类问题,label为[1,0,0],在MSE看来,预测为[0.8, 0.1, 0.1]要比[0.8, 0.15, 0.05]要好,即认为平均总比倾向性要好,这个有悖于我们的常识(因为猫与老虎更接近)。
而交叉熵只关注样本所属的哪个类别,只要
越接近1就好,这个更合理。
分类问题基本上最后通过softmax映射分布,以获得某种概率的解释。

softmax求导见:

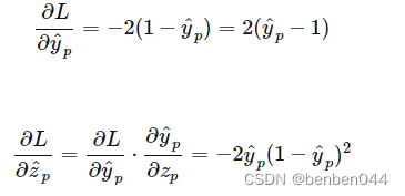
对于交叉熵:

此时
越接近于1,偏导越接近于0,即分类越正确越不需要更新权重,这与期望相符。
对于MSE:

此时会出现当
=0时,分裂错误,但是不更新权重,即分类完全错误时却出现了梯度消失的问题。
focal loss详解_为了写博客,要取一个好的名字的博客-CSDN博客_focal loss
focal loss是一种处理样本分类不均衡的损失函数。
它侧重的点是根据样本分辨的难易程度给样本对应的损失添加权重,即给容易区分的样本添加较小的权重α1,给难分辨的样本添加较大的权重α2,损失函数的表达式为:
![]()
因为α2的值较大,所以损失函数的重点集中于难分辨的样本上。
这两个的区别藏在分类置信度上。
通常将分类置信度接近1的样本称为易分辨样本,其余的称之为难分辨样本。换句话说,有把握确认属性的样本称之为易分辨样本,没有把握确认属性的样本称之为难分辨样本。

其中
为预测概率大小。
y为label,在二分类中对应0,1。

对于所有样本,损失函数为:

对于二分类问题,损失函数可以写为:

其中m为正样本个数,n为负样本个数,N为样本总数,m+n=N
当样本分布失衡时,在损失函数L的分布也会发生倾斜,如m< 对于样本不平衡造成的损失函数倾斜,一个直观的做法就是在损失函数中添加权重因子,提高少数类别在损失函数中的权重,平衡损失函数的分布。比如上述二分类问题,添加权重参数后: 其中, focal loss也是针对样本不均衡问题提出了另外一种解决方案。 对于表达式(3)和(4),focal loss相比交叉熵多了一个调节参数即 对于分类准确的样本,pt趋近于1,调节参数趋近于0. 对于分类不准确的样本呢,pt趋近于0,调节参数趋近于1. 所以相比交叉熵损失函数,focal loss对于分类不准确的样本,损失没有改变; 对于分类准确的样本,损失会变小。 整体而言,相当于增加了分类不准确样本在损失函数中的权重。 pt也反应了分类的难易程度,pt越大,说明分类的置信度越高,代表样本越易分;pt越小,分类的置信度越低,代表样本越难分。因此focal loss相当于增加了难分样本在损失函数的权重,使得损失函数倾向于难分的样本,有助于提高难分样本的准确度。针对pt为0的情况,它指的是判断某类的置信度为0,假如实际上是该类,则就变成了非常难分辨。 focal loss相比平衡交叉熵,两者都是试图解决样本不平衡带来的模型训练问题。后者从样本分布角度对损失函数添加权重因子,前者从样本分类难易程度出发,使loss聚焦于难分样本。 focal loss为什么有效?样本非平衡造成的问题就是样本数少的类别分类难度较高。因此从样本难易分类角度出发,使得loss聚焦于难分样本,解决样本少的类别分类准确率不高的问题,也就是focal loss解决了样本非平衡的问题。 难分类样本与易分类样本其实是一个动态概念,也就是说pt会随着训练过程而变化。原先易分类样本即pt大的样本,可能随着训练过程变化为难训练样本即pt小的样本。 在loss梯度中,难训练样本起主导作用,即参数的变化主要是朝着优化难训练样本的方向改变。当参数变化后,可能会使原先易训练的样本pt发生变化,即可能变为难训练样本。当这种情况发生时,可能会造成模型收敛速度慢。 为了防止难易样本的频繁变化,应当选取小的学习率,防止学习率过大,造成w变化较大从而引起pt的巨大变化,造成难易样本的改变。 (6)平衡交叉熵函数

,即权重的大小根据正负样本的分布进行设置。(7)focal loss

![]()
(8)focal loss对比平衡交叉熵
(9)focal loss的一点思考