跟随carl代码随想录刷题
语言:python
只由前序和后序不能唯一构成二叉树!因为没有中序遍历就无法确定左右不分,也就无法分割!
从下面106和105题目中可以看出,两个代码的书写思路都是:
前序或后序中取出根节点,中序中的索引,根据索引位置进行分割,将中序分割成左右数组数组长度相等原则,对前序或后序进行分割注意类似用数组构造二叉树的题目,每次分隔尽量不要定义新的数组,而是通过下标索引直接在原数组上操作,这样可以节约时间和空间上的开销。——代码随想录
题目:给定两个整数数组 inorder 和 postorder ,其中 inorder 是二叉树的中序遍历, postorder 是同一棵树的后序遍历,请你构造并返回这颗 二叉树 。
👉示例1:
输入:inorder = [9,3,15,20,7], postorder = [9,15,7,20,3]
输出:[3,9,20,null,null,15,7]
👉示例 2:
输入:inorder = [-1], postorder = [-1]
输出:[-1]
后序数组的最后一个元素为切割点中序数组,后序数组。原则:切割的时候,前序与中序的左右数组长度相同。

# Definition for a binary tree node.
# class TreeNode:
# def __init__(self, val=0, left=None, right=None):
# self.val = val
# self.left = left
# self.right = right
class Solution:
def buildTree(self, inorder: List[int], postorder: List[int]) -> Optional[TreeNode]:
# 如果树为空,就返回None
if not postorder:
return None
# 后序遍历的最后一个节点就是中间节点
root_val = postorder[-1]
root = TreeNode(root_val)
# 找切割点
separator_idx = inorder.index(root_val)
# 切割inorder数组
inorder_left = inorder[:separator_idx]
inorder_right = inorder[separator_idx+1:] # 不包含切割点
# 切割postorder数组
postorder_left = postorder[:len(inorder_left)]
postorder_right = postorder[len(inorder_left):len(postorder)-1] # 注意这里是len(inorder_left)不是len(inorder_right)
# 结尾索引也可以直接写成`-1`
# 递归
root.left = self.buildTree(inorder_left, postorder_left) # 注意函数调用有self
root.right = self.buildTree(inorder_right, postorder_right)
return root
题目:给定两个整数数组 preorder 和 inorder ,其中 preorder 是二叉树的先序遍历, inorder 是同一棵树的中序遍历,请构造二叉树并返回其根节点。
👉示例1:
输入: preorder = [3,9,20,15,7], inorder = [9,3,15,20,7]
输出: [3,9,20,null,null,15,7]
👉示例 2:
输入: preorder = [-1], inorder = [-1]
输出: [-1]
原则:切割的时候,前序与中序的左右数组长度相同。
前序数组的第一个元素是根节点。

# Definition for a binary tree node.
# class TreeNode:
# def __init__(self, val=0, left=None, right=None):
# self.val = val
# self.left = left
# self.right = right
class Solution:
def buildTree(self, preorder: List[int], inorder: List[int]) -> Optional[TreeNode]:
# 1. 如果树为空,就返回None
if not preorder:
return None
# 2. 前序遍历的第一个节点就是中间节点
root_val = preorder[0]
root = TreeNode(root_val)
# 3. 找切割点
separator_idx = inorder.index(root_val)
# 4. 切割inorder数组,得到inorder数组的左右半边
inorder_left = inorder[:separator_idx]
inorder_right = inorder[separator_idx+1:]
# 5. 切割preorder数组,得到preorder数组的左右半边
# 重点:中序数组与前序数组的大小一定是相同的。
preorder_left = preorder[1:1+len(inorder_left)]
preorder_right = preorder[1+len(inorder_left):]
# 6. 递归
root.left = self.buildTree(preorder_left, inorder_left)
root.right = self.buildTree(preorder_right, inorder_right)
return root
题目:给定一个不重复的整数数组 nums 。 最大二叉树 可以用下面的算法从 nums 递归地构建:
创建一个根节点,其值为 nums 中的最大值。
递归地在最大值 左边 的 子数组前缀上 构建左子树。
递归地在最大值 右边 的 子数组后缀上 构建右子树。
返回 nums 构建的 最大二叉树 。
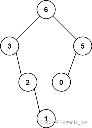
输入:nums = [3,2,1,6,0,5]
输出:[6,3,5,null,2,0,null,null,1]
与构造二叉树是一个思路
# Definition for a binary tree node.
# class TreeNode:
# def __init__(self, val=0, left=None, right=None):
# self.val = val
# self.left = left
# self.right = right
class Solution:
def constructMaximumBinaryTree(self, nums: List[int]) -> Optional[TreeNode]:
if not nums:
return None
maxvalue = max(nums)
index = nums.index(maxvalue)
root = TreeNode(maxvalue)
left = nums[:index]
right = nums[index+1:]
root.left = self.constructMaximumBinaryTree(left)
root.right = self.constructMaximumBinaryTree(right)
return root