参考:

这篇文章的观点非常新颖和直观,主要从线性代数方面阐述相关原理
目录:
1: 离散卷积
2: ISI & ICI
一 离散卷积
前面讲过连续数据的卷积公式

实际没有连续的数据我们一般采用离散卷积,
假设x的长度为n, h的长度为m, y的长度为n+m
1.1 例子
假设
![x=[x_0,x_1,x_2,x_3]](https://1000bd.com/contentImg/2022/08/09/213412799.gif)
![h=[h_0,h_1,h_2,h_3]](https://1000bd.com/contentImg/2022/08/09/213413868.gif)
![y_0=\sum_{n=0}^{3}x[n]\bullet h[0-n]](https://1000bd.com/contentImg/2022/08/09/213414680.gif)

![y_1=\sum_{n=0}^{3}x[n]\bullet h[1-n]](https://1000bd.com/contentImg/2022/08/09/213417714.gif)

![y_2=\sum_{n=0}^{3}x[n]\bullet h[2-n]](https://1000bd.com/contentImg/2022/08/09/213420812.gif)

![y_3=\sum_{n=0}^{3}x[n]\bullet h[3-n]](https://1000bd.com/contentImg/2022/08/09/213423722.gif)

本质上就是两个矩阵相乘

进一步表示方法,如下图,为对应列元素相乘后求和

二 CP(Cyclic prefix) CS(Cyclic suffix)
2.1 循环前缀,循环后缀结构

发送端
经过IDFT 离散傅里叶逆变换后,得到长度为N的时域数据
然后插入长度为a 的cp, 以及长度为b 的 cs

假设原始数据为
a= b=2
![cp=[x_2,x_3], cs=[x_0,x_1]](https://1000bd.com/contentImg/2022/08/09/213428363.gif)
最后数据变成了

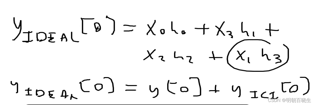
2.2 ICI

译码的时候,我们会对其做傅里叶变换,对CP,CS 部分丢弃

如下

发现了多了一个噪声 

,其它信道之间的干扰
下面是草图


2.3 ISI 模型
跟上面差不多

,
