我发现,信号与系统中有一些东西真的是反复会在别的工科专业中用到,所以在这里记录一下,虽然有视频,但是视频毕竟比较长,想要快速回顾,需要从头看视频,所以这里记录一下比较关键的东西。
视频地址:信号与线性系统分析(吴大正,郭宝龙)。


很简单,普通函数是将一个数值映射到另外一个数值;而广义函数是将一个函数映射成一个数值。
对于任意
ϕ
(
t
)
\phi(t)
ϕ(t),如果
δ
(
t
)
\delta(t)
δ(t)满足如下式子,那么
δ
(
t
)
\delta(t)
δ(t)称之为冲激函数。这就是冲激函数的广义函数定义。

满足上述要求的
δ
(
t
)
\delta(t)
δ(t)其实有很多,都叫做冲激函数,例如:

我们可以回顾一下上一篇文章中提到的冲激函数的满足的性质,即积分为1。我们检查一下高斯函数,那个其实就是一个均值为0,方差取向于0的概率密度,而概率密度积分恒为1,不管方差是否逼近0,逼近的话就满足了另外一个性质,0点函数值为无穷大,其他地方没有值。
然后第二个取样函数,这个我就没办法验证了哈,比如我想验证其积分是否为1,然而我水平有限, s i n t / t sint/t sint/t没有办法积分。
这个函数是不可积的,但是它的原函数是存在的,只是不能用初等函数表示而已。习惯上,如果一个已给的连续函数的原函数能用初等函数表达出来,就说这函数是“积得出的函数”,否则就说它是“积不出”的函数。虽然其属于“积不出”的函数,但是这个积分在概率论,数论,光学,傅里叶分析等领域起着重要作用。
但是,对于0处无穷大,我们可以有直观的理解,在0处
s
i
n
t
sint
sint和
t
t
t为等价无穷小,从而是
b
/
π
b/\pi
b/π,由于
b
b
b为无穷大,所以0处无穷大。
其图大概如下:


这个很好理解,冲激函数除了0值均为0,在0值为无穷大。一个争论的点其实是既然在0处为无穷大,那么乘以
f
(
0
)
f(0)
f(0)这个常数还有什么意思。
这里说两点理由。
即将上面这个式子带入下面这个式子的左边,然后我们会发现,等于右边。反之,不等于,即违反了冲激函数的定义。

下面又是一个类似的变形。

之前我们学过,阶跃函数的导数是冲激函数,那么冲激函数的导数呢?
我们仍然采用广义函数的定义,对于任意函数 f ( t ) f(t) f(t),冲激函数的导数满足下列式子。

我们可以做一个简单的验证,对上面有一个比较理性的认识:

我们把上面这个式子带入到那个之前那个积分里面,然后你去积一下分,发现确实等于积分式子的右边。
然后下面又是一些推广:
平移:

冲激函数的n阶导数:

这个式子,大家可以使用使用分部积分来积分一下左边,这里说一下第一步,即将n阶导移到d后面去,。。。

下面又是一个推广:

证法?还是和之前的分部积分一样。
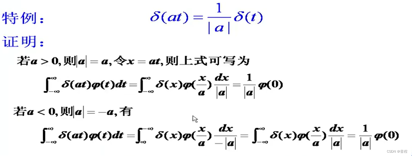
以为结束啦?还有推广:

(1)很好理解,至于(2)的话,就是
a
=
−
1
a=-1
a=−1代入上张图片。