
💭 写在前面
本系列博客为复习操作系统导论的笔记,内容主要参考自:
数字逻辑电路 Digital logic circuits
分层设计:电路设计分层(Y型图)
基本电路元件:
抽象分级 Levels of abstractions

Y chart

三个基本的逻辑运算符:AND、OR、NOT

Note:The statement: 1 + 1 = 2 (read “one plus one equals two”)is not the same as 1 + 1 = 1 (read “1 or 1 equals 1”)Operator definition
Operations are defined on the values "0" and "1" for each operator:

真值表:一个函数在其参数上所有可能的数值组合的表格列表
💭 例子:基本逻辑运算的真值表:

符号:

使用开关:





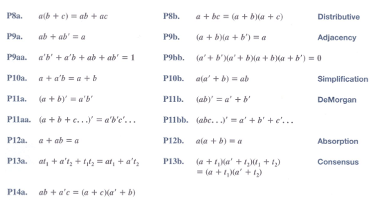
例1:布尔代数的证明

(我们做证明的主要原因是为了学习,仔细和有效地使用布尔代数的特性和定理,以及
如何选择适当的特性或定理来应用)
布尔函数评估:Boolean Function Evaluation

这是布尔代数的一个应用,简化为包含最小数量的 literals(补足和未补足的变量):


- 📌 [ 笔者 ] 王亦优
- 📃 [ 更新 ] 2022.
- ❌ [ 勘误 ] /* 暂无 */
- 📜 [ 声明 ] 由于作者水平有限,本文有错误和不准确之处在所难免,
- 本人也很想知道这些错误,恳望读者批评指正!
| 📜 参考资料 Introduction to Logic and Computer Design. International edition, 2008 Alan B.Marcovitx McGraw-Hill Microsoft. MSDN(Microsoft Developer Network)[EB/OL]. []. . 百度百科[EB/OL]. []. https://baike.baidu.com/. |