ADI把放大器分为精密和高速两大类
一般来讲,带宽小于 50MHz 的,能够具有某些特殊指标优异性的运放,都属于精密运放
OP07
极小的失调电压,30μV 典型值,75μV 最大值,且只有 0.3μV/℃的温漂,0.3μV/month 的时漂,稳定性非常优秀很高的工作电压范围,一般可达 36V,极限可达 44V带宽较低,只有 600kHz 左右低失调电压运放
一般指失调电压小于15μV,ADI运放数据表:

图片来源于《你好,放大器》
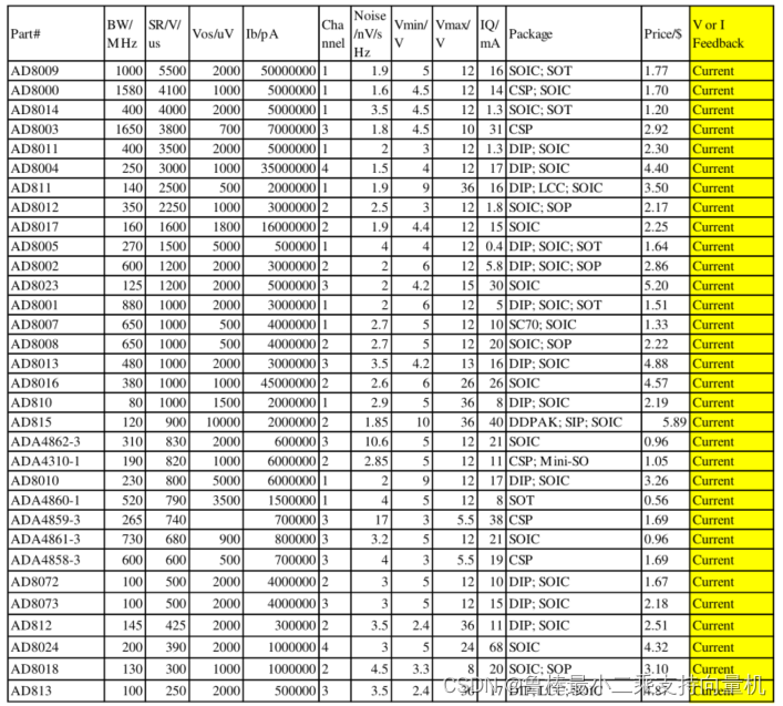
低噪声运放
ADI运放数据表,看起来IB都比较大:

图片来源于《你好,放大器》
低供电电压运放
以最小供电电压排序,ADI运放数据表:

图片来源于《你好,放大器》
低偏置电流运放
在微弱电流检测中,低偏置电流很重要,ADI运放数据表:

图片来源于《你好,放大器》
低功耗运放
一般来说,低功耗运放的频带都较窄,ADI运放数据表:

图片来源于《你好,放大器》
低价格运放
ADI运放数据表:

图片来源于《你好,放大器》
以带宽排序,ADI高速运放如下:




图片来源于《你好,放大器》
电流反馈型运算放大器(Current Feedback Amplifier-CFA),仍是运放的一种,只是其内部结构完全不同于电压反馈型(VFA,也就是传统的),导致其外部特性有所不同
电流反馈型运算放大器内部结构如图所示,正输入端是高阻输入的,等效于一个 1 倍增益的跟随器,跟随器输出和负输入端之间有一个小阻抗 ZB(一般为几十欧姆)。使得 CFA 的入端压差演变成入端电流 i,CFA 以此电流作为控制源,镜像出以 GND 为基准的另一个电流 i。此电流在内部流经一个很大的阻抗 Z,又一次形成了电压 iZ,带一个很小的输出阻抗 ZO到输出端。CFA 与 VFA 最大的区别在于负输入端,CFA 的负输入端是低阻的

图片来源于《你好,放大器》
电流反馈型运算放大器组成的同相放大器,如图所示:

图片来源于《你好,放大器》
设负端对地电位为uA,假设输出阻抗Zo = 0,下式成立:

uo = iZ,得:



电流反馈放大器的主要放大能力来自于非常大的 Z,使得后一项分母近似为 1,则:

类似的分析可以得出,对反相输入放大器来说,其电压增益为:

CFA 内部影响频率特性的主要因素是 Z,极大的 Z 必然存在并联的杂散电容 C,因此:

推导步骤省略,电流反馈放大器的传函为:

电压反馈型运算放大器组成的同相放大器 ,如图所示:

图片来源于《你好,放大器》
电压反馈型运算放大器的传函为:

图片来源于《你好,放大器》
**电流反馈运放与电压反馈运放的主要应用区别为: **
更高的压摆率,可以达到 5000V/μs 以上,在大幅度输出,提高满功率带宽上有明显的优势不随之成比例下降。因此,电流反馈运放更适合于实现单级较高增益的放大电路具有较低的噪声、较高的失调电压和偏置电流必须用电阻串联到反馈回路中。另外,电流反馈放大电路的反馈电阻需要缜密选择,不同增益下应具有不同的反馈电阻,多数的器件 Datasheet 中对此都有说明高速、需要较高压摆率、单级电压增益较大的场合按照压摆率排序,如下:

图片来源于《你好,放大器》
全差分运算放大器,三个输入端两个输出端的运算放大器,与标准运放一样,也需要外部电阻配合形成负反馈才能实现放大功能
全差分运放具有两个输入端 VP和 VN,两个输出端 VOUT+和 VOUT-,一个控制输出共模的输入端 VOCM,以及两个电源端。全差分运放具有特殊的内部结构,正常工作情况下具有如下特性:
始终等于VOCM两个输出端的差值上始终为 0,即虚断优点:
抵抗外部共模干扰 2 倍的信号动态范围减少失真单端输入转差分输出
如果ADC是差分输入型的,而原始信号是单端输出的,则多数情况下需要如下“单端转差分电路”:

图片来源于《你好,放大器》
分析上图电路,定义两个比值:

根据虚短,引入一个未知量:

根据全差分运放性质,约束两个输出:

根据虚断,流过两个电阻上的电流相等:

列出三个独立方程,解出:

为了让电路更加对称,一般:

结果变得简单:

含阻抗匹配的单端输入转差分输出
高频放大电路中,特别讲究阻抗匹配。阻抗匹配中要求信号路径上不发生电阻突变,也不存在电阻不等,而传输线等效阻抗一般为 50Ω 或者 75Ω,夹在前级输出和后级输入之间。所以,多数情况下,信号源或者前级放大电路的输出阻抗一般选为 50Ω,以便与传输线等电阻,而后级放大电路的输入阻抗也必须是 50Ω,以与传输线匹配
高频时单端输入转差分输出,左图为实际电路,右图为等效电路:

图片来源于《你好,放大器》
上图的左图,已知输入为单端信号ui,具有50Ω输出阻抗,要求将其变为差分输出信号,增益为G倍,即uout+ - uout- = Gui,且输出对称,满足入端阻抗匹配。Rx、Ry、Ra、Rb为待求电阻
为满足入端阻抗匹配,uy处信号大小应为0.5ui。图中左电路化简为右电路,设临时系数k


解得:

根据输入阻抗定义,可得uy点信号为0.5ui

R3 = 50k代入上式:

设Ra = x,整理得:

由此解得:



全差分运放的其他电路形式
全差分运放更多用于 ADC 驱动电路、单端差分转换等。全差分信号放大(差分进,差分出),如图所示,全差分放大器可以多级级联,始终保持差分信号传递。在低频信号链中,无需考虑信号端接中的线缆阻抗匹配,设计相对简单。各级输出阻抗均为 0,可以直接耦合

图片来源于《你好,放大器》
高频全差分信号传递中,一旦信号线过长或者使用传输线缆,则一定需要考虑阻抗匹配以保持尽量小的反射,电路图如下:

图片来源于《你好,放大器》
全差分仪表放大器与传统仪表放大器的唯一区别是,前者的输出是差分的,而后者是单端输出。如图所示,增益计算非常简单,两个部分相乘。前部为标准运放部分的,后部为全差分放大器的

图片来源于《你好,放大器》
ADI的全差分放大器:

图片来源于《你好,放大器》
其中,标 C 是指标准结构,电流反馈型。标 V 是指标准结构,电压反馈型。固定多少倍,是指 ADI 生产的产品内部嵌了电阻,只能实现指定的倍数,而内 6 电阻是每个放大器都嵌了 6 个电阻,可以实现 3 种放大倍数
致谢杨建国老师著作《你好,放大器》

希望本文对大家有帮助,上文若有不妥之处,欢迎指正
分享决定高度,学习拉开差距