NR中分为Type I和Type II码本,他们都是DFT码本的一种,有关于DFT码本和Type I码本,感兴趣的可以看我的上一篇博客https://blog.csdn.net/weixin_44863193/article/details/126649435
与Type I不同,Type II码本用于MUMIMO,所以反馈量更大
Type II码本包含了波束组合原理,我们回忆一下LTE中的码本,他们仅仅是相位上的变化和加减
在NR中,要求相加的幅度,相位都可以灵活的改变。目前NR只支持Rank=1或者2的情况
记得我们把Type I选择波束的过程描述成一个显微镜观察的过程,即先调细准焦螺旋,再调粗准焦螺旋,这样的方法同样适用于Type II码本,只不过每一步的步骤更复杂一些

第一步为选择一组正交基,因为我们的候选波束是过采样得到的,过采样后实际上波束之间已经不正交了,正常满足正交条件的正交基应该是以过采样为间隔稀疏分布的,这在https://blog.csdn.net/weixin_39274659/article/details/108894763文章中也有提到

一维天线和二维天线选择出来的正交基如图所示

这就是所谓粗准焦螺旋了,这和Type I的生成方式是一模一样的,生成L个候选波叔,并将他们组成对角矩阵
但在这之后,波束还要进行幅度的调节,他与信道的特征向量有关,需要获得每一个系数和最强波束的大小,做归一化后进行量化

这就是调细准焦螺旋
和上面一样与信道特征相量有关

首先 TypeII也是支持4-32天线
当为4天线时,宽带波束为2,当大于4时,波束数量可以为2, 3,4
量化的调制方式是由 N P S K N_{PSK} NPSK决定的
RI不能超过2

这和Type I一样 由阵列的形状来决定,使用和Type I的同一张表

和Type I一样,总的来说包含 i 1 i_1 i1和 i 2 i_2 i2,一个负责宽带参数,一个负责窄带参数,包含的内容则非常多

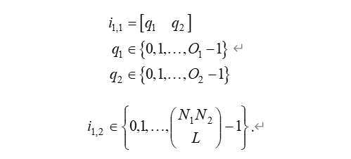
这两个参数决定了L个波束的选择
他们的取值范围分别是
其中 小括号代表了组合数。
那么可以理解为 i 1 , 1 i_{1,1} i1,1确定了正交基,因为q1 q2选择了正交基的起始波束
i 1 , 2 i_{1,2} i1,2则是通过一套复杂的流程来确定的,他确定选择哪L个波束



最强波束因为要做归一化,需要被反馈,这由 i 1 , 3 , l i_{1,3,l} i1,3,l来确定,为什么是2L-1个呢? 因为L个波束组成了对角矩阵!

i 1 , 4 , l 和 i 2 , 2 , l i_{1,4,l}和 i_{2,2,l} i1,4,l和i2,2,l中则是2L-1个index,他们对应着幅度大小

他也是一个2L-1的参数,最后会直接作用在相位上

这里面包含了诸多特例,这里只做罗列


下面开始真正的码本生成
要定义一些变量


