校园二手书籍交易平台的设计与实现
摘 要
随着计算机技术和网络技术的迅速发展,网上购物已经融入了人们的日常生活中,电子商务也因此流行起来。国内的京东商城、天猫、苏宁易购等大型网站在图书销售等商品零售领域已经十分成熟完善,但是以高校学生二手书籍为主的二手图书资源目前还没有得到合理的开发利用。本人设计和实现的校园二手书籍交易平台是通过合理的市场调查然后才着手实施的。系统分为前台系统、后台系统。前台系统是面向用户,实现书籍查询和购买等功能,后台系统实现管理员对系统的管理和控制。用户端在把商品加入购物车后,可以填写地址及配送信息,付款方式可以选择货到付款等,同时购买后用户还可以对商品做出反馈评价,管理员端可以查看到订单详情进行管理控制等。此设计能够实现对校园的二手书籍资源有效的利用和管理,消除旧书的浪费以及管理的弊端,根据图书销售的基本流程,实现校园二手书籍销售管理的电子化。
关键词:二手书籍;MySQL数据库;交易平台
Design and implementation of campus second-hand book trading platform
Abstract
With the rapid development of computer technology and network technology, online shopping has been integrated into people's daily life, and e-commerce has become popular. Domestic Jingdong Mall, tmall, Suning Tesco and other large websites have been very mature and perfect in the field of book sales and other commodity retail, but the second-hand book resources dominated by second-hand books of college students have not been reasonably developed and utilized. The campus second-hand book trading platform designed and implemented by me is implemented after reasonable market research. The system is divided into foreground system and background system. The foreground system is user-oriented and realizes the functions of book query and purchase. The background system realizes the administrator's management and control of the system. After adding the goods to the shopping cart, the user can fill in the address and distribution information, and the payment method can choose cash on delivery. At the same time, after purchase, the user can also make feedback and evaluation on the goods, and the administrator can view the order details for management and control. This design can realize the effective utilization and management of second-hand book resources on campus, eliminate the waste of old books and the disadvantages of management, and realize the electronization of campus second-hand book sales management according to the basic process of book sales.
Key words:Second hand books; Mysql database; trading platform
目 录
随着市场经济的发展和人们生活水平的提高,二手书的市场是一个环保和低成本看书的选择,在高校里,二手书商店就带给同学们一个供需平台,但是对于二手书籍的管理和销售,普通的旧书市场不能有效的进行,而随着电子商务的迅速发展和普及,网上购买商品和获取信息已经成为现代人生活的一种习惯。并且网上购物对于以高校学生为主的群体来说已经是不可或缺的一部分,所以二手书籍交易网站的出现也正是时代发展过程中解决旧书管理问题的科学方法。
在二手书籍的销售推广方面,有很多学者对二手书籍交易网站都有过研究,他们的研究成果证明了市场存在二手书籍的购买和使用需求,同时对二手书籍的管理也研究出了较好的方法,但可能由于书籍购买后的快递配送还不够普及,还有付款的方式也不够简单方便等问题,所以二手书籍网上交易目前在以高校为主的市场还没有普及,因此,此次校园二手书籍交易平台项目对实际购买及配送和付款等方面的功能进行了改善,希望能够促进校园二手书籍交易平台的市场化道路,这也将是此项目最大的意义和应用前景所在。
经过几年的发展,许多被消费者认可的网上购物中心已经出现在国内外。这些网上购物中心的内容是多样化的,它们包含的功能相对完善,包括注册用户、搜索商品、管理订单、介绍商品细节以及在线意见反馈。如今,互联网的广泛使用在一定程度上导致了国内外在线购物中心的发展,只要企业通过这个平台在线打字,就可以随时管理系统的内容。通过展示商品内容和发布公告,鼓励消费者购买和进行在线交易。
近几年,随着计算机技术和网络技术的迅速发展,网上购物已经融入了人们的日常生活中,电子商务也因此流行起来。国内的京东商城、天猫、苏宁易购等大型网站在图书销售等商品销售领域已经十分成熟完善,但是以高校学生二手书籍为主的二手图书资源目前还没有得到合理的开发利用。对这类二手图书资源进行有效的利用和管理,消除旧书的浪费以及管理的弊端,根据图书销售的基本流程,实现二手书籍的销售管理的电子化,这也是电子商务领域发展的必然。
根据市场调研得到的信息数据,结合国内外前沿研究,利用相关系统开发和设计方法,最终设计出校园二手书籍交易平台。
本文共有七章,如下所示。
第一章概述了校园二手书籍交易平台的研究目的和意义;精炼地总结了国内外在内的领域研究情况和未来的研究趋势,最后给出了论文的组成结构。
第二章简要概述了本文所用的开发技术和工具。
第三章简要对系统各业务流程进行需求分析、可行性分析。
第四章对校园二手书籍交易平台进行设计。
第五章对校园二手书籍交易平台进行实现,并贴出相关页面截图,语言描述出具体功能实现的操作方法。
第六章对校园二手书籍交易平台采用测试用例的方式来对一些主要功能模块测试,最后得出测试结果。
第七章总结全文并对未来的研究做出展望。
人可以掌握多门外语,而一个计算机科学家精通的大多是编程语言,它不是人类的自然语言,比如C语言、Java、Perl等等。由于不同的公司开发出的“中间件”不够规范,所以Sun公司推出J2EE,用这个标准来解决弊病。它提供了良好的机制,让每个层次允许与之相对的服务器、组件运行,使得系统的搭建稳定可用、开发高效、维护方便。
MVVM模式是常用的开发模式,主要是在代码实现上将其分为M层、V层和C层。
视图(View)代表用户交互界面,一个 Web 应用就可能有很多的界面,在 MVVM 模式中,视图仅仅处理的只有数据采集、处理,还有用户的请求, 并不包括业务流程的处理,业务流程由模型(Model)来处理。
模型(Model)就是业务流程/状态的处理及业务规则的制定。模型处理业务流程的过程其它层是无法看见了的,它就像黑箱子,在接受视图请求的数据之后,然后返回最终的处理结果。MVVM 最主要的核心就是业务模型的设计,一个典型的应用例子就是目前流行的 EJB 模型,它从应用技术实现的角度对模型做了进一步的划分,以便充分利用现有的组件,但是它不能作为应用设计模型的框架。
控制器(Controller)可以理解为接收用户的请求,然后视图和模型匹配在一起,一起再完成用户请求。它有非常明显的作用在划分控制层上,可以很清晰地告诉你,它就是一个分发器,选择什么样的模型、视图,可以完成用户的什么样的请求。控制层不做所有的数据处理,比如说:用户点击一个连接,控制层接受到请求之后,并不处理业务信息,它只是向模型传递用户的信息,同时告诉模型做什么,然后选择符合需求的视图返回给用户。
B/S(Browser/Server)比前身架构更为省事的架构。它借助Web server完成数据的传递交流。只需要下载浏览器作为客户端,那么工作就达到“瘦身”效果, 不需要考虑不停装软件的问题。
Spring框架是Java平台上的一种开源应用框架,提供具有控制反转特性的容器。尽管Spring框架自身对编程模型没有限制,但其在Java应用中的频繁使用让它备受青睐,以至于后来让它作为EJB(EnterpriseJavaBeans)模型的补充,甚至是替补。Spring框架为开发提供了一系列的解决方案,比如利用控制反转的核心特性,并通过依赖注入实现控制反转来实现管理对象生命周期容器化,利用面向切面编程进行声明式的事务管理,整合多种持久化技术管理数据访问,提供大量优秀的Web框架方便开发等等。Spring框架具有控制反转(IOC)特性,IOC旨在方便项目维护和测试,它提供了一种通过Java的反射机制对Java对象进行统一的配置和管理的方法。Spring框架利用容器管理对象的生命周期,容器可以通过扫描XML文件或类上特定Java注解来配置对象,开发者可以通过依赖查找或依赖注入来获得对象。Spring框架具有面向切面编程(AOP)框架,SpringAOP框架基于代理模式,同时运行时可配置;AOP框架主要针对模块之间的交叉关注点进行模块化。Spring框架的AOP框架仅提供基本的AOP特性,虽无法与AspectJ框架相比,但通过与AspectJ的集成,也可以满足基本需求。Spring框架下的事务管理、远程访问等功能均可以通过使用SpringAOP技术实现。Spring的事务管理框架为Java平台带来了一种抽象机制,使本地和全局事务以及嵌套事务能够与保存点一起工作,并且几乎可以在Java平台的任何环境中工作。Spring集成多种事务模板,系统可以通过事务模板、XML或Java注解进行事务配置,并且事务框架集成了消息传递和缓存等功能。Spring的数据访问框架解决了开发人员在应用程序中使用数据库时遇到的常见困难。它不仅对Java:JDBC、iBATS/MyBATIs、Hibernate、Java数据对象(JDO)、ApacheOJB和ApacheCayne等所有流行的数据访问框架中提供支持,同时还可以与Spring的事务管理一起使用,为数据访问提供了灵活的抽象。Spring框架最初是没有打算构建一个自己的WebMVC框架,其开发人员在开发过程中认为现有的StrutsWeb框架的呈现层和请求处理层之间以及请求处理层和模型之间的分离不够,于是创建了SpringMVC。
Mysql 经过多次的更新,功能层面已经非常的丰富和完善了,从Mysql4版本到5版本进行了比较大的更新,在商业的实际使用中取得了很好的实际应用效果。最新版本的Mysql支持对信息的压缩,同时还能进行加密能更好的满足对信息安全性的需求。同时经过系统的多次更新,数据库自身的镜像功能也得到了很大的增强,运行的流畅度和易用性方面有了不小的进步,驱动的使用和创建也更加的高效快捷。最大的变动还是进行了空间信息的显示优化,能更加方便的在应用地图上进行坐标的标注和运算。强大的备份功能也保证了用户使用的过程会更加安心,同时支持的Office特性还支持用户的自行安装和使用。在信息的显示形式上也进行了不小的更新,增加了两个非常使用的显示区,一个是信息区,对表格和文字进行了分类处理,界面的显示更加清爽和具体。第二是仪表的信息控件,能在仪表信息区进行信息的显示,同时还能进行多个信息的比对,为用户的实际使用带来了很大的便捷。
针对本文中设计的校园二手书籍交易平台在实际的实现过程中,最终选择Mysql数据库的主要原因在于在企业的应用系统应用及开发的过程中会存在大量的数据库比较频繁的操作,而且数据的安全性要求也是非常的高。综合这些因素,最终选择安全性系数比较高的Mysql来对校园二手书籍交易平台的后台数据进行存储操作。
B/S架构采取浏览器请求,服务器响应的工作模式。
用户可以通过浏览器去访问Internet上由Web服务器产生的文本、数据、图片、动画、视频点播和声音等信息;
而每一个Web服务器又可以通过各种方式与数据库服务器连接,大量的数据实际存放在数据库服务器中;
从Web服务器上下载程序到本地来执行,在下载过程中若遇到与数据库有关的指令,由Web服务器交给数据库服务器来解释执行,并返回给Web服务器,Web服务器又返回给用户。在这种结构中,将许许多多的网连接到一块,形成一个巨大的网,即全球网。而各个企业可以在此结构的基础上建立自己的Internet。
在 B/S 模式中,用户是通过浏览器针对许多分布于网络上的服务器进行请求访问的,浏览器的请求通过服务器进行处理,并将处理结果以及相应的信息返回给浏览器,其他的数据加工、请求全部都是由Web Server完成的。通过该框架结构以及植入于操作系统内部的浏览器,该结构已经成为了当今软件应用的主流结构模式。

本系统将在经济、技术、操作这三个角度上进行可行性分析。
整个系统从设计到开发以及测试过程严谨步骤齐全,所有工作任务全部由本人完成,并未获取外部技术支持,节约了一切服务成本开销以及人工成本,在硬件方面,为节约成本使用一台二手移动工作站作为项目部署服务器以及数据库服务器,成本在一万元一下,真个网络部署也是由本人独立完成不涉及到其他人工费用,整个开发过程本着低成本,低消耗的原则。
技术可行性分析的目的是确认该系统能否利用现有技术实现,并评估开发效率和完成情况。技术的可行性是指在当前的技术条件下,计算机软件和硬件的开发是否能够满足发展的要求。因为该系统的开发基于Java语言,所以开发该系统所需的软件和硬件条件可以在普通计算机上满足。因为它占用的内存相对较少,所以用MySQL数据库开发和设计软件理论上没有问题,因为它占用的内存太少。上述技术可以有效地保证系统的成功和高效开发。
校园二手书籍交易平台的使用界面简单易于操作,采用常见的界面窗口来登录界面,通过电脑进行访问操作,用户只要平时使用过电脑都能进行访问操作。此系统的开发采用Java技术开发,人性化和完善化是B/S结构开发比较显要的特点使得用户操作相比较其他更加简洁方便。易操作、易管理、交互性好在本系统操作上体现得淋漓尽致。
设计互联网的校园二手书籍交易平台的目标是为了更加有效的进行二手书籍的买卖活动,这也是二手书籍交易的一种新选择。这使得人与商家交易趋于网络化的管理方式,使互联网交易更加容易,从而提高工作效率,降低管理成本。在本系统中需要对用户身份进行管理,包括买家身份和商家身份。
客户可以首次查看详细的介绍,校园二手书籍交易平台中各种商品的实物图,价格和其他基本信息,以便客户可以识别自己满意的商品。选择商品后,客户可以将选择的商品添加到购物车中,如果您在清算前改变主意,仍然可以不用购买。客户选择要购买的商品后,可以将其提交给系统软件,系统软件将自动生成一个相对的订单号。
平台管理员在系统软件中扮演着非常关键的角色,管理者可以执行商品管理,订单管理系统,用户管理系统,商品类目管理等要求。此外,系统软件还应确保信息内容清晰有序,管理员能够轻松的找到需要的管理类别。
本系统具有的前台功能包括以下各项:
本系统具有的后台功能包括以下各项:
用户用例图如下所示。

图3-1 用户用例图
管理员用例图如下所示。

图3-2 管理员用例图
1.系统处理的准确性和机密性
系统软件应确保公司内部信息内容的机密性,以确保用户利益。系统软件应选择管理权限,操纵不同客户的应用程序管理权限,并且客户不得滥用该权限进行实际操作。系统软件应确保数据信息的安全性。另外,客户指定系统软件具有纵横比的可信度,数据信息的准确性,并且系统软件是可恢复的。
2.系统软件的开发和可扩展性
客户会在系统使用过程中不断对系统提出新要求,扩展系统功能,这就要求系统软件必须具有出色的可伸缩性,以考虑到客户的长期和易于使用的法规,客户会在系统使用过程中不断对系统提出新要求,扩展系统功能。
3.系统软件的便利性和可执行性
控制系统设计应个性化,用户界面应该做到清晰简单一目了然,操作简单方便,达到人机 友好的目的。
4.系统软件的响应时间
系统软件响应速度是考虑系统软件特性的优缺点的关键参考。该系统要求响应速度短,升级解决方案快,数据交换和传输时间短以及后台管理网络服务器的响应速度快。由于系统软件用户的唯一性,系统软件必须立即有效地做出响应。并且,请务必在安全前提下确保高效的响应能力。
业务流程图(TFD)通过一些特定的符号描述业务的处理过程,它重点强调业务过程中每一项处理活动和具体业务部门的关系,选择部分模块进行具体描述。重点对本系统整体业务中最为主要的二手书籍交易及订单业务进行描述,用户进入校园二手书籍交易平台后进行各种模块信息的浏览,选择想要购买的书籍添加到购物车,用户到购物车进行所购书籍查询并确认购买、填写订单信息,另外,管理人员进入后端管理,以执行该订单信息控制模块的相关管理方法,并在解决后向客户提供反馈机制。
系统业务流程图如下所示。

图3-2系统业务流程图
本系统主要使用了五层架构进行开发,主要分为“表现层”、“控制层”、“服务层”、“业务逻辑层”、“数据访问层”。
“表现层”主要作为与用户交互的接口,提供给用户良好的可体验性,本系统在前后端交互主要使用的是Ajax技术来实现数据传输,不仅可以达到无刷新交互,同时还拥有较稳定的运行状态。
“控制层”主要控制前端界面和后端程序数据之间的同步,然后根据前端请求完成数据更新或者是界面控制。以及负责将“服务层”提供的服务进行最后组装并调用。
“服务层”介于“控制层”和“业务逻辑层”之间,主要是将“业务逻辑层”的数据服务进行再一次组装,之后在作为接口提供给“控制层”使用。
“业务逻辑层”主要是动态的调用“数据访问层”的方法,对复杂的算法进行操作,处理前端传过来的请求并且做出相应的逻辑处理。
“数据访问层”主要负责对数据库的访问,可以访问数据库系统、文本文件、二进制文件、xml文档等等。负责业务对象的增加,修改,删除,加载。
系统架构图如下所示。

图4-1系统架构图
通过软件的需求分析已经获得了系统的基本功能需求。根据各大功能模块的不同,将系统分为各种功能大块。系统功能结构如下图所示。

图4-2系统功能结构图
前台适用用于用户的登录、注册、二手书籍的展示和检索、书籍的购买和查看自己的订单等。
后台包括管理员登录、增加书籍、查看和修改书籍信息、订单管理。
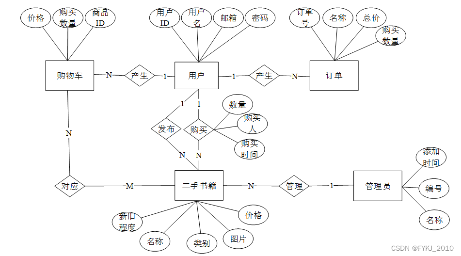
概念结构设计是在需求分析的基础之上,将需求分析抽象成概念,这样易于开发人员将复杂进行简单化操作,使得开发人员能够专注于处理模式和组织结构等,其中常用的概念模型是E-R模型。
系统E-R图如下所示。

图4-3系统E-R图
在图中,用户购买商品,关系为1:N,用户对二手书籍的管理,包括价格、数量等,关系为1:N,用户将要买的二手书籍加入购物车,关系为1:1,用户拥有自己的订单,关系为1:N。
针对系统的实体和属性,结合数据设计思想,对系统的逻辑设计的内容进行如下描述。
二手书籍(书籍编号、名称、图片、价格、类目、新旧程度、介绍)。
购物车(购物车编号、商品编号、购买数量、总额、购买人、购买时间)。
订单(订单编号、用户名、订单内容、总金额、手机号、收货地址、是否支付、当前状态)。
意见反馈(意见反馈编号、意见反馈人、意见反馈内容、回复内容、回复人)
资讯(资讯编号、标题、类别、内容、图片)。
在完成数据库查询定义的总体设计之后,现在可以将上述数据库查询定义结构转换为适用于某种类型的数据库管理的特定数据库系统,即数据库查询的逻辑结构。
校园二手书籍交易平台数据库查询中各表的设计方案结果如下表所示。每个表格都在数据库查询中指示一个表。
| 名称 | 类型 | 长度 | 不是null | 主键 | 注释 |
| ordinary_users_id | int | 11 | 是 | 是 | 普通用户ID |
| full_name | varchar | 64 | 否 | 否 | 姓名 |
| gender | varchar | 64 | 否 | 否 | 性别 |
| examine_state | varchar | 16 | 是 | 否 | 审核状态 |
| recommend | int | 11 | 是 | 否 | 智能推荐 |
| user_id | int | 11 | 是 | 否 | 用户ID |
| create_time | datetime | 0 | 是 | 否 | 创建时间 |
| update_time | timestamp | 0 | 是 | 否 | 更新时间 |
| 名称 | 类型 | 长度 | 不是null | 主键 | 注释 |
| seller_id | int | 11 | 是 | 是 | 卖家ID |
| full_name | varchar | 64 | 否 | 否 | 姓名 |
| gender | varchar | 64 | 否 | 否 | 性别 |
| examine_state | varchar | 16 | 是 | 否 | 审核状态 |
| recommend | int | 11 | 是 | 否 | 智能推荐 |
| user_id | int | 11 | 是 | 否 | 用户ID |
| create_time | datetime | 0 | 是 | 否 | 创建时间 |
| update_time | timestamp | 0 | 是 | 否 | 更新时间 |
| 名称 | 类型 | 长度 | 不是null | 主键 | 注释 |
| shopping_mall_id | int | 11 | 是 | 是 | 商城ID |
| seller_name_ | int | 11 | 否 | 否 | 卖家名称 |
| remark_information | varchar | 64 | 否 | 否 | 备注信息 |
| recommend | int | 11 | 是 | 否 | 智能推荐 |
| cart_title | varchar | 125 | 否 | 否 | 标题 |
| cart_img | text | 0 | 否 | 否 | 封面图 |
| cart_description | varchar | 255 | 否 | 否 | 描述 |
| cart_price_ago | double | 8 | 是 | 否 | 原价:[1] |
| cart_price | double | 8 | 是 | 否 | 卖价:[1] |
| cart_inventory | int | 11 | 是 | 否 | 商品库存 |
| cart_type | varchar | 64 | 是 | 否 | 商品分类: |
| cart_content | longtext | 0 | 否 | 否 | 正文: |
| cart_img_1 | text | 0 | 否 | 否 | 主图1: |
| cart_img_2 | text | 0 | 否 | 否 | 主图2: |
| cart_img_3 | text | 0 | 否 | 否 | 主图3: |
| cart_img_4 | text | 0 | 否 | 否 | 主图4: |
| cart_img_5 | text | 0 | 否 | 否 | 主图5: |
| create_time | datetime | 0 | 是 | 否 | 创建时间 |
| update_time | timestamp | 0 | 是 | 否 | 更新时间 |
| 名称 | 类型 | 长度 | 不是null | 主键 | 注释 |
| order_id | int | 11 | 是 | 是 | 订单ID: |
| order_number | varchar | 64 | 否 | 否 | 订单号: |
| goods_id | mediumint | 8 | 是 | 否 | 商品id |
| title | varchar | 32 | 否 | 否 | 商品标题: |
| img | varchar | 255 | 否 | 否 | 商品图片: |
| price | double | 10 | 是 | 否 | 价格: |
| price_ago | double | 10 | 是 | 否 | 原价: |
| num | int | 8 | 是 | 否 | 数量: |
| price_count | double | 8 | 是 | 否 | 总价: |
| norms | varchar | 255 | 否 | 否 | 规格: |
| type | varchar | 64 | 是 | 否 | 商品分类: |
| contact_name | varchar | 32 | 否 | 否 | 联系人姓名: |
| contact_email | varchar | 125 | 否 | 否 | 联系人邮箱: |
| contact_phone | varchar | 11 | 否 | 否 | 联系人手机: |
| contact_address | varchar | 255 | 否 | 否 | 收件地址: |
| postal_code | varchar | 9 | 否 | 否 | 邮政编码: |
| user_id | int | 10 | 是 | 否 | 买家ID: |
| merchant_id | mediumint | 8 | 是 | 否 | 商家ID: |
| create_time | timestamp | 0 | 是 | 否 | 创建时间: |
| update_time | timestamp | 0 | 是 | 否 | 更新时间: |
| description | varchar | 255 | 否 | 否 | 描述 |
| state | varchar | 16 | 是 | 否 | 订单状态 |
| 名称 | 类型 | 长度 | 不是null | 主键 | 注释 |
| type_id | int | 11 | 是 | 是 | 商品分类ID: |
| father_id | smallint | 5 | 是 | 否 | 上级分类ID |
| name | varchar | 255 | 否 | 否 | 商品名称: |
| desc | varchar | 255 | 否 | 否 | 描述: |
| icon | varchar | 255 | 否 | 否 | 图标: |
| source_table | varchar | 255 | 否 | 否 | 来源表: |
| source_field | varchar | 255 | 否 | 否 | 来源字段: |
| create_time | timestamp | 0 | 是 | 否 | 创建时间: |
| update_time | timestamp | 0 | 是 | 否 | 更新时间: |
用户登录页面,该页面有一个权限区分,主要用于区分系统管理员和普通客户的登录。当登录的账号是系统管理员时,管理员可以进行商品的后台管理,而普通客户只能进行客户端的操作,普通客户只有在注册登录以后方可在网上购买商品。如果客户还没有登录的账号和密码,必须先在系统上注册一个。在登录后,可以进入购买的操作。
已登录的用户可以查看、修改个人信息以及密码修改等操作。用户信息的查看功能在yonghuzhuce_updt.jsp页面中实现。用户信息,和密码修改功能在系统窗口中实现的。
登录界面如下图所示。

图5-1登录界面
/**
* 登录
* @param data
* @param httpServletRequest
* @return
*/
@PostMapping("login")
public Map
log.info("[执行登录接口]");
String username = data.get("username");
String email = data.get("email");
String phone = data.get("phone");
String password = data.get("password");
List resultList = null;
Map
if(username != null && "".equals(username) == false){
map.put("username", username);
resultList = service.select(map, new HashMap<>()).getResultList();
}
else if(email != null && "".equals(email) == false){
map.put("email", email);
resultList = service.select(map, new HashMap<>()).getResultList();
}
else if(phone != null && "".equals(phone) == false){
map.put("phone", phone);
resultList = service.select(map, new HashMap<>()).getResultList();
}else{
return error(30000, "账号或密码不能为空");
}
if (resultList == null || password == null) {
return error(30000, "账号或密码不能为空");
}
//判断是否有这个用户
if (resultList.size()<=0){
return error(30000,"用户不存在");
}
User byUsername = (User) resultList.get(0);
Map
groupMap.put("name",byUsername.getUserGroup());
List groupList = userGroupService.select(groupMap, new HashMap<>()).getResultList();
if (groupList.size()<1){
return error(30000,"用户组不存在");
}
UserGroup userGroup = (UserGroup) groupList.get(0);
//查询用户审核状态
if (!StringUtils.isEmpty(userGroup.getSourceTable())){
String sql = "select examine_state from "+ userGroup.getSourceTable() +" WHERE user_id = " + byUsername.getUserId();
String res = String.valueOf(service.runCountSql(sql).getSingleResult());
if (res==null){
return error(30000,"用户不存在");
}
if (!res.equals("已通过")){
return error(30000,"该用户审核未通过");
}
}
//查询用户状态
if (byUsername.getState()!=1){
return error(30000,"用户非可用状态,不能登录");
}
String md5password = service.encryption(password);
if (byUsername.getPassword().equals(md5password)) {
// 存储Token到数据库
AccessToken accessToken = new AccessToken();
accessToken.setToken(UUID.randomUUID().toString().replaceAll("-", ""));
accessToken.setUser_id(byUsername.getUserId());
tokenService.save(accessToken);
// 返回用户信息
JSONObject user = JSONObject.parseObject(JSONObject.toJSONString(byUsername));
user.put("token", accessToken.getToken());
JSONObject ret = new JSONObject();
ret.put("obj",user);
return success(ret);
} else {
return error(30000, "账号或密码不正确");
}
}
用户界面要尽量简洁大方,使用户能够方便找到需要的功能入口,浏览、购买商品,且要易于修改和维护,同时还要保证用户合法和系统安全。
首页界面如下图所示。

图5-2首页界面
用户注册页面主要用于客户注册,在这个页面中客户要填写用户名,密码,姓名,地址和Email等信息,并且各项信息都不能为空。客户也可以点击修改个人资料和密码。系统管理员对已注册客户的信息可进行确认,可将用户列为正式用户,也可以将其删除。一般注册了的用户默认都是正是用户,前提是管理员没有删除该账号。客户在注册成功以后,才可登录系统。模块的功能是在yonghuzhuce.jsp页面中实现的。
用户注册界面如下所示。

图5-3用户注册界面
用户注册逻辑代码如下:
* 注册
* @param user
* @return
*/
@PostMapping("register")
public Map
// 查询用户
Map
query.put("username",user.getUsername());
List list = service.select(query, new HashMap<>()).getResultList();
if (list.size()>0){
return error(30000, "用户已存在");
}
user.setUserId(null);
user.setPassword(service.encryption(user.getPassword()));
service.save(user);
return success(1);
}
/**
* 用户ID:[0,8388607]用户获取其他与用户相关的数据
*/
@Id
@GeneratedValue(strategy = GenerationType.IDENTITY)
@Column(name = "user_id")
private Integer userId;
/**
* 账户状态:[0,10](1可用|2异常|3已冻结|4已注销)
*/
@Basic
@Column(name = "state")
private Integer state;
/**
* 所在用户组:[0,32767]决定用户身份和权限
*/
@Basic
@Column(name = "user_group")
private String userGroup;
/**
* 上次登录时间:
*/
@Basic
@Column(name = "login_time")
private Timestamp loginTime;
/**
* 手机号码:[0,11]用户的手机号码,用于找回密码时或登录时
*/
@Basic
@Column(name = "phone")
private String phone;
/**
* 手机认证:[0,1](0未认证|1审核中|2已认证)
*/
@Basic
@Column(name = "phone_state")
private Integer phoneState;
/**
* 用户名:[0,16]用户登录时所用的账户名称
*/
@Basic
@Column(name = "username")
private String username;
/**
* 昵称:[0,16]
*/
@Basic
@Column(name = "nickname")
private String nickname;
/**
* 密码:[0,32]用户登录所需的密码,由6-16位数字或英文组成
*/
@Basic
@Column(name = "password")
private String password;
/**
* 邮箱:[0,64]用户的邮箱,用于找回密码时或登录时
*/
@Basic
@Column(name = "email")
private String email;
/**
* 邮箱认证:[0,1](0未认证|1审核中|2已认证)
*/
@Basic
@Column(name = "email_state")
private Integer emailState;
/**
* 头像地址:[0,255]
*/
@Basic
@Column(name = "avatar")
private String avatar;
/**
* 创建时间:
*/
@Basic
@Column(name = "create_time")
@JsonFormat(pattern = "yyyy-MM-dd HH:mm:ss")
private Timestamp createTime;
@Basic
@Transient
private String code;
}
二手书籍展示页是展示系统二手书籍的页面,通过sql语句:"select shangpinxinximingcheng,id,tupian,jiage,addtime from shangpinxinxi order by addtime desc",将所有是二手书籍按二手书籍编号降序排列。
二手书籍展示页面,如下图所示。

图5-1二手书籍展示页面
二手书籍展示主要代码如下。
@Transactional
public Map
service.insert(service.readBody(request.getReader()));
return success(1);
}
@Transactional
public Map
service.insert(map);
return success(1);
}
public Map
BufferedReader br = null;
StringBuilder sb = new StringBuilder("");
try{
br = reader;
String str;
while ((str = br.readLine()) != null){
sb.append(str);
}
br.close();
String json = sb.toString();
return JSONObject.parseObject(json, Map.class);
}catch (IOException e){
e.printStackTrace();
}finally{
if (null != br){
try{
br.close();
}catch (IOException e){
e.printStackTrace();
}
}
}
return null;
}
public void insert(Map
StringBuffer sql = new StringBuffer("INSERT INTO ");
sql.append("`").append(table).append("`").append(" (");
for (Map.Entry
sql.append("`"+humpToLine(entry.getKey())+"`").append(",");
}
sql.deleteCharAt(sql.length()-1);
sql.append(") VALUES (");
for (Map.Entry
Object value = entry.getValue();
if (value instanceof String){
sql.append("'").append(entry.getValue()).append("'").append(",");
}else {
sql.append(entry.getValue()).append(",");
}
}
sql.deleteCharAt(sql.length() - 1);
sql.append(")");
log.info("[{}] - 插入操作:{}",table,sql);
Query query = runCountSql(sql.toString());
query.executeUpdate();
}
书籍搜索引擎主要是为客户提供一个书籍搜索的功能,便于用户查找自己所需要的书籍。在这里,用户可以通过选择下拉列表框中的选项,输入书籍名,发布人等,再在文本框中输入相应的信息后点击确定,就可以搜索到对应的书籍信息。
书籍搜索界面如下图所示。

图5-1书籍搜索界面
购物车页面主要用于客户交易书籍,当客户选定了要订的书籍以后,可以查看书籍的内容简介。在客户已登录的前提下,在搜索到自己所需的书籍以后,当点击添加到购物车时,可把自己选订的书籍添加到购物车中。
书籍购买界面如下图所示。

图5-1书籍购买界面
书籍购买主要代码如下:
@RequestMapping(value = {"/avg_group", "/avg"})
public Map
Query count = service.avg(service.readQuery(request), service.readConfig(request));
return success(count.getResultList());
}
客户订单管理模块主要包括了查看客户详细订单和处理订单等功能。这些功能分别在dingdan_detail.jsp、dingdan_list.jsp二个页面中实现的。
客户填写订单,主要是在把选订的商品加入购物车以后,需填写的一个订单。目的是为了让管理员了解客户的信息,也是为客户提供一个购物的便利,以下信息客户必须填写。为了方便客户,特为客户提供了多种的支付币种,支付方式,客户可以在支付页面中选择适合自己情况的方式。
订单生成界面如下图所示。

图5-1订单生成界面
订单生成界面逻辑代码如下:
public Map
Map
return success(map);
}
管理员对系统用户的管理,在yhzhgl.jsp实现管理员用户的管理,包括录入、删除、修改,修改密码通过SESSION获取用户名,然后输入新密码,提交到mod.jsp中,使用sql命令更新密码。
用户管理界面如下图所示。

图5-1用户管理界面
个人资料修改界面如下图所示。

图5-1个人资料修改界面
个人资料修改的逻辑代码如下。
@RequestMapping("auth")
public class AuthController extends BaseController
/**
* 服务对象
*/
@Autowired
public AuthController(AuthService service) {
setService(service);
}
}
管理员在首页通过管理员账号登录以后,就可以进入后台管理。查询书籍信息主要可以查看书籍的编号,书籍图片,单价等信息。书籍信息管理模块中包含书籍类别信息管理和书籍信息管理两个小模块。在书籍类别信息管理小模块中系统管理员可以对书籍类别信息管理进行更改,其功能是在shangpinleibie_updt.jsp页面中实现的。而书籍信息管理模块提供了书籍信息的添加修改删除等功能。其中添加是在shangpin_add.jsp中实现的,可以添加书籍名,介绍,类型,单价,以及上传图片和书籍的简介等信息。
书籍管理界面如下图所示。

图5-1书籍管理界面
书籍管理主要代码如下。
@RequestMapping(value = {"/avg_group", "/avg"})
public Map
Query count = service.avg(service.readQuery(request), service.readConfig(request));
return success(count.getResultList());
}
管理员在后台管理界面点击到所有订单界面dingdan_list.jsp,向控制层dingdanAction发送请求,搜索当前所有订单信息,dingdanAction向dingdanDAOImp调用搜索全部订单的请求,向数据库的订单表搜索当前所有订单并将订单信息以对象的形式层层返回到dingdan_list.jsp界面,显示出当前所有订单信息。同时可以删除过期订单,确认已有订单,进行发货处理。
订单列表界面如下图所示。

图5-1订单列表界面
订单支付界面如下图所示。

图5-1订单支付界面
软件测试是指使用人工或全自动方法来操作或测试某些系统软件的整个过程。其目的取决于是否考虑要求的要求或澄清预期结果与特定结果之间的差异。它是帮助识别和开发设计手机软件计算机技术的正确性,彻底性和质量的全过程。
软件测试和测试不关注整个过程的主题活动,而只是分析整个过程中的物质以及开发和设计的手机软件。测试工程师应“实施”手机软件,在整个过程中对材料(开发文本和源代码)进行演练和操作,以发现问题并报告质量。测试工程师还必须假设手机软件存在问题,因此他们所做的实际操作都是为了更好地发现大量问题,而不仅仅是证明一切都适当。
软件功能性测试是指执行指定的工作流程,通过对一个系统的所有特性和功能都进行测试确保符合需求和规范。
系统功能性测试表如下表所示。
表6-1系统功能性测试表
| 编号 | 测试功能 | 测试内容 | 测试结果 |
| 1 | 用户登录 | 1.验证用户名与密码的正确性。 2.验证密码是否可见。 | 通过 |
| 2 | 首页展示 | 1.首页数据是否成功加载。 2.验证搜索功能的准确性。 3.验证是否可以异步加载。 4.验证导航栏按钮。 | 通过 |
| 3 | 个人信息修改 | 1.验证登录名是否可以正常更改。 2.验证联系方式是否可以更改。 3.验证收货地址可以正常修改。 4.验证密码是否可以修改。 | 通过 |
| 4 | 购物车管理 | 1.购物车清单是否可以生成。 2.验证消费信息是否准确。 | 通过 |
| 8 | 二手书籍管理 | 1.书籍信息是否与上传一致。 2.是否能完成价格修改。 3.验证库存信息修改。 | 通过 |
| 9 | 订单处理 | 1.能否正常处理订单的状态。 2.验证数据准确性。 | 通过 |
| 10 | 添加书籍 | 1.上传书籍是否添加验证。 2.图片是否成功上传。 3.验证表单是否提交成功。 | 通过 |
| 11 | 用户管理 | 1.验证用户录入功能。 2.验证用户违规清理功能。 | 通过 |
第一个测试阶段:系统软件的操作界面由几个子控制模块组成,每个子控制模块都有其相对的作用。因此,系统软件的检测必须首先进行控制模块的检测。每个控制模块必须执行明确定义的子功能。测试控制模块的目的是确保每个控制模块都可以作为一个模块运行。
第二个测试阶段:集成检测是根据设计方案的软件体系结构,按照某种对策对经过控制模块检测的各个控制模块进行组装,并在整个组成过程中进行必要的检测。
第三个测试阶段:客户将执行校园二手书籍交易平台的工程验收。系统测试后,所有控制模块均已根据设计计划组装成详细的二手书籍交易平台。错误的插槽已被移除,操作接口必须进一步认证成效。
系统软件可以在运行过程中执行其相关功能,可以完成查询,添加,删除,修改等功能,并且运行显示信息都正常,后端管理数据库查询也可以正常工作,数据信息确保一致性和可靠性。
通过对校园二手书籍交易平台的研究及设计与开发,基于Springboot框架的校园二手书籍交易平台基本开发完毕,并实现了小型的二手书籍交易平台的基本功能。主要包括用户注册信息管理、用户信息管理、二手书籍管理、用户订单管理、二手资讯管理模块。但是由于时间仓促及知识的缺陷,所以本系统还有很多不足的地方,比如没有与银行系统挂钩的支付模块,没有安全访问的限制,没有销售报表的打印等多方面的问题,这些都有待进一步的完善。
本课题按软件工程的要求设计与实现了整个系统,即可行性计划、需求分析报告、总体计划设计、总体设计和自动化测试过程。经开发与测试,其功能基础符合要求。该系统软件的关键是探索系统软件的开发环境,编程语言等核心技术,系统软件数据库查询的基本结构以及系统流程图程序模块的详细分析。该系统的创新点就是支持二手书籍的多条件查询和喜好书籍的自动推荐。
[3]李俊,马琦,朱嘉灵,陈乐.新型大学校园二手交易平台构建研究[J].物流工程与管理,2021,43(12):145-148.
[4]陈光磊,王廷湘,吴艳,王茂华,李东阳,唐徐韵.O2O模式:高校二手书籍交易现状与平台构建设想[J].营销界,2021(Z3):76-78.
[5]徐彦. C2B2C模式垂直二手交易平台商业模式研究[D].电子科技大学,2021.
[6]贺欢,胡成耀,汪洋,谢腾飞.大学生二手交易平台的现状调查与前景预测——以阜阳师范大学为例[J].现代营销(学苑版),2021(06):93-95.
[7]赵壮. 推荐算法在校园二手交易平台中的研究与应用[D].武汉轻工大学,2021.
[8]邬红梅,路雨晴.高校二手书籍交易现状分析与分享平台建设——以洛阳市高校为例[J].科技创新与应用,2020(29):44-47.
[9]邬红梅,路雨晴.高校二手书籍市场交易现状与存在问题分析——以洛阳市高校为例[J].时代经贸,2020(20):53-55.
[10]郑青青. 网络二手书平台经营现状与创新策略研究[D].苏州大学,2020.
[11]肖肖,林道婷,向志成,朱晓华.基于自主购书模式下的书籍循环利用体系的构建——以高校ibooking交易平台为例[J].教育现代化,2019,6(77):172-174.
[12]龙晓菲,陈斌,毕蒙蒙,汪露,郁玥.关于建立线上二手书籍交易平台的可行性研究[J].纳税,2019,13(16):184+187.
[13]任长玉. 我国二手书网络交易平台现状和发展策略研究[D].青岛科技大学,2019.
[14]徐红银,吴恋,李裕米,蔡霞.大学校园闲置书籍交换交易平台开发与设计[J].物联网技术,2018,8(08):96-97.
[15]林源. 高校二手书籍交易平台的研究与设计[D].长春工业大学,2018.
时光飞逝,转眼间我在学校的这些年生活即将结束,回顾这几年的学习生活,收获良多,既有幸福也有难过,学校生活的结束对于我来说也是一个新的开始。论文即将完成,在此,我心中有许多想要感谢的人。首先感谢我的导师,不仅在学习研究方面加以指导,也在生活和为人处世上给予帮助。还要感谢授课老师,你们严谨的学术精神和积极向上的工作态度都在激励我的成长和进步。感谢多年来一直生活在一起的室友,谢谢你们多年来的陪伴和照顾。最后,要感谢各位论文评审老师,感谢您们在百忙之中抽空评阅本论文并给出宝贵的意见和建议。
免费领取本源代码,请关注点赞+私信