参考文档链接:scikit-opt
本章继续Python的优化算法系列。
优化算法,尤其是启发式的仿生智能算法在最近很火,它适用于解决管理学,运筹学,统计学里面的一些优化问题。比如线性规划,整数规划,动态规划,非线性约束规划,甚至是超参数搜索等等方向的问题。
但是一般的优化算法还是matlab里面用的多,Python相关代码较少。博主在参考了很多文章的代码和模块之后,决定学习 scikit-opt 这个模块。这个优化算法模块对新手很友好,代码简洁,上手简单。而且代码和官方文档是中国人写的,还有很多案例,学起来就没什么压力...
缺点是包装的算法种类目前还不算多,只有七种:(差分进化算法、遗传算法、粒子群算法、模拟退火算法、蚁群算法、鱼群算法、免疫优化算法) /(其实已经够用了)
本次带来的是 数学建模里面经常使用的遗传算法的使用演示。数学原理就不多说了
首先安装模块,在cmd里面或者anaconda prompt里面输入:
pip install scikit-opt
这个包很小,很快就能装好。
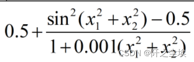
首先定义我们要解决的优化的问题:

该函数有大量的局部最小值,具有很强的冲击力,在(0,0) 处的全局最小值,值为 0
代码
- import numpy as np
-
- def schaffer(p):
- x1, x2 = p
- x = np.square(x1) + np.square(x2)
- return 0.5 + (np.square(np.sin(x)) - 0.5) / np.square(1 + 0.001 * x)
调用遗传算法GA解决:
- from sko.GA import GA
-
- ga = GA(func=schaffer, n_dim=2, size_pop=50, max_iter=800, prob_mut=0.001, lb=[-1, -1], ub=[1, 1], precision=1e-7)
- best_x, best_y = ga.run()
- print('best_x:', best_x, '\n', 'best_y:', best_y)

可以看到基本找到了全局最小值和对应的x 。
画出迭代次数的图
- import pandas as pd
- import matplotlib.pyplot as plt
-
- Y_history = pd.DataFrame(ga.all_history_Y)
- fig, ax = plt.subplots(2, 1)
- ax[0].plot(Y_history.index, Y_history.values, '.', color='red')
- Y_history.min(axis=1).cummin().plot(kind='line')
- plt.show()

上面用到了很多参数,不懂可以看看这里
输入参数

输出参数

在多维优化时,想让哪个变量限制为整数,就设定 precision 为 整数 即可。
例如,我想让我的自定义函数 demo_func 的某些变量限制为整数+浮点数(分别是整数,整数,浮点数),那么就设定 precision=[1, 1, 1e-7]
例子如下:
- from sko.GA import GA
-
- demo_func = lambda x: (x[0] - 1) ** 2 + (x[1] - 0.05) ** 2 + x[2] ** 2
-
- ga = GA(func=demo_func, n_dim=3, max_iter=500, lb=[-1, -1, -1], ub=[5, 1, 1], precision=[1,1,1e-7])
- best_x, best_y = ga.run()
- print('best_x:', best_x, '\n', 'best_y:', best_y)

可以看到第一个、第二个变量都是整数,第三个就是浮点数了 。
商旅问题(TSP)就是路径规划的问题,比如有很多城市,你都要跑一遍,那么先去哪个城市再去哪个城市可以让你的总路程最小。
实际问题需要一个城市坐标数据,比如你的出发点位置为(0,0),第一个城市离位置为(x1,y1),第二个为(x2,y2).........这里没有实际数据,就直接随机生成了。
- import numpy as np
- from scipy import spatial
- import matplotlib.pyplot as plt
-
- num_points = 50
- points_coordinate = np.random.rand(num_points, 2) # generate coordinate of points
- points_coordinate

这里定义的是50个城市,每个城市的坐标都在是上图随机生成的矩阵。
然后我们把它变成类似相关系数里面的矩阵
- distance_matrix = spatial.distance.cdist(points_coordinate, points_coordinate, metric='euclidean')
- distance_matrix.shape
![]()
这个矩阵就能得出每个城市之间的距离,算上自己和自己的距离(0),总共有2500个数。
定义问题
- def cal_total_distance(routine):
- num_points, = routine.shape
- return sum([distance_matrix[routine[i % num_points], routine[(i + 1) % num_points]] for i in range(num_points)])
求解
- from sko.GA import GA_TSP
- ga_tsp = GA_TSP(func=cal_total_distance, n_dim=num_points, size_pop=50, max_iter=500, prob_mut=1)
- best_points, best_distance = ga_tsp.run()
best_distance
得到的最小距离
画图查看计算出来的路径,还有迭代次数和y的关系
- fig, ax = plt.subplots(1, 2,figsize=(10,4))
- best_points_ = np.concatenate([best_points, [best_points[0]]])
- best_points_coordinate = points_coordinate[best_points_, :]
- ax[0].plot(best_points_coordinate[:, 0], best_points_coordinate[:, 1], 'o-r')
- ax[1].plot(ga_tsp.generation_best_Y)
- plt.show()

构建数据集
- import numpy as np
- import matplotlib.pyplot as plt
- from sko.GA import GA
-
- x_true = np.linspace(-1.2, 1.2, 30)
- y_true = x_true ** 3 - x_true + 0.4 * np.random.rand(30)
- plt.plot(x_true, y_true, 'o')
构建的数据是y=x^3-x+0.4,然后加上了随机扰动项。如图

定义需要拟合的函数(三次函数),然后将残差作为目标函数去求解
- def f_fun(x, a, b, c, d):
- return a * x ** 3 + b * x ** 2 + c * x + d #三次函数
-
- def obj_fun(p):
- a, b, c, d = p
- residuals = np.square(f_fun(x_true, a, b, c, d) - y_true).sum()
- return residuals
求解
- ga = GA(func=obj_fun, n_dim=4, size_pop=100, max_iter=500,
- lb=[-2] * 4, ub=[2] * 4)
-
- best_params, residuals = ga.run()
- print('best_x:', best_params, '\n', 'best_y:', residuals)

可以看到拟合出来的方程为y=0.919x^3-0.0244x^2-0.939x+0.2152.
拟合效果还行
画出拟合线
- y_predict = f_fun(x_true, *best_params)
-
- fig, ax = plt.subplots()
- ax.plot(x_true, y_true, 'o')
- ax.plot(x_true, y_predict, '-')
-
- plt.show()
