pandas的官网地址为:https://pandas.pydata.org/
官网首页介绍了Pandas,
pandas is a fast, powerful, flexible and easy to use open source data analysis and manipulation tool,
built on top of the Python programming language.
pandas是一个快速、强大、灵活且易于使用的开源数据分析和操作工具,构建在Python编程语言之上。
点击导航栏中的document,再点击getting started,会进入到pandas对应的文档页。地址如下:https://pandas.pydata.org/docs/getting_started/index.html#getting-started
通过右面的英文菜单,可以辅助我们更好的理解pandas是什么

在对pandas有了基本了解后,就可以通过用户指南进行pandas的练习了。
关于pandas,官方的解释是,pandas是一个基于BSD开源协议的开源库,提供了用于python编程语言的高性能、易于使用的数据结构和数据分析工具。
这里还提到了BSD开源协议。BSD开源协议可以自修改源代码,也可以将修改后的代码作为开源或者专有软件再发布。
但需要满足三个条件:
1.如果再发布的产品中包含源代码,则在源代码中必须带有原来代码中的BSD协议。
2.如果再发布的只是二进制类库/软件,则需要在类库/软件的文档和版权声明中包含原来代码中的BSD协议。
3.不可以用开源代码的作者/机构名字和原来产品的名字做市场推广。
对于pandas这种数据分析库而已,我们都可以通过与传统的集合对象来理解,pandas提供了类似集合的数据结构,也提供了对应属性和方法,我们只需要把数据封装到pandas提供的数据结构对象中,既可以使用pandas库提供的实用的高效的方法。
pandas提供了2种常见的数据结构,分别为:Series、DataFrame。
Series是用于处理一维数据的;dataframe则是处理二维数据的。
Series是一个结构类似于一维数组的对象,该对象主要由索引数据和索引两部分组成,其中数据可以是任意类型,比如整数、字符串、浮点数等。
Series类对象的索引样式比较丰富,默认是自动生成的整数索引(从0开始递增),也可以是自定义的标签索引(由自定义的标签构成的索引)、时间戳索引(由时间戳构成的索引)等。如下所示:

左侧的灰色轴表示标签轴,也就是index轴索引,在标签为"0""1""2"和"3"的后面存放的是对应的数据。
通过Series类的构造方法可以创建一维数据:
pandas.Series(data=None,index=None,dtype=None,
name=None,copy=False, fastpath=False)
data:表示传入的数据,可以是ndarry、list、dict等。
index:表示传入的索引,必须是唯一的,且与数据的长度相同。若没有传入索引,则创建的Series类对象会自动生成0~N的整数索引。
dtype:表示数据的类型。若未指定数据类型,pandas会根据传入的数据自动推断数据类型。
在使用pandas中的Series数据结构时,可通过pandas点Series调用。有时,这样写有些麻烦,这时,可单独引入Series数据结构,通过代码“from空格pandas空格important空格Series”实现,当然,这里也可以使用“AS”设置别名。这样就不需要每次都写“pandas点Series”,简单又方便。
from pandas import Series [as 别名]。
In [1]: import pandas as pd
In [2]: ser_obj = pd.Series(['Python', 'Java', 'PHP'])
In [3]: ser_obj
输出为:
Out[3]:
0 Python
1 Java
2 PHP
dtype: object
In [3]: data = {'one': 'Python', 'two': 'Java','three': 'PHP'}
In [4]: ser_obj2 = pd.Series(data)
In [5]: ser_obj2
输出为:
Out[5]:
one Python
two Java
three PHP
dtype: object
import pandas as pd
ser_obj = pd.Series(['Python', 'Java', 'PHP'], index = ['one', 'two', 'three'])
ser_obj
输出为:
Out[4]:
one Python
two Java
three PHP
dtype: object
import numpy as np
import pandas as pd
arr = np.random.randn(5)
s = pd.Series(arr)
# 默认index是从0开始,步长为1的数字
s = pd.Series(arr, index = ['a','b','c','d','e'],dtype = np.object)
s
输出为:
Out[9]:
a 3.49113
b -0.206911
c -0.94533
d -0.818286
e -0.634007
dtype: object
In [10]: s = pd.Series(10, index = range(4))
...: s
...:
输出为:
Out[10]:
0 10
1 10
2 10
3 10
dtype: int64
思考:如果传入的数据对象类型不一致怎样办?
In [5]: print(ser_obj.index,type(ser_obj.index))
Index(['one', 'two', 'three'], dtype='object') <class 'pandas.core.indexes.base.Index'>
In [6]: print(ser_obj.values,type(ser_obj.values))
['Python' 'Java' 'PHP'] <class 'numpy.ndarray'>
从结果可以看出:
核心:series相比于ndarray,是一个自带索引index的数组 → 一维数组 + 对应索引
所以当只看series的值的时候,就是一个ndarray
series和ndarray较相似,索引切片功能差别不大
series和dict相比,series更像一个有顺序的字典(dict本身不存在顺序),其索引原理与字典相似(一个用key,一个用index)
# Series 名称属性:name
s1 = pd.Series(np.random.randn(5))
s1
输出为:
Out[11]:
0 0.820317
1 -0.260753
2 -0.512390
3 -0.782781
4 0.977223
dtype: float64
s2 = pd.Series(np.random.randn(5),name = 'test')
s2
输出为:
Out[12]:
0 -2.690275
1 0.346298
2 -0.223346
3 -1.203251
4 0.374382
Name: test, dtype: float64
In [13]: print(s1.name, s2.name,type(s2.name))
输出为:
None test
# name为Series的一个参数,创建一个数组的名称
# .name方法:输出数组的名称,输出格式为str,如果没用定义输出名称,输出为None
s3 = s2.rename('hehehe')
s3
输出为:
Out[15]:
0 -2.690275
1 0.346298
2 -0.223346
3 -1.203251
4 0.374382
Name: hehehe, dtype: float64
print(s3.name, s2.name) # .rename()重命名一个数组的名称,并且新指向一个数组,原数组不变
输出为:
hehehe test
包括:位置下标 / 标签索引 / 切片索引 / 布尔型索引
# 位置下标,类似序列
s = pd.Series(np.random.rand(5))
s
输出为:
Out[18]:
0 0.453055
1 0.208872
2 0.917167
3 0.238751
4 0.720561
dtype: float64
In [19]: print(s[0],type(s[0]),s[0].dtype)
输出为:
0.45305476973470404
float64
In [20]: print(float(s[0]),type(float(s[0])))
输出为:
0.45305476973470404
位置下标从0开始,输出结果为numpy.float格式,可以通过float()函数转换为python float格式,numpy.float与float占用字节不同,s[-1]会报错?
# 标签索引
s = pd.Series(np.random.rand(5), index = ['a','b','c','d','e'])
s
输出为:
Out[22]:
a 0.037435
b 0.536072
c 0.051238
d 0.906477
e 0.474856
dtype: float64
print(s['a'],type(s['a']),s['a'].dtype)
# 方法类似下标索引,用[]表示,内写上index,注意index是字符串
输出为:
0.037435262125128266
float64
sci = s[['a','b','e']]
print(sci,type(sci))
# 如果需要选择多个标签的值,用[[]]来表示(相当于[]中包含一个列表)
# 多标签索引结果是新的数组
输出为:
a 0.037435
b 0.536072
e 0.474856
dtype: float64
# 切片索引
s1 = pd.Series(np.random.rand(5))
s2 = pd.Series(np.random.rand(5), index = ['a','b','c','d','e'])
print('-----')
print(s1[1:4],s1[4])
print(s2['a':'c'],s2['c'])
print(s2[0:3],s2[3])
print('-----')
# 注意:用index做切片是末端包含
print(s2[:-1])
print(s2[::2])
# 下标索引做切片,和list写法一样
输出为:
-----
1 0.792143
2 0.876208
3 0.542396
dtype: float64 0.3478167781738142
a 0.338142
b 0.314807
c 0.716646
dtype: float64 0.7166457177011984
a 0.338142
b 0.314807
c 0.716646
dtype: float64 0.7435841750851758
-----
a 0.338142
b 0.314807
c 0.716646
d 0.743584
dtype: float64
a 0.338142
c 0.716646
e 0.499374
dtype: float64
s = pd.Series(np.random.rand(3)*100)
s[4] = None # 添加一个空值
s
输出为:
Out[28]:
0 10.7214
1 72.9608
2 23.8594
4 None
dtype: object
bs1 = s > 50
bs2 = s.isnull()
bs3 = s.notnull()
print('-----')
print(bs1, type(bs1), bs1.dtype)
print(bs2, type(bs2), bs2.dtype)
print(bs3, type(bs3), bs3.dtype)
print('-----')
输出为:
-----
0 False
1 True
2 False
4 False
dtype: boolbool
0 False
1 False
2 False
4 True
dtype: boolbool
0 True
1 True
2 True
4 False
dtype: boolbool
-----
# 数组做判断之后,返回的是一个由布尔值组成的新的数组
# .isnull() / .notnull() 判断是否为空值 (None代表空值,NaN代表有问题的数值,两个都会识别为空值)
s[s > 50]
输出为:
Out[32]:
1 72.9608
dtype: object
s[bs3]
# 布尔型索引方法:用[判断条件]表示,其中判断条件可以是 一个语句,或者是 一个布尔型数组!
输出为:
Out[33]:
0 10.7214
1 72.9608
2 23.8594
dtype: object
本部分主要包括数据查看 / 重新索引 / 对齐 / 添加、修改、删除值等。
# 数据查看
s = pd.Series(np.random.rand(50))
# s.head(10)
s.tail()
输出为:
Out[34]:
45 0.805533
46 0.050284
47 0.423695
48 0.939936
49 0.124114
dtype: float64
# 重新索引reindex
# .reindex将会根据索引重新排序,如果当前索引不存在,则引入缺失值
s = pd.Series(np.random.rand(3), index = ['a','b','c'])
s
输出为:
Out[35]:
a 0.062014
b 0.735581
c 0.730702
dtype: float64
s1 = s.reindex(['c','b','a','d'])
s1
# .reindex()中也是写列表
# 这里'd'索引不存在,所以值为NaN
输出为:
Out[36]:
c 0.730702
b 0.735581
a 0.062014
d NaN
dtype: float64
s2 = s.reindex(['c','b','a','d'], fill_value = 0)
s2
# fill_value参数:填充缺失值的值
输出为:
Out[37]:
c 0.730702
b 0.735581
a 0.062014
d 0.000000
dtype: float64
# Series对齐
s1 = pd.Series(np.random.rand(3), index = ['Jack','Marry','Tom'])
s2 = pd.Series(np.random.rand(3), index = ['Wang','Jack','Marry'])
print('s1:',s1)
print('s2:',s2)
输出为:
s1:
Jack 0.733634
Marry 0.996989
Tom 0.951236
dtype: float64
s2:
Wang 0.931015
Jack 0.220763
Marry 0.391837
dtype: float64
s1 + s2
输出为:
Out[41]:
Jack 0.954397
Marry 1.388826
Tom NaN
Wang NaN
dtype: float64
Series 和 ndarray 之间的主要区别是,Series 上的操作会根据标签自动对齐
index顺序不会影响数值计算,以标签来计算
空值和任何值计算结果扔为空值
In [44]:
# 删除:.drop
s = pd.Series(np.random.rand(5), index = list('ngjur'))
s
输出为:
Out[44]:
n 0.820846
g 0.825120
j 0.881528
u 0.321654
r 0.560360
dtype: float64
In [45]:
s1 = s.drop('n')
s1
输出为:
Out[45]:
g 0.825120
j 0.881528
u 0.321654
r 0.560360
dtype: float64
In [46]:
s2 = s.drop(['g','j'])
s2
输出为:
Out[46]:
n 0.820846
u 0.321654
r 0.560360
dtype: float64
In [47]:
s
# drop 删除元素之后返回副本(inplace=False)
输出为:
Out[47]:
n 0.820846
g 0.825120
j 0.881528
u 0.321654
r 0.560360
dtype: float64
In [49]:
# 添加
s1 = pd.Series(np.random.rand(5))
s1
输出为:
Out[49]:
0 0.549820
1 0.563056
2 0.195393
3 0.348328
4 0.382846
dtype: float64
In [50]:
s2 = pd.Series(np.random.rand(5), index = list('ngjur'))
s2
输出为:
Out[50]:
n 0.381726
g 0.842261
j 0.878494
u 0.093220
r 0.604935
dtype: float64
In [51]:
s1[5] = 100
s1
输出为:
Out[51]:
0 0.549820
1 0.563056
2 0.195393
3 0.348328
4 0.382846
5 100.000000
dtype: float64
In [52]:
s2['a'] = 100
s2
输出为:
Out[52]:
n 0.381726
g 0.842261
j 0.878494
u 0.093220
r 0.604935
a 100.000000
dtype: float64
In [54]:
# 直接通过下标索引/标签index添加值
s3 = s1.append(s2)
s3
输出为:
Out[54]:
0 0.549820
1 0.563056
2 0.195393
3 0.348328
4 0.382846
5 100.000000
n 0.381726
g 0.842261
j 0.878494
u 0.093220
r 0.604935
a 100.000000
dtype: float64
In [55]:
s1
# 通过.append方法,直接添加一个数组
# .append方法生成一个新的数组,不改变之前的数组
输出为:
Out[55]:
0 0.549820
1 0.563056
2 0.195393
3 0.348328
4 0.382846
5 100.000000
dtype: float64
In [57]:
# 修改
s = pd.Series(np.random.rand(3), index = ['a','b','c'])
s
输出为:
Out[57]:
a 0.933075
b 0.861651
c 0.042825
dtype: float64
In [58]:
s['a'] = 100
s[['b','c']] = 200
s
# 通过索引直接修改,类似序列
输出为:
Out[58]:
a 100.0
b 200.0
c 200.0
dtype: float64
DataFrame是一个结构类似于二维数组或表格的对象,与Series类对象相比,DataFrame类对象也由索引和数据组成,但该对象有两组索引,分别是行索引和列索引。
DataFrame类对象的行索引位于最左侧一列,列索引位于最上面一行,且每个列索引对应着一列数据。DataFrame类对象其实可以视为若干个公用行索引的Series类对象的组合。如下所示:

"二维数组"Dataframe:是一个表格型的数据结构,包含一组有序的列,其列的值类型可以是数值、字符串、布尔值等。
Dataframe中的数据以一个或多个二维块存放,不是列表、字典或一维数组结构。
通过DataFrame()类的构造方法可以创建二维数据
pandas.DataFrame(data=None, index=None, columns=None,
dtype=None, copy=False)
data:表示传入的数据,可以是ndarray、dict、list或可迭代对象。
index:表示行索引,默认生成0~N的整数索引。
columns:表示列索引,默认生成0~N的整数索引。
dtype:表示数据的类型。
In [29]:
demo_arr = np.array([['a', 'b', 'c'],['d', 'e', 'f']])
df_obj = pd.DataFrame(demo_arr)
df_obj
输出为:
Out[29]:
0 1 2
0 a b c
1 d e f
In [31]:
df_obj = pd.DataFrame(demo_arr,index = ['row_01','row_02'],columns=['col_01', 'col_02', 'col_03'])
df_obj
输出为:
Out[31]:
col_01 col_02 col_03
row_01 a b c
row_02 d e f
可以测试下如何index的数量和行数不一致,会发生什么?
import pandas as pd
import numpy as np
# Dataframe 数据结构
# Dataframe是一个表格型的数据结构,“带有标签的二维数组”。
# Dataframe带有index(行标签)和columns(列标签)
data = {'name':['Jack','Tom','Mary'],
'age':[18,19,20],
'gender':['m','m','w']}
frame = pd.DataFrame(data)
print(frame)
print(type(frame))
print(frame.index,'\n该数据类型为:',type(frame.index))
print(frame.columns,'\n该数据类型为:',type(frame.columns))
print(frame.values,'\n该数据类型为:',type(frame.values))
# 查看数据,数据类型为dataframe
# .index查看行标签
# .columns查看列标签
# .values查看值,数据类型为ndarray
输出为:
name age gender
0 Jack 18 m
1 Tom 19 m
2 Mary 20 w
RangeIndex(start=0, stop=3, step=1)
该数据类型为:
Index([‘name’, ‘age’, ‘gender’], dtype=‘object’)
该数据类型为:
[[‘Jack’ 18 ‘m’]
[‘Tom’ 19 ‘m’]
[‘Mary’ 20 ‘w’]]
该数据类型为:
# Dataframe 创建方法二:由Series组成的字典
data1 = {'one':pd.Series(np.random.rand(2)),
'two':pd.Series(np.random.rand(3))} # 没有设置index的Series
data2 = {'one':pd.Series(np.random.rand(2), index = ['a','b']),
'two':pd.Series(np.random.rand(3),index = ['a','b','c'])} # 设置了index的Series
print(data1)
print(data2)
df1 = pd.DataFrame(data1)
df2 = pd.DataFrame(data2)
print(df1)
print(df2)
# 由Seris组成的字典 创建Dataframe,columns为字典key,index为Series的标签(如果Series没有指定标签,则是默认数字标签)
# Series可以长度不一样,生成的Dataframe会出现NaN值
输出为:
{‘one’: 0 0.089832
1 0.519983
dtype: float64, ‘two’: 0 0.449765
1 0.036004
2 0.708951
dtype: float64}
{‘one’: a 0.607911
b 0.320829
dtype: float64, ‘two’: a 0.413806
b 0.871358
c 0.529347
dtype: float64}
one two
0 0.089832 0.449765
1 0.519983 0.036004
2 NaN 0.708951
one two
a 0.607911 0.413806
b 0.320829 0.871358
c NaN 0.529347
# Dataframe 创建方法五:由字典组成的字典
data = {'Jack':{'math':90,'english':89,'art':78},
'Marry':{'math':82,'english':95,'art':92},
'Tom':{'math':78,'english':67}}
df1 = pd.DataFrame(data)
print(df1)
# 由字典组成的字典创建Dataframe,columns为字典的key,index为子字典的key
df2 = pd.DataFrame(data, columns = ['Jack','Tom','Bob'])
df3 = pd.DataFrame(data, index = ['a','b','c'])
print(df2)
print(df3)
# columns参数可以增加和减少现有列,如出现新的列,值为NaN
# index在这里和之前不同,并不能改变原有index,如果指向新的标签,值为NaN (非常重要!)
输出为:

Dataframe既有行索引也有列索引,可以被看做由Series组成的字典(共用一个索引)
选择列 / 选择行 / 切片 / 布尔判断
# 选择行与列
df = pd.DataFrame(np.random.rand(12).reshape(3,4)*100,
index = ['one','two','three'],
columns = ['a','b','c','d'])
print(df)
data1 = df['a']
data2 = df[['a','c']]
print(data1,type(data1))
print(data2,type(data2))
print('-----')
# 按照列名选择列,只选择一列输出Series,选择多列输出Dataframe
data3 = df.loc['one']
data4 = df.loc[['one','two']]
print(data2,type(data3))
print(data3,type(data4))
# 按照index选择行,只选择一行输出Series,选择多行输出Dataframe
输出为:
df[] - 选择列
一般用于选择列,也可以选择行
# df[] - 选择列
# 一般用于选择列,也可以选择行
df = pd.DataFrame(np.random.rand(12).reshape(3,4)*100,
index = ['one','two','three'],
columns = ['a','b','c','d'])
print(df)
print('-----')
data1 = df['a']
data2 = df[['b','c']] # 尝试输入 data2 = df[['b','c','e']]
print(data1)
print(data2)
# df[]默认选择列,[]中写列名(所以一般数据colunms都会单独制定,不会用默认数字列名,以免和index冲突)
# 单选列为Series,print结果为Series格式
# 多选列为Dataframe,print结果为Dataframe格式
data3 = df[:1]
#data3 = df[0]
#data3 = df['one']
print(data3,type(data3))
# df[]中为数字时,默认选择行,且只能进行切片的选择,不能单独选择(df[0])
# 输出结果为Dataframe,即便只选择一行
# df[]不能通过索引标签名来选择行(df['one'])
# 核心笔记:df[col]一般用于选择列,[]中写列名
输出为:

# df.loc[] - 按index选择行
df1 = pd.DataFrame(np.random.rand(16).reshape(4,4)*100,
index = ['one','two','three','four'],
columns = ['a','b','c','d'])
df2 = pd.DataFrame(np.random.rand(16).reshape(4,4)*100,
columns = ['a','b','c','d'])
print(df1)
print(df2)
print('-----')
data1 = df1.loc['one']
data2 = df2.loc[1]
print(data1)
print(data2)
print('单标签索引\n-----')
# 单个标签索引,返回Series
# data3 = df1.loc[['two','three','five']] #不再支持不存在的index,本例为'five'
data4 = df2.loc[[3,2,1]]
#print(data3)
print(data4)
print('多标签索引\n-----')
# 多个标签索引,如果标签不存在,则返回NaN
# 顺序可变
data5 = df1.loc['one':'three']
data6 = df2.loc[1:3]
print(data5)
print(data6)
print('切片索引')
# 可以做切片对象
# 末端包含
# 核心笔记:df.loc[label]主要针对index选择行,同时支持指定index,及默认数字index
输出为:

# df.iloc[] - 按照整数位置(从轴的0到length-1)选择行
# 类似list的索引,其顺序就是dataframe的整数位置,从0开始计
df = pd.DataFrame(np.random.rand(16).reshape(4,4)*100,
index = ['one','two','three','four'],
columns = ['a','b','c','d'])
print(df)
print('------')
print(df.iloc[0])
print(df.iloc[-1])
#print(df.iloc[4])
print('单位置索引\n-----')
# 单位置索引
# 和loc索引不同,不能索引超出数据行数的整数位置
print(df.iloc[[0,2]])
print(df.iloc[[3,2,1]])
print('多位置索引\n-----')
# 多位置索引
# 顺序可变
print(df.iloc[1:3])
print(df.iloc[::2])
print('切片索引')
# 切片索引
# 末端不包含
输出为:

# 布尔型索引
# 和Series原理相同
df = pd.DataFrame(np.random.rand(16).reshape(4,4)*100,
index = ['one','two','three','four'],
columns = ['a','b','c','d'])
print(df)
print('------')
b1 = df < 20
print(b1,type(b1))
print(df[b1]) # 也可以书写为 df[df < 20]
print('------')
# 不做索引则会对数据每个值进行判断
# 索引结果保留 所有数据:True返回原数据,False返回值为NaN
b2 = df['a'] > 50
print(b2,type(b2))
print(df[b2]) # 也可以书写为 df[df['a'] > 50]
print('------')
# 单列做判断
# 索引结果保留 单列判断为True的行数据,包括其他列
b3 = df[['a','b']] > 50
print(b3,type(b3))
print(df[b3]) # 也可以书写为 df[df[['a','b']] > 50]
print('------')
# 多列做判断
# 索引结果保留 所有数据:True返回原数据,False返回值为NaN
b4 = df.loc[['one','three']] < 50
print(b4,type(b4))
print(df[b4]) # 也可以书写为 df[df.loc[['one','three']] < 50]
print('------')
# 多行做判断
# 索引结果保留 所有数据:True返回原数据,False返回值为NaN
输出为:

数据查看、转置 / 添加、修改、删除值 / 对齐 / 排序
# 数据查看、转置
df = pd.DataFrame(np.random.rand(16).reshape(8,2)*100,
columns = ['a','b'])
print(df.head(2))
print(df.tail())
# .head()查看头部数据
# .tail()查看尾部数据
# 默认查看5条
print(df.T)
# .T 转置
输出为:

# 添加与修改
df = pd.DataFrame(np.random.rand(16).reshape(4,4)*100,
columns = ['a','b','c','d'])
print(df)
df['e'] = 10
df.loc[4] = 20
print(df)
# 新增列/行并赋值
df['e'] = 20
df[['a','c']] = 100
print(df)
# 索引后直接修改值
输出为:
删除:
# 删除 del / drop()
df = pd.DataFrame(np.random.rand(16).reshape(4,4)*100,
columns = ['a','b','c','d'])
print(df)
del df['a']
print(df)
print('-----')
# del语句 - 删除列
print(df.drop(0))
print(df.drop([1,2]))
print(df)
print('-----')
# drop()删除行,inplace=False → 删除后生成新的数据,不改变原数据
print(df.drop(['d'], axis = 1))
print(df)
# drop()删除列,需要加上axis = 1,inplace=False → 删除后生成新的数据,不改变原数据
输出为:

# 对齐
df1 = pd.DataFrame(np.random.randn(10, 4), columns=['A', 'B', 'C', 'D'])
df2 = pd.DataFrame(np.random.randn(7, 3), columns=['A', 'B', 'C'])
print(df1 + df2)
# DataFrame对象之间的数据自动按照列和索引(行标签)对齐
输出为:

DataFrame.sort_values(by, axis=0, ascending=True, inplace=False,
kind='quicksort', na_position='last', ignore_index=False)
by:表示根据指定的列索引名(axis=0或’index’)或行索引名(axis=1或’columns’)进行排序。
axis:表示轴编号(排序的方向),0代表按行排序,1代表按列排序。
ascending:表示是否以升序方式排序,默认为True。若设置为False,则表示按降序方式排序。
na_position:表示缺失值的显示位置,可以取值为’first’(首位)或’last’(末位)。
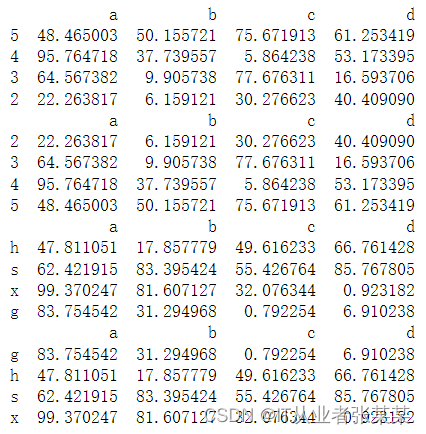
# 排序1 - 按值排序 .sort_values
# 同样适用于Series
df1 = pd.DataFrame(np.random.rand(16).reshape(4,4)*100,
columns = ['a','b','c','d'])
print(df1)
print(df1.sort_values(['a'], ascending = True)) # 升序
print(df1.sort_values(['a'], ascending = False)) # 降序
print('------')
# ascending参数:设置升序降序,默认升序
# 单列排序
df2 = pd.DataFrame({'a':[1,1,1,1,2,2,2,2],
'b':list(range(8)),
'c':list(range(8,0,-1))})
print(df2)
print(df2.sort_values(['a','c']))
# 多列排序,按列顺序排序
输出为:

sort_index(axis=0, level=None, ascending=True, inplace=False,
kind='quicksort', na_position='last', sort_remaining=True,
ignore_index: bool = False)
axis:表示轴编号(排序的方向),0代表按行排序,1代表按列排序。
level:表示按哪个索引层级排序,默认为None。
ascending:表示是否以升序方式排序,默认为True。若设置为False,则表示按降序方式排序。
kind:表示排序算法,可以取值为’quicksort’、 'mergesort’或’heapsort’,默认为‘quicksort’。
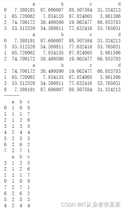
# 排序2 - 索引排序 .sort_index
df1 = pd.DataFrame(np.random.rand(16).reshape(4,4)*100,
index = [5,4,3,2],
columns = ['a','b','c','d'])
df2 = pd.DataFrame(np.random.rand(16).reshape(4,4)*100,
index = ['h','s','x','g'],
columns = ['a','b','c','d'])
print(df1)
print(df1.sort_index())
print(df2)
print(df2.sort_index())
# 按照index排序
# 默认 ascending=True, inplace=False
输出为:

Index类的常见子类,包括MultiIndex、Int64Index、DatetimeIndex等
掌握分层索引,可以通过多种方式熟练地创建分层索引。
在创建Series类对象或DataFrame类对象时,既可以使用自动生成的整数索引,也可以使用自定义的标签索引。无论哪种形式的索引,都是一个Index类的对象。
Index是一个基类,它派生了许多子类。
Int64Index、Float64Index、DatetimeIndex和PeriodIndex只能被用于创建单层索引(轴方向上只有一层结构的索引),MultiIndex类代表分层索引,即轴方向上有两层或两层以上结构的索引。
创建分层索引方法如下:

In [8]:
info = pd.DataFrame([('William', 'C'), ('Smith', 'Java'), ('Parker', 'Python'), ('Phill', np.nan)], index=[1, 2, 3, 4], columns=('name', 'Language'))
info
输出为:
Out[8]:
name Language
1 William C
2 Smith Java
3 Parker Python
4 Phill NaN
In [6]:
import pandas as pd
import numpy as np
info = pd.DataFrame({'Name': ['Parker', 'Terry', 'Smith', 'William'], 'Year': [2011, 2009, 2014, 2010], 'Leaves': [10, 15, 9, 4]})
info.set_index('Name')
输出为:
Out[6]:
Year Leaves
Name
Parker 2011 10
Terry 2009 15
Smith 2014 9
William 2010 4
In [11]:
info = pd.DataFrame([('William', 'C'), ('Smith', 'Java'), ('Parker', 'Python'), ('Phill', np.nan)], index=[1, 2, 3, 4], columns=('name', 'Language'))
info
输出为:
Out[11]:
name Language
1 William C
2 Smith Java
3 Parker Python
4 Phill NaN
In [13]: info.reset_index()
输出为:
Out[13]:
index name Language
0 1 William C
1 2 Smith Java
2 3 Parker Python
3 4 Phill NaN
重新索引是重新为原对象设定索引,以构建一个符合新索引的对象。pandas中使用reindex()方法实现重新索引功能,该方法会参照原有的Series类对象或DataFrame类对象的索引设置数据:若该索引存在于新对象中,则其对应的数据设为原数据,否则填充为缺失值NaN。
reindex(labels=None, index=None, columns=None, axis=None,
method=None, copy=True, level=None, fill_value=nan, limit=None,
tolerance=None)
index:表示新的行索引。
colums:表示新的列索引。
method:表示缺失值的填充方式,支持’None’(默认值)、‘fill或pad’、‘bfill或backfill’、'nearest’这几个值,其中’None’代表不填充缺失值;fill或pad’代表前向填充缺失值;'bfill或backfill’代表后向填充缺失值;'nearest’代表根据最近的值填充缺失值。
fill_vlaue:表示缺失值的替代值。
limit:表示前向或者后向填充的最大填充量。
In [18]:
index = ['Firefox', 'Chrome', 'Safari', 'IE10', 'Konqueror']
df = pd.DataFrame({'http_status': [200, 200, 404, 404, 301],'response_time': [0.04, 0.02, 0.07, 0.08, 1.0]},index=index)
df
输出为:
Out[18]:
http_status response_time
Firefox 200 0.04
Chrome 200 0.02
Safari 404 0.07
IE10 404 0.08
Konqueror 301 1.00
In [21:
new_index = ['Safari', 'Iceweasel', 'Comodo Dragon', 'IE10','Chrome']
new_df = df.reindex(new_index)
new_df
输出为:
Out[21]:
http_status response_time
Safari 404.0 0.07
Iceweasel NaN NaN
Comodo Dragon NaN NaN
IE10 404.0 0.08
Chrome 200.0 0.02
In [22]:
new_df = df.reindex(new_index, fill_value='missing')
new_df # 通过fill_value参数,使用指定值对缺失值进行填充
输出为:
Out[23]:
http_status response_time
Safari 404 0.07
Iceweasel missing missing
Comodo Dragon missing missing
IE10 404 0.08
Chrome 200 0.02
In [25]:
col_df = df.reindex(columns=['http_status', 'user_agent'])
col_df
输出为
Out[25]:
http_status user_agent
Firefox 200 NaN
Chrome 200 NaN
Safari 404 NaN
IE10 404 NaN
Konqueror 301 NaN
无论是创建Series类对象还是创建DataFrame类对象,根本目的在于对Series类对象或DataFrame类对象中的数据进行处理,但在处理数据之前,需要先访问Series类对象或DataFrame类对象中的数据。
pandas中可以使用[]、loc、iloc、at和iat这几种方式访问Series类对象和DataFrame类对象的数据。
变量[索引]
需要说明的是,若变量的值是一个Series类对象,则会根据索引获取该对象中对应的单个数据;若变量的值是一个DataFrame类对象,在使用“[索引]”访问数据时会将索引视为列索引,进而获取该列索引对应的一列数据。
变量.loc[索引]
变量.iloc[索引]
以上方式中,"loc[索引]"中的索引必须为自定义的标签索引,而"iloc[索引]"中的索引必须为自动生成的整数索引。需要说明的是,若变量是一个DataFrame类对象,它在使用"loc[索引]"或"iloc[索引]"访问数据时会将索引视为行索引,获取该索引对应的一行数据。
变量.at[行索引, 列索引]
变量.iat[行索引, 列索引]
以上方式中,"at[行索引, 列索引]"中的索引必须为自定义的标签索引,"iat[行索引, 列索引]"中的索引必须为自动生成的整数索引。
掌握分层索引的使用方式,可以通过[]、loc和iloc访问Series类对象和DataFrame类对象的数据
pandas中除了可以通过简单的单层索引访问数据外,还可以通过复杂的分层索引访问数据。与单层索引相比,分层索引只适用于[]、loc和iloc,且用法大致相同。
变量[第一层索引]
变量[第一层索引][第二层索引]
以上方式中,使用
变量[第一层索引]
可以访问第一层索引嵌套的第二层索引及其对应的数据;
使用
变量[第一层索引][第二层索引]
可以访问第二层索引对应的数据。
变量.loc[第一层索引] # 访问第一层索引对应的数据
变量.loc[第一层索引][第二层索引] # 访问第二层索引对应的数据
变量.iloc[整数索引] # 访问第二层索引对应的数据

import pandas as pd
import numpy as np
df = pd.DataFrame({'col_A':[2,34,25,4],
'col_B':[0,3,45,9],
'col_C':[7,5,5,3]},
index=['A','B','C','D'])
df
输出为:
col_A col_B col_C
A 2 0 7
B 34 3 5
C 25 45 5
D 4 9 3
df.idxmax() # 获取每列最大值对应的行索引
输出为:
col_A B
col_B C
col_C A
dtype: object
如果希望一次性描述Series类对象或DataFrame类对象的多个统计指标,如平均值、最大值、最小值等,那么可以使用describe()方法实现,而不用逐个调用统计计算函数。
describe(percentiles=None, include=None, exclude=None)
percentiles:表示结果包含的百分数,位于[0,1]之间。若不设置该参数,则默认为[0.25,0.5,0.75],即展示25%、50%、75%分位数。
include:表示结果中包含数据类型的白名单,默认为None。
exclude:表示结果中忽略数据类型的黑名单,默认为None。
df_obj = pd.DataFrame({'object':['a', 'b', 'c', 'c'],
'number':[-1, 7, 50, 36],
'category':pd.Categorical(['apple', 'banana', 'orange', 'peach'])})
print(df_obj)
# df_obj.describe().T
# df_obj.describe(include=['O']).T
df_obj.describe(include='all').T
输出为:

pandas的DataFrame类对象和Series类对象中提供了一个plot()方法,使用该方法可以快速地绘制一些常见的图表,包括折线图、柱形图、条形图、直方图、箱形图、饼图等。
plot(x=None, y=None, kind='line', ax=None, subplots=False, sharex=None, sharey=False,
layout=None,figsize=None, use_index=True, title=None, grid=None, legend=True,
style=None, logx=False, logy=False, loglog=False, xlabel=None, ylabel=None, xlim=None,
ylim=None, rot=None,xerr=None,secondary_y=False, sort_columns=False, **kwargs)
kind:表示绘图的类型。
figsize:表示图表尺寸的大小,接收形式如(宽度,高度)的元组。
title:表示图表的标题。
xlabel:表示x轴的标签。
ylabel:表示y轴的标签。
rot:表示轴标签旋转的角度。
import pandas as pd
df = pd.DataFrame({'商品A':[2,34,25,4],
'商品B':[1,3,45,9],
'商品C':[7,5,5,3]},
index=['第1季度','第2季度','第3季度','第4季度'])
df
输出为:

# 导入matplotlib库
import matplotlib.pyplot as plt
# 设置显示中文
plt.rcParams['font.sans-serif'] = ['SimHei']
df.plot(kind='bar', xlabel='季度', ylabel='销售额(万元)', rot=0)
plt.show()
输出为:
