
这里的误差是符合卡方误差准则的。
再对
使用VIO----相关公式解释说明_AutoGalaxy的博客-CSDN博客 常用的一阶泰勒展开

其中的J如下所示

其中的
如下所示

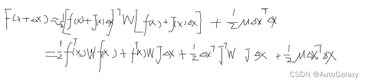
把一阶泰勒展开代入F(x)得到:


上面最下面那个式子就叫做正则方程。
对于LM算法,在上面的基础之上还要添加阻尼因子:如下所示

再进行求导:

Note:
1. 阻尼因子非常大,接近最速下降法。
2. 阻尼因子非常小,接近高斯牛顿法。
阻尼因子的选取,有一些专用的策略:
1 . 策略一 (经验)
2. 策略二. (定量分析)
由此衍生出来:
其中
首先要明白:
由
来近似
那么
就是由
来近似
当
更新成
时,损失函数实际变化的数值是
而L函数是用来近似F的函数
因此:
我们以为的下降的数值则是
因此
因此比例因子的物理意义则是:实际损失函数变化的值 与 我们以为下降的数值 之比
为什么比例因子较小的时候,需要增大阻尼呢?
首先,我们的目标肯定是希望,F(x)下降得越多越好,因此分母要尽可能大,分子要尽可能小。
公共代码解读:
Problem类:
1. 添加顶点代码
typedef std::map<unsigned long, std::shared_ptr> HashVertex; HashVertex verticies_; bool Problem::AddVertex(std::shared_ptrvertex) { if (verticies_.find(vertex->Id()) != verticies_.end()) { // LOG(WARNING) << "Vertex " << vertex->Id() << " has been added before"; return false; } else { verticies_.insert(pair<unsigned long, shared_ptr>(vertex->Id(), vertex)); } return true; }首先 verticies_是一个map容器类,if语句用来判断,此顶点是否已经被添加,如果已经添加,则不再添加了。找到元素返回对应元素的迭代器,否则返回最后一个元素的迭代器。
否则,就插入这个顶点,以及对应的id号,要注意顶点插入的格式要借助pair类型的模板。