机器学习中的各种损失函数:
二分类交叉熵损失函数Binary Cross Entropy Loss
每个训练示例的平方误差损失,也称为“L2损失”,是实际值与预测值之差的平方。
相应的代价函数是,这些平方误差的均值(MSE)

MSE损失函数。它是一个正二次函数(形式为ax^2 + bx + c,其中a > 0)二次函数只有全局最小值,因此,始终保证梯度下降将收敛(如果它完全收敛)到全局最小值。

进行梯度下降时,MSE的偏导数为

每个训练示例的绝对误差是预测值和实际值之间的距离,与符号无关。绝对误差也称为L1损失:

基于L1的loss代价函数称为绝对误差的平均值(MAE)。

MAE损失函数是绝对值函数,只有全局最小值,因此,始终保证梯度下降将收敛(如果它完全收敛)到全局最小值。

进行梯度下降时,MAE的偏导数为

SmoothL1Loss为平方误差的修改版,为分段函数,对离散点不敏感,具体的公式如下:

L1、L2和SmoothL1损失函数可视化结果如图

Hinge损失主要与类标签为-1和1的SVM分类器一起使用。
Hinge Loss不仅会惩罚错误的预测,还会惩罚不自信的正确预测。
Hinge Loss简化了SVM的数学运算,同时最大化了损失(与Log-Loss相比)。当我们想要做出实时决策而不过于关注准确性时使用它。
输入和输出对(x, y)的Hinge loss为:

Hinge loss的可视化结果为
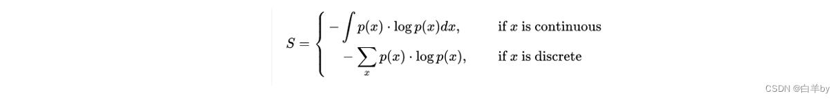
给出了离散版、连续版两个函数,主要区别是离散用求和,连续用积分。

负号用于使总量为正。概率分布的熵值越大,表示分布的不确定性越大。相反,熵越小表示模型预测的越确定。
二分类化简之后的结果如下:

多分类交叉熵损失函数Categorical Cross Entropy Loss:
