Date: 2022.8.20
为了应对不同的视频内容,往往有多种候选的编码方式,编码器的一个主要工作就是以某种策略选择最优的编码 ,以实现最优的编码性能。基于率失真理论的编码参数优化方法被称为率失真优化,率失真优化技术是保证编码器编码效率的主要手段。
RDO是一种视频编码技术,用于在尽可能小的编码码率下,减少图像失真度,使得编码效率达到最高。RDO的目的是:在一定的比特率下,如何使重建图像的失真最小;或者允许一定失真的条件下,用最小的比特数来编码图像。
率失真优化RDO不属于H.265视频编码标准范畴,但是视频编码中非常重要的技术,用于确定除了量化参数以外的其他编码参数。
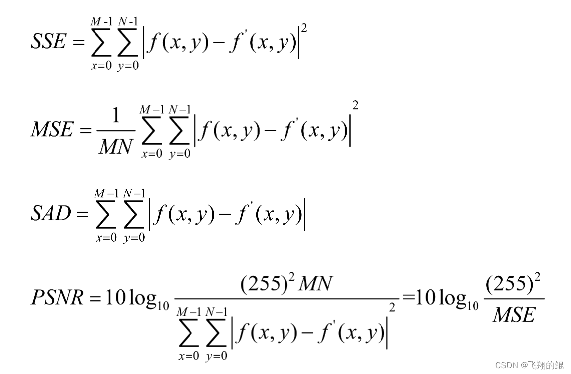
在实际应用中常用平方误差和(SSE)、均方误差(MSE)、绝对误差和(SAD)以及峰值信噪比(PSNR)等客观评价方法来作为失真测度。

可以描述成下面的限定性优