Given a binary tree root and an integer target, delete all the leaf nodes with value target.
Note that once you delete a leaf node with value target, if its parent node becomes a leaf node and has the value target, it should also be deleted (you need to continue doing that until you cannot).
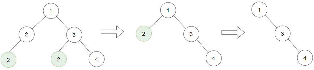
Example 1:

Input: root = [1,2,3,2,null,2,4], target = 2 Output: [1,null,3,null,4] Explanation: Leaf nodes in green with value (target = 2) are removed (Picture in left). After removing, new nodes become leaf nodes with value (target = 2) (Picture in center).
Example 2:

Input: root = [1,3,3,3,2], target = 3 Output: [1,3,null,null,2]
Example 3:

Input: root = [1,2,null,2,null,2], target = 2 Output: [1] Explanation: Leaf nodes in green with value (target = 2) are removed at each step.
Constraints:
[1, 3000].1 <= Node.val, target <= 1000题目:给定一个二叉树,将与给定target值相等的叶结点删除。注意,删除之后其父结点可能变为叶结点。
思路:一看就是递归,从下网上删就完了。代码:
- /**
- * Definition for a binary tree node.
- * struct TreeNode {
- * int val;
- * TreeNode *left;
- * TreeNode *right;
- * TreeNode() : val(0), left(nullptr), right(nullptr) {}
- * TreeNode(int x) : val(x), left(nullptr), right(nullptr) {}
- * TreeNode(int x, TreeNode *left, TreeNode *right) : val(x), left(left), right(right) {}
- * };
- */
- class Solution {
- public:
- TreeNode* removeLeafNodes(TreeNode* root, int target) {
- if(!root) return NULL;
- root->left = removeLeafNodes(root->left, target);
- root->right = removeLeafNodes(root->right, target);
- if(!root->left && !root->right && root->val == target)
- return NULL;
- return root;
- }
- };