爽
难度:mid
给定一个二叉树的根 root 和两个整数 val 和 depth ,在给定的深度 depth 处添加一个值为 val 的节点行。
注意,根节点 root 位于深度 1 。
加法规则如下:
- 给定整数 depth,对于深度为 depth - 1 的每个非空树节点 cur ,创建两个值为 val 的树节点作为 cur 的左子树根和右子树根。
- cur 原来的左子树应该是新的左子树根的左子树。
- cur 原来的右子树应该是新的右子树根的右子树。
- 如果 depth == 1 意味着 depth - 1 根本没有深度,那么创建一个树节点,值 val 作为整个原始树的新根,而原始树就是新根的左子树。
示例1:

输入: root = [4,2,6,3,1,5], val = 1, depth = 2
输出: [4,1,1,2,null,null,6,3,1,5]
示例2:

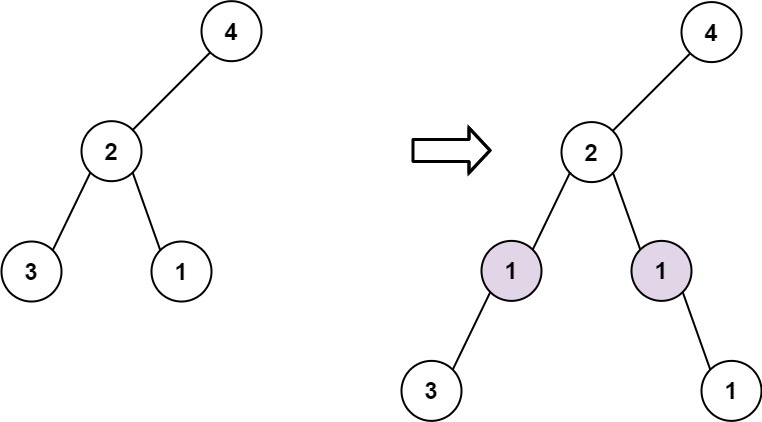
输入: root = [4,2,null,3,1], val = 1, depth = 3
输出: [4,2,null,1,1,3,null,null,1]
提示:
DFS,递归往下层搜索,但是优雅版
/**
* Definition for a binary tree node.
* public class TreeNode {
* int val;
* TreeNode left;
* TreeNode right;
* TreeNode() {}
* TreeNode(int val) { this.val = val; }
* TreeNode(int val, TreeNode left, TreeNode right) {
* this.val = val;
* this.left = left;
* this.right = right;
* }
* }
*/
class Solution {
public TreeNode addOneRow(TreeNode root, int val, int depth) {
if (depth == 0 || depth == 1) {
TreeNode t = new TreeNode(val);
if (depth == 1) t.left = root;
else t.right = root;
return t;
}
if (root != null && depth > 1) {
root.left = addOneRow(root.left, val, depth > 2 ? depth - 1 : 1);
root.right = addOneRow(root.right, val, depth > 2 ? depth - 1 : 0);
}
return root;
}
}
DFS
官方解法