今天我们要说的红黑树就是就是一棵非严格均衡的二叉树,均衡二叉树又是在二叉搜索树的基础上增加了自动维持平衡的性质,插入、搜索、删除的效率都比较高。红黑树也是实现 TreeMap 存储结构的基石。
红黑树就是非严格均衡的二叉搜索树。
红黑树具体有哪些规则特点呢?具体如下:
节点分为红色或者黑色。
根节点必为黑色。
叶子节点都为黑色,且为 null。
连接红色节点的两个子节点都为黑色(红黑树不会出现相邻的红色节点)。
从任意节点出发,到其每个叶子节点的路径中包含相同数量的黑色节点。
新加入到红黑树的节点为红色节点。
规则看着好像挺多,没错,因为红黑树也是均衡二叉树,需要具备自动维持平衡的性质,上面的 6 条就是红黑树给出的自动维持平衡所需要具备的规则。
我们看一看一个典型的红黑树到底是什么样儿?

首先解读一下规则,除了字面上看到的意思,还隐藏了哪些意思呢?
①从根节点到叶子节点的最长路径不大于最短路径的 2 倍
怎么样的路径算最短路径?从规则 5 中,我们知道从根节点到每个叶子节点的黑色节点数量是一样的,那么纯由黑色节点组成的路径就是最短路径。
什么样的路径算是最长路径?根据规则 4 和规则 3,若有红色节点,则必然有一个连接的黑色节点,当红色节点和黑色节点数量相同时,就是最长路径,也就是黑色节点(或红色节点)*2。
②为什么说新加入到红黑树中的节点为红色节点
从规则 4 中知道,当前红黑树中从根节点到每个叶子节点的黑色节点数量是一样的,此时假如新的是黑色节点的话,必然破坏规则。
但加入红色节点却不一定,除非其父节点就是红色节点,因此加入红色节点,破坏规则的可能性小一些,下面我们也会举例来说明。
什么情况下,红黑树的结构会被破坏呢?破坏后又怎么维持平衡,维持平衡主要通过两种方式【变色】和【旋转】,【旋转】又分【左旋】和【右旋】,两种方式可相互结合。
下面我们从插入和删除两种场景来举例说明。
当我们插入值为 66 的节点时,红黑树变成了这样:

很明显,这个时候结构依然遵循着上述 6 大规则,无需启动自动平衡机制调整节点平衡状态。
如果再向里面插入值为 51 的节点,这个时候红黑树变成了这样:

很明显现在的结构不遵循规则 4 了,这个时候就需要启动自动平衡机制调整节点平衡状态。
我们可以通过变色的方式,使结构满足红黑树的规则:
首先解决结构不遵循规则 4 这一点(红色节点相连,节点 49-51),需将节点 49 改为黑色。
此时我们发现又违反了规则 5(56-49-51-XX 路径中黑色节点超过了其他路径),那么我们将节点 45 改为红色节点。
哈哈,妹的,又违反了规则 4(红色节点相连,节点 56-45-43),那么我们将节点 56 和节点 43 改为黑色节点。
但是我们发现此时又违反了规则 5(60-56-XX 路径的黑色节点比 60-68-XX 的黑色节点多),因此我们需要调整节点 68 为黑色。
完成!
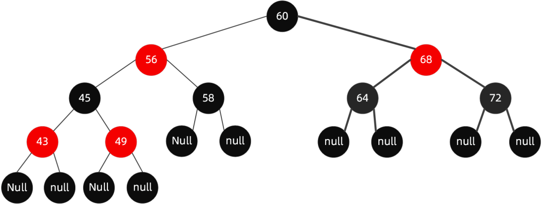
最终调整完成后的树为:

但并不是什么时候都那么幸运,可以直接通过变色就达成目的,大多数时候还需要通过旋转来解决。
如在下面这棵树的基础上,加入节点 65:

插入节点 65 后进行以下步骤:

这个时候,你会发现对于节点 64 无论是红色节点还是黑色节点,都会违反规则 5,路径中的黑色节点始终无法达成一致,这个时候仅通过【变色】已经无法达成目的。
我们需要通过旋转操作,当然【旋转】操作一般还需要搭配【变色】操作。旋转包括【左旋】和【右旋】。
左旋:逆时针旋转两个节点,让一个节点被其右子节点取代,而该节点成为右子节点的左子节点。
左旋操作步骤如下:首先断开节点 PL 与右子节点 G 的关系,同时将其右子节点的引用指向节点 C2;然后断开节点 G 与左子节点 C2 的关系,同时将 G 的左子节点的应用指向节点 PL。

右旋:顺时针旋转两个节点,让一个节点被其左子节点取代,而该节点成为左子节点的右子节点。
右旋操作步骤如下:首先断开节点 G 与左子节点 PL 的关系,同时将其左子节点的引用指向节点 C2;然后断开节点 PL 与右子节点 C2 的关系,同时将 PL 的右子节点的应用指向节点 G。

无法通过变色而进行旋转的场景分为以下四种:
这种情况下,父节点和插入的节点都是左节点,如下图(旋转原始图1)这种情况下,我们要插入节点 65。
规则如下:以祖父节点【右旋】,搭配【变色】。

按照规则,步骤如下:

这种情况下,父节点是左节点,插入的节点是右节点,在旋转原始图 1 中,我们要插入节点 67。
规则如下:先父节点【左旋】,然后祖父节点【右旋】,搭配【变色】。
按照规则,步骤如下:

这种情况下,父节点是右节点,插入的节点是左节点,如下图(旋转原始图 2)这种情况,我们要插入节点 68。
规则如下:先父节点【右旋】,然后祖父节点【左旋】,搭配【变色】。

按照规则,步骤如下:

这种情况下,父节点和插入的节点都是右节点,在旋转原始图 2 中,我们要插入节点 70。
规则如下:以祖父节点【左旋】,搭配【变色】。
按照规则,步骤如下:



作者:梁洪 来源:51CTO技术栈