晶振是石英晶体谐振器(quartz crystal oscillator)的简称,也称有源晶振,它能够产生中央处理器(CPU)执行指令所必须的时钟频率信号,CPU一切指令的执行都是建立在这个基础上的,时钟信号频率越高,通常CPU的运行速度也就越快。
只要是包含CPU的电子产品,都至少包含一个时钟源,就算外面看不到实际的振荡电路,也是在芯片内部被集成,它被称为电路系统的心脏。
如下图所示的有源晶振,在外部施加适当的电压后,就可以输出预先设置好的周期性时钟信号,
上述周期性输出信号的标称频率(Normal Frequency),就是晶体元件规格书中所指定的频率,也是工程师在电路设计和元件选购时首要关注的参数。晶振常用标称频率在1~200MHz之间,比如32768Hz、8MHz、12MHz、24MHz、125MHz等,更高的输出频率也常用PLL(锁相环)将低频进行倍频至1GHz以上。
频率误差(Frequency Tolerance)或频率稳定度(Frequency Stability),用单位ppm来表示,即百万分之一(parts per million)(1/106),是相对标称频率的变化量,此值越小表示精度越高。如24MHz晶振偏差为±20ppm,表示它的频率偏差为24MHz×20Hz=±480Hz。
温度频差(Frequency Stability vs Temp)表示在特定温度范围内,工作频率相对于基准温度时工作频率的允许偏离,它的单位也是ppm。
分频:一个晶振只有一个固定频率,但可以通过分频、倍频扩展出许多频率,原信号通过N分频,频率变为原来的1/N,周期变为原来的N倍。
倍频:频率变为N倍,周期变为1/N倍。倍频是利用锁相环(PLL)的原理进行频率的增倍。如STM32单片机外接8M晶振,但是主频却能跑72M。
.负载电容CL:它是电路中跨接晶体两端的总的有效电容(不是晶振外接的匹配电容),主要影响负载谐振频率和等效负载谐振电阻,与晶体一起决定振荡器电路的工作频率,通过调整负载电容,就可以将振荡器的工作频率微调到标称值。负载电容是无源晶振非常重要的参数,因为无源晶体属于被动元器件,无源晶振自身并不能工作,需要外部元器件协助工作。
压电谐振
如果在石英晶片上加上交变电压,晶体就会产生机械振动,机械形变振动又会产生交变电场,尽管这种交变电场的电压极其微弱,但其振动频率是十分稳定的。当外加交变电压的频率与晶片的固有频率(与切割后的晶片尺寸有关,晶体愈薄,切割难度越大,谐振频率越高)相等时,机械振动的幅度将急剧增加,这种现象称为“压电谐振”。
无源晶振
将石英晶片按一定的形状进行切割后,再用两个电极板夹住就形成了无源晶振,其符号图如下所示:

下图是一个在谐振频率附近有与晶体谐振器具有相同阻抗特性的简化电路。

其中:C1为动态等效串联电容;
L1为动态等效串联电感;
R1为动态等效串联电阻,它是晶体内部摩擦性当量
C0为静态电容,相当于两个电极板之间的电容量;
这个等效电路有如下图所示的频响特性曲线:

当R1、L1、C1串联支路发生谐振的频率即串联谐振频率(Fr),此时容抗与感抗相互抵消,此时电路就似一个纯电阻电路,感抗等于容抗(XL=XC)。串联谐振的频率为:

等效串联电阻R1决定晶体元件的品质因数,又称机械Q值,它是反映谐振器性能好坏的重要参数 。它与L1和C1有如下关系:

R1越大,Q值越低,会导致频率不稳定,反之,Q值越高,频率越稳定,晶体的特点在于它具有很高的品质因素。
等效电路还有一个反谐振频率fL(并联谐振频率),此时串联支路呈现为感抗,相当于一个电感,如下图所示:

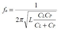
当晶振工作在并联谐振模式时,晶振表现为感性。该模式的工作频率由晶振的负载决定。对于并联谐振状态的晶振,晶振制造商应该指定负载电容CL。在这种模式下,振动频率由下式给出

通常厂家的晶振元件数据手册给出的标称频率不是Fr或FL,实际的晶体元件应用于振荡电路中时,它一般还会与负载电容相联接,共同作用使晶体工作于Fr和FL之间的某个频率,这个频率由振荡电路的相位和有效电抗确定,通过改变电路的电抗条件,就可以在有限的范围内调节晶体频率。抗与感抗相互抵消(XC=XL),即该支路相当于只有等效串联电阻R。其串联谐振等效电路如下:
当负载电容与晶体串联时,如下图所示:

串接的小电容CL可以使石英晶体的谐振频率在一个小范围内调整,此时新的负载谐振频率如下式所示:

其中,C1远远小于C0+CL
当负载电容与晶体并联时,如下图所示:


同样,并联的负载CL也可以小范围调整谐振频率,相应的负载谐振频率如下式:

从实际效果上看,对于给定的负载电容值,F’r与F’L两个频率是相同的,这个频率是晶体的绝大多数应用时所表现的实际频率,也是制造厂商为满足用户对产品符合标称频率要求的测试指标参数,也就是本文最开头介绍的晶振标称频率。
当晶体元件与外部电容相连接时(并联或串联),在负载谐振频率时的电阻即为负载谐振电阻RL,它总是大于晶体元件本身的谐振电阻。
晶体本身是不能产生振荡信号的,必须借助于相应的外部振荡器电路才能实现,下图是一个串联型振荡器电路,其中,晶体管Q1、Q2构成的两级放大器,石英晶体X1与电容CL构成LC电路。在这个电路中,石英晶体相当于一个电感,CL为可变电容器,调节其容量即可使电路进入谐振状态,输出波形为方波。

并联型振荡器电路如下图所示,这种形式读者可能见得更多些,一般单片机都会有这样的电路。晶振的两个引脚与芯片(如单片机)内部的反相器相连接,再结合外部的匹配电容CL1、CL2、R1、R2,组成一个皮尔斯振荡器(Pierce oscillator)

上图中,U1为增益很大的反相放大器,CL1、CL2为匹配电容,是电容三点式电路的分压电容,接地点就是分压点。以接地点即分压点为参考点,输入和输出是反相的,但从并联谐振回路即石英晶体两端来看,形成一个正反馈以保证电路持续振荡,它们会稍微影响振荡频率,主要用与微调频率和波形,并影响幅度。 X1是晶体,相当于三点式里面的电感
R1是反馈电阻(一般≥1MΩ),它使反相器在振荡初始时处于线性工作区,R2与匹配电容组成网络,提供180度相移,同时起到限制振荡幅度,防止反向器输出对晶振过驱动将其损坏。