# sample data
def create_toy_data(func, sample_size, std):
x = np.linspace(0, 1, sample_size)
t = func(x) + np.random.normal(scale=std, size=x.shape)
return x, t
def func(x):
return np.sin(2 * np.pi * x)
x_train, y_train = create_toy_data(func, 10, 0.25)
x_test = np.linspace(0, 1, 100)
y_test = func(x_test)
plt.scatter(x_train, y_train, facecolor="none", edgecolor="b", s=50, label="training data")
plt.plot(x_test, y_test, c="g", label="$\sin(2\pi x)$")
plt.legend()
plt.show()

多项式拟合:
y
(
x
,
w
)
=
w
0
+
w
1
x
+
w
2
x
2
+
.
.
.
+
w
M
x
M
=
∑
j
=
0
M
w
j
x
j
(1.1)
y(x,w)=w_0+w_1x+w_2x^2+...+w_Mx^M=\sum_{j=0}^M {w_jx^j} \tag{1.1}
y(x,w)=w0+w1x+w2x2+...+wMxM=j=0∑Mwjxj(1.1)
误差函数
E
(
w
)
=
1
2
∑
n
=
1
N
{
y
(
x
n
,
w
)
−
t
n
}
2
(1.2)
E(\boldsymbol{w})=\frac{1}{2} \sum_{n=1}^{N}\left\{y\left(x_{n}, \boldsymbol{w}\right)-t_{n}\right\}^{2} \tag{1.2}
E(w)=21n=1∑N{y(xn,w)−tn}2(1.2)
目标是让误差函数越来越小。有唯一解
w
∗
w^*
w∗,是的
E
(
w
)
E(w)
E(w)取得最小值
E
(
w
∗
)
E(w^*)
E(w∗)。
# 几个多项式拟合
for i, degree in enumerate([0, 1, 3, 9]):
plt.subplot(2, 2, i + 1)
feature = PolynomialFeature(degree)
X_train = feature.transform(x_train)
X_test = feature.transform(x_test)
model = LinearRegression()
model.fit(X_train, y_train)
y = model.predict(X_test)
plt.scatter(x_train, y_train, facecolor="none", edgecolor="b", s=50, label="training data")
plt.plot(x_test, y_test, c="g", label="$\sin(2\pi x)$")
plt.plot(x_test, y, c="r", label="fitting")
plt.ylim(-1.5, 1.5)
plt.annotate("M={}".format(degree), xy=(0.8, 1))
plt.legend(bbox_to_anchor=(1.05, 0.64), loc=0, borderaxespad=0.)
plt.show()

m太大发生过拟合,泛化性能下降。需要一个衡量模型泛化能力的标准。
为了比较不同大小的数据集和保证和t有相同单位。引入均方根误差:
E
R
M
S
=
2
E
(
w
∗
)
/
N
(1.3)
E_{R M S}=\sqrt{2 E\left(\boldsymbol{w}^{*}\right) / N} \tag{1.3}
ERMS=2E(w∗)/N(1.3)
# 均方根对比
def rmse(a, b):
return np.sqrt(np.mean(np.square(a - b)))
training_errors = []
test_errors = []
for i in range(10):
feature = PolynomialFeature(i)
X_train = feature.transform(x_train)
X_test = feature.transform(x_test)
model = LinearRegression()
model.fit(X_train, y_train)
y = model.predict(X_test)
training_errors.append(rmse(model.predict(X_train), y_train))
test_errors.append(rmse(model.predict(X_test), y_test + np.random.normal(scale=0.25, size=len(y_test))))
plt.plot(training_errors, 'o-', mfc="none", mec="b", ms=10, c="b", label="Training")
plt.plot(test_errors, 'o-', mfc="none", mec="r", ms=10, c="r", label="Test")
plt.legend()
plt.xlabel("degree")
plt.ylabel("RMSE")
plt.show()

解决过拟合的方式:

# M=9但用了正则化
feature = PolynomialFeature(9)
X_train = feature.transform(x_train)
X_test = feature.transform(x_test)
model = RidgeRegression(alpha=1e-3)
model.fit(X_train, y_train)
y = model.predict(X_test)
y = model.predict(X_test)
plt.scatter(x_train, y_train, facecolor="none", edgecolor="b", s=50, label="training data")
plt.plot(x_test, y_test, c="g", label="$\sin(2\pi x)$")
plt.plot(x_test, y, c="r", label="fitting")
plt.ylim(-1.5, 1.5)
plt.legend()
plt.annotate("M=9", xy=(-0.15, 1))
plt.show()


这里有两个随机变量,X和Y.(离散变量,相互独立)图中简化为{ x 1 , x 2 , x 3 , x 4 , x 5 x_1,x_2,x_3,x_4,x_5 x1,x2,x3,x4,x5}和{ y 1 , y 2 , y 3 y_1,y_2,y_3 y1,y2,y3}。N次取样,每次得到一组的x,y。 X = x i , Y = y i X=x_{i}, Y=y_{i} X=xi,Y=yi的取到次数是 n i j n_{ij} nij。于是我们有
p ( X = x i , Y = y i ) = n i j N (1.5) p\left(X=x_{i}, Y=y_{i}\right)=\frac{n_{i j}}{N} \tag{1.5} p(X=xi,Y=yi)=Nnij(1.5)
p
(
X
=
x
i
)
=
c
i
N
(1.6)
p\left(X=x_{i}\right)=\frac{c_{i}}{N} \tag{1.6}
p(X=xi)=Nci(1.6)
我们可以得到:
p
(
X
=
x
i
)
=
∑
j
=
1
L
p
(
X
=
x
i
,
Y
=
y
i
)
(1.7)
p\left(X=x_{i}\right)=\sum_{j=1}^{L}p\left(X=x_{i}, Y=y_{i}\right) \tag{1.7}
p(X=xi)=j=1∑Lp(X=xi,Y=yi)(1.7)
这就是加法规则。
p
(
X
=
x
i
)
p\left(X=x_{i}\right)
p(X=xi)被叫做边缘概率:因为它通过把其他变量(本例中的Y )边缘化或者加和得到。
条件概率:
p
(
Y
=
y
j
∣
X
=
x
i
)
=
n
i
j
c
i
(1.8)
p\left(Y=y_{j} | X=x_{i}\right)=\frac{n_{i j}}{c_i} \tag{1.8}
p(Y=yj∣X=xi)=cinij(1.8)
p
(
X
=
x
i
,
Y
=
y
j
)
=
n
i
j
N
=
n
i
j
c
i
⋅
c
i
N
=
p
(
Y
=
y
j
∣
X
=
x
i
)
p
(
X
=
x
i
)
(1.9)
p\left(X=x_{i}, Y=y_{j}\right)=\frac{n_{i j}}{N}=\frac{n_{i j}}{c_{i}} \cdot \frac{c_{i}}{N}=p\left(Y=y_{j} | X=x_{i}\right) p\left(X=x_{i}\right) \tag{1.9}
p(X=xi,Y=yj)=Nnij=cinij⋅Nci=p(Y=yj∣X=xi)p(X=xi)(1.9)
这就是乘积规则。
sum rule p ( X ) = ∑ Y p ( X , Y ) (1.10) p(X)=\sum_{Y}p(X,Y) \tag{1.10} p(X)=Y∑p(X,Y)(1.10)
product rule
p
(
X
,
Y
)
=
P
(
Y
∣
X
)
p
(
X
)
(1.11)
p(X,Y)=P(Y|X)p(X) \tag{1.11}
p(X,Y)=P(Y∣X)p(X)(1.11)
根据这两个式子得到本书最重要的定义:贝叶斯定理。
P
(
Y
∣
X
)
=
P
(
X
∣
Y
)
P
(
Y
)
P
(
X
)
(1.12)
P(Y | X)=\frac{P(X | Y) P(Y)}{P(X)} \tag{1.12}
P(Y∣X)=P(X)P(X∣Y)P(Y)(1.12)
分子中的 P ( x ) = ∑ Y P ( X ∣ Y ) P ( Y ) P(x)=\sum_{Y}P\left(X | Y\right)P\left(Y\right) P(x)=∑YP(X∣Y)P(Y)其实这就是加法规则。也确保了概率在归一化之后的值为1.


积分就是连续情况下的相加
如果一个实值变量 x x x落在区间 ( x , x + δ x ) (x, x + \delta x) (x,x+δx)的概率由 p ( x ) δ x p(x)\delta x p(x)δx给出,其中$ \delta x \to 0 , 那 么 我 们 就 把 ,那么我们就把 ,那么我们就把 p(x) 称 作 称作 称作 x $的概率密度(probability density)。
连续概率分布:
p
(
x
∈
(
a
,
b
)
)
=
∫
a
b
p
(
x
)
d
x
(1.24)
p(x \in(a, b))=\int_{a}^{b} p(x) \mathrm{d}x \tag{1.24}
p(x∈(a,b))=∫abp(x)dx(1.24)
满足:
p
(
x
)
≥
0
(1.25)
p(x)\geq0 \tag{1.25}
p(x)≥0(1.25)
∫
−
∞
∞
p
(
x
)
d
x
=
1
(1.26)
\int_{-\infty}^{\infty} p(x) \mathrm{d}x=1 \tag{1.26}
∫−∞∞p(x)dx=1(1.26)
可以用过Jacobian因子变化:例如: x = g ( y ) x=g(y) x=g(y)
p
y
(
y
)
=
p
x
(
x
)
∣
d
x
d
y
∣
=
p
x
(
g
(
y
)
)
∣
g
′
(
y
)
∣
(1.27)
p_{y}(y)=p_{x}(x)\left|\frac{\mathrm{d} x}{\mathrm{d} y}\right|=p_{x}(g(y))\left|g^{\prime}(y)\right| \tag{1.27}
py(y)=px(x)∣∣∣∣dydx∣∣∣∣=px(g(y))∣g′(y)∣(1.27)
概率密度最大值的概念取决于变量的选择

定义累计密度分布:
P
(
z
)
=
∫
−
∞
z
p
(
x
)
d
x
(1.28)
P(z) = \int_{-\infty}^z p(x)dx \tag{1.28}
P(z)=∫−∞zp(x)dx(1.28)
满足
P
′
(
x
)
=
p
(
x
)
P^\prime(x) = p(x)
P′(x)=p(x)
多变量的时候x是向量,定义是相似的。
加法法则和乘法法则
p
(
x
)
=
∫
p
(
x
,
y
)
d
y
(1.31)
p(x) = \int p(x, y) dy \tag{1.31}
p(x)=∫p(x,y)dy(1.31)
p
(
x
,
y
)
=
p
(
y
∣
x
)
p
(
x
)
(1.32)
p(x, y)= p(y|x)p(x) \tag{1.32}
p(x,y)=p(y∣x)p(x)(1.32)
离散函数的期望:
E
[
f
]
=
∑
x
p
(
x
)
f
(
x
)
(1.33)
\mathbb{E}[f] = \sum\limits_xp(x)f(x) \tag{1.33}
E[f]=x∑p(x)f(x)(1.33)
连续函数的期望:
E
[
f
]
=
∫
p
(
x
)
f
(
x
)
d
x
(1.34)
\mathbb{E}[f] = \int p(x)f(x)dx \tag{1.34}
E[f]=∫p(x)f(x)dx(1.34)
当期望不好直接计算的时候:
E
[
f
]
≃
1
N
∑
n
=
1
N
f
(
x
n
)
(1.35)
\mathbb{E}[f] \simeq \frac{1}{N}\sum\limits_{n=1}^{N}f(x_n) \tag{1.35}
E[f]≃N1n=1∑Nf(xn)(1.35)
通过采样的方式来估计。
多变量情况下的期望,下标表示对谁求期望
E
x
[
f
(
x
,
y
)
]
(1.36)
\mathbb{E}_x[f(x, y)] \tag{1.36}
Ex[f(x,y)](1.36)
这是一个关于y的函数。
对于一个条件分布,同样有条件期望
E
[
f
∣
y
]
=
∑
x
p
(
x
∣
y
)
f
(
x
)
(1.37)
\mathbb{E}[f|y] = \sum\limits_x p(x|y)f(x) \tag{1.37}
E[f∣y]=x∑p(x∣y)f(x)(1.37)
定义为:
v
a
r
[
f
]
=
E
[
(
f
(
x
)
−
E
[
f
(
x
)
]
)
2
]
(1.38)
var[f] = \mathbb{E}[(f(x) - \mathbb{E}[f(x)])^2] \tag{1.38}
var[f]=E[(f(x)−E[f(x)])2](1.38)
也可以写成
v
a
r
[
f
]
=
E
[
f
(
x
)
2
]
−
E
[
f
(
x
)
]
2
(1.39)
var[f] = \mathbb{E}[f(x)^2] − \mathbb{E}[f(x)]^2 \tag{1.39}
var[f]=E[f(x)2]−E[f(x)]2(1.39)
所以
v
a
r
[
x
]
=
E
[
x
2
]
−
E
[
x
]
2
(1.40)
var[x] = \mathbb{E}[x^2] − \mathbb{E}[x]^2 \tag{1.40}
var[x]=E[x2]−E[x]2(1.40)

KaTeX parse error: No such environment: eqnarray at position 8: \begin{̲e̲q̲n̲a̲r̲r̲a̲y̲}̲ cov[x, y] &=& …
如果是两个随机向量的情况
KaTeX parse error: No such environment: eqnarray at position 8: \begin{̲e̲q̲n̲a̲r̲r̲a̲y̲}̲ cov[x, y] &=& …

贝叶斯定理:
p
(
w
∣
D
)
=
p
(
D
∣
w
)
p
(
w
)
p
(
D
)
(1.43)
p(w| D) = \frac{p(D|w)p(w)}{p(D)} \tag{1.43}
p(w∣D)=p(D)p(D∣w)p(w)(1.43)
我们可以根据观测到 D D D后的后验概率 p ( w ∣ D ) p(w|D) p(w∣D)来估计 w w w的不确定性。贝叶斯定理右侧的量 p ( D ∣ w ) p(D|w) p(D∣w)由观测到的数据集 D D D来估计,可以被看成参数向量 w w w的似然函数(likelihood function)。
注意似然不表示它是
w
w
w的概率分布,它关于$w $的积分也不(一定)等于1。
posterior
∝
likelihood
×
prior
(1.44)
\text{posterior} \propto \text{likelihood} × \text{prior} \tag{1.44}
posterior∝likelihood×prior(1.44)
分母是归一化因子:
p
(
D
)
=
∫
p
(
D
∣
w
)
P
(
w
)
d
w
(1.45)
p(D) = \int p(D|w)P(w)dw \tag{1.45}
p(D)=∫p(D∣w)P(w)dw(1.45)
频率派:w是固定的参数。最小误差函数就是最大似然估计
贝叶斯派:w不是固定的,需要用概率分布表达这种不确定性。
对于一元变量:
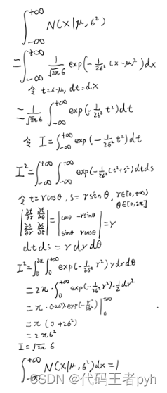
$\mathcal{N}\left(x | \mu, \sigma^{2}\right)=\frac{1}{\left(2 \pi \sigma{2}\right){\frac{1}{2}}} \exp \left{-\frac{1}{2 \sigma{2}}(x-\mu){2}\right} \tag{1.46} $
满足:
N
(
x
∣
μ
,
σ
2
)
>
0
(1.47)
\mathcal{N}(x|\mu, \sigma^2) > 0 \tag{1.47}
N(x∣μ,σ2)>0(1.47)
∫
−
∞
∞
N
(
x
∣
μ
,
σ
2
)
d
x
=
1
(1.48)
\int_{-\infty}^{\infty} \mathcal{N}(x|\mu, \sigma^2)dx = 1 \tag{1.48}
∫−∞∞N(x∣μ,σ2)dx=1(1.48)

期望为:
E
[
x
]
=
∫
−
∞
∞
N
(
x
∣
μ
,
σ
2
)
x
d
x
=
μ
(1.49)
\mathbb{E}[x] = \int_{-\infty}^{\infty} \mathcal{N}(x|\mu, \sigma^2)xdx = \mu \tag{1.49}
E[x]=∫−∞∞N(x∣μ,σ2)xdx=μ(1.49)

E [ x 2 ] = ∫ − ∞ ∞ N ( x ∣ μ , σ 2 ) x 2 d x = μ 2 + σ 2 (1.50) \mathbb{E}[x^2] = \int_{-\infty}^{\infty} \mathcal{N}(x|\mu, \sigma^2)x^2dx = \mu^2 + \sigma^2 \tag{1.50} E[x2]=∫−∞∞N(x∣μ,σ2)x2dx=μ2+σ2(1.50)


方差为:
v
a
r
[
x
]
=
E
[
x
2
]
−
E
[
x
]
2
=
σ
2
(1.51)
var[x] = \mathbb{E}[x^2] - \mathbb{E}[x]^2 = \sigma^2 \tag{1.51}
var[x]=E[x2]−E[x]2=σ2(1.51)
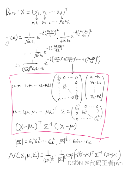
当x是d维向量:
N
(
x
∣
μ
,
Σ
)
=
1
(
2
π
)
D
/
2
1
∣
Σ
∣
1
/
2
e
x
p
−
1
2
(
x
−
μ
)
T
Σ
−
1
(
x
−
μ
)
(1.52)
\mathcal{N}(x|\mu, \Sigma) = \frac{1}{(2\pi)^{D/2}} \frac{1}{|\Sigma|^{1/2}} exp{-\frac{1}{2}(x-\mu)^T\Sigma^{-1}(x - \mu)} \tag{1.52}
N(x∣μ,Σ)=(2π)D/21∣Σ∣1/21exp−21(x−μ)TΣ−1(x−μ)(1.52)

参考资料:
https://blog.csdn.net/qq_37549266/article/details/95942282
https://www.zhihu.com/question/36339816
当我们进行D次观测。每次取样都是相同的的高斯分布中取样,只是我们不知道期望和方差。独立同分布i.i.d的取样。
数据集的概率为:
p
(
X
∣
μ
,
σ
2
)
=
∏
n
=
1
N
N
(
x
n
∣
μ
,
σ
2
)
(1.53)
p(X|\mu, \sigma^2) = \prod\limits_{n=1}^{N}N(x_n|\mu, \sigma^2) \tag{1.53}
p(X∣μ,σ2)=n=1∏NN(xn∣μ,σ2)(1.53)
希望可以通过最大似然来求解未知的期望和方差。取对数方便计算
ln
p
(
x
∣
μ
,
σ
2
)
=
−
1
2
σ
2
∑
n
=
1
N
(
x
n
−
μ
)
2
−
N
2
ln
σ
2
−
N
2
ln
(
2
π
)
(1.54)
\ln p(x|\mu, \sigma^2) = -\frac{1}{2\sigma^2}\sum\limits_{n=1}^N(x_n - \mu)^2 - \frac{N}{2}\ln \sigma^2 - \frac{N}{2}\ln(2\pi) \tag{1.54}
lnp(x∣μ,σ2)=−2σ21n=1∑N(xn−μ)2−2Nlnσ2−2Nln(2π)(1.54)
样本均值:
μ
M
L
=
1
N
∑
n
=
1
N
x
n
(1.55)
\mu_{ML} = \frac{1}{N}\sum\limits_{n=1}^{N}x_n \tag{1.55}
μML=N1n=1∑Nxn(1.55)
样本方差:
σ
M
L
2
=
1
N
∑
n
=
1
N
(
x
n
−
μ
M
L
)
2
(1.56)
\sigma_{ML}^2 = \frac{1}{N}\sum\limits_{n=1}^{N}(x_n - \mu_{ML})^2 \tag{1.56}
σML2=N1n=1∑N(xn−μML)2(1.56)


当我们用样本的期望和方差来代替原本的期望和方差的时候,期望不会有偏差
KaTeX parse error: \tag works only in display equations

方差会出现偏差。
E
[
σ
M
L
2
]
=
(
N
−
1
N
)
σ
2
(1.58)
\mathbb{E}\left[\sigma_{M L}^{2}\right]=\left(\frac{N-1}{N}\right) \sigma^{2} \tag{1.58}
E[σML2]=(NN−1)σ2(1.58)



为了得到无偏估计:
σ
~
2
=
N
N
−
1
σ
M
L
2
=
1
N
−
1
∑
n
=
1
N
(
x
n
−
μ
M
L
)
2
(1.59)
\widetilde\sigma^2 = \frac{N}{N - 1}\sigma_{ML}^2 = \frac{1}{N - 1}\sum\limits_{n=1}^{N}(x_n - \mu_{ML})^2 \tag{1.59}
σ
2=N−1NσML2=N−11n=1∑N(xn−μML)2(1.59)
参考资料:https://www.zhihu.com/question/20099757
N个输入$ X = (x_1,…,x_N)^T 和 输 出 和输出 和输出 T = (t_1,…,t_N)^T , 在 新 的 输 入 下 求 输 出 。 假 设 t 服 从 ,在新的输入下求输出。假设t服从 ,在新的输入下求输出。假设t服从 y(x, w) $相同均值的高斯分布。

p ( t ∣ x , w , β ) = N ( t ∣ y ( x , w ) , β − 1 ) (1.60) p(t|x, w, \beta) = \mathcal{N}(t|y(x, w), \beta^{-1}) \tag{1.60} p(t∣x,w,β)=N(t∣y(x,w),β−1)(1.60)
我们定义的分布的方差的逆为精度-参数$\beta $。
通过最大似然来确定未知参数$ w, \beta $,似然函数为:
p
(
T
∣
X
,
w
,
β
)
=
∏
n
=
1
N
N
(
t
n
∣
y
(
x
n
,
w
)
,
β
−
1
)
(1.61)
p(T|X, w, \beta) = \prod\limits_{n=1}^{N}\mathcal{N}(t_n|y(x_n, w), \beta^{-1}) \tag{1.61}
p(T∣X,w,β)=n=1∏NN(tn∣y(xn,w),β−1)(1.61)
取对数
ln
p
(
T
∣
X
,
w
,
β
)
=
−
β
2
∑
n
=
1
N
{
y
(
x
n
,
w
)
−
t
n
}
2
+
N
2
ln
β
−
N
2
ln
(
2
π
)
(1.62)
\ln p(T|X, w, \beta) = -\frac{\beta}{2}\sum\limits_{n=1}^{N}\{y(x_n, w) - t_n\}^2 + \frac{N}{2}\ln{\beta} - \frac{N}{2}\ln{(2\pi)} \tag{1.62}
lnp(T∣X,w,β)=−2βn=1∑N{y(xn,w)−tn}2+2Nlnβ−2Nln(2π)(1.62)
多项式系数的最大似然解,记作$ w_{ML} $。就是最小化误差函数。而精度等于:
1
β
M
L
=
1
N
∑
n
=
1
N
y
(
x
x
,
w
M
L
)
−
t
n
2
(1.63)
\frac{1}{\beta_{ML}} = \frac{1}{N}\sum\limits_{n=1}^{N}{y(x_x, w_{ML}) - t_n}^2 \tag{1.63}
βML1=N1n=1∑Ny(xx,wML)−tn2(1.63)
带入1.60就是结果
p
(
t
∣
x
,
w
M
L
,
β
M
L
)
=
N
(
t
∣
y
(
x
,
w
M
L
)
,
β
M
L
−
1
)
(1.64)
p(t|x, w_{ML}, \beta_{ML}) = \mathcal{N}(t|y(x, w_{ML}), \beta_{ML}^{-1}) \tag{1.64}
p(t∣x,wML,βML)=N(t∣y(x,wML),βML−1)(1.64)
引入w的先验:
p
(
w
∣
α
)
=
N
(
w
∣
0
,
α
−
1
I
)
=
(
α
2
π
)
M
+
1
2
exp
{
−
α
2
w
T
w
}
(1.65)
p(\boldsymbol{w} | \alpha)=\mathcal{N}\left(\boldsymbol{w} | \mathbf{0}, \alpha^{-1} \boldsymbol{I}\right)=\left(\frac{\alpha}{2 \pi}\right)^{\frac{M+1}{2}} \exp \left\{-\frac{\alpha}{2} \boldsymbol{w}^{T} \boldsymbol{w}\right\} \tag{1.65}
p(w∣α)=N(w∣0,α−1I)=(2πα)2M+1exp{−2αwTw}(1.65)
这里有超参数$ \alpha $控制先验分布。利用贝叶斯定理可以得到。
p
(
w
∣
X
,
T
,
α
,
β
)
∝
p
(
T
∣
X
,
w
,
β
)
p
(
w
∣
α
)
(1.66)
p(w|X, T, \alpha, \beta) \propto p(T|X, w, \beta)p(w|\alpha) \tag{1.66}
p(w∣X,T,α,β)∝p(T∣X,w,β)p(w∣α)(1.66)
最大后验MAP就是最大化1.66。取-ln我们可以得到最大后验等价于下面的式子
β
2
∑
n
=
1
N
{
y
(
x
n
,
w
)
−
t
n
}
2
+
α
2
w
T
w
(1.67)
\frac{\beta}{2}\sum\limits_{n=1}^{N}\{y(x_n, w) - t_n\}^2 + \frac{\alpha}{2}w^Tw \tag{1.67}
2βn=1∑N{y(xn,w)−tn}2+2αwTw(1.67)
就是有正则化项的误差函数。

上一节我们还是引入了w,并对w进行估计,这不是完全的贝叶斯方法。这节我们对w积分,这是贝叶斯方法的核心。
我们希望的是应用训练集合(X,T),在已知新的数据x的情况下得到目标值t的概率分布:
p
(
t
∣
x
,
X
,
T
)
=
∫
p
(
t
∣
x
,
w
)
p
(
w
∣
X
,
T
)
d
w
(1.68)
p(t|x, X, T) = \int p(t|x, w)p(w|X, T)dw \tag{1.68}
p(t∣x,X,T)=∫p(t∣x,w)p(w∣X,T)dw(1.68)

其实这个积分也是可以求解的,解为:
p
(
t
∣
x
,
X
,
T
)
=
N
(
t
∣
m
(
x
)
,
s
2
(
x
)
)
(1.69)
p(t|x, X, T) = \mathcal{N}(t|m(x), s^2(x)) \tag{1.69}
p(t∣x,X,T)=N(t∣m(x),s2(x))(1.69)
m ( x ) = β ϕ ( x ) T S ∑ n = 1 N ϕ ( x n ) t n (1.70) m(x)=\beta \phi(x)^{T} S \sum_{n=1}^{N} \phi\left(x_{n}\right) t_{n} \tag{1.70} m(x)=βϕ(x)TSn=1∑Nϕ(xn)tn(1.70)
s
2
(
x
)
=
β
−
1
+
ϕ
(
x
)
T
S
ϕ
(
x
)
(1.71)
s^{2}(x)=\beta^{-1}+\phi(x)^{T} \boldsymbol{S} \phi(x) \tag{1.71}
s2(x)=β−1+ϕ(x)TSϕ(x)(1.71)
S
−
1
=
α
I
+
β
∑
n
=
1
N
ϕ
(
x
n
)
ϕ
(
x
)
T
(1.72)
S^{-1} = \alpha I + \beta\sum\limits_{n=1}^N\phi(x_n)\phi(x)^T \tag{1.72}
S−1=αI+βn=1∑Nϕ(xn)ϕ(x)T(1.72)
其中$ I
是
单
位
矩
阵
,
定
义
向
量
是单位矩阵,定义向量
是单位矩阵,定义向量\phi(x)
为
为
为 \phi_i(x) = x^i, i = 0,…,M $。



剩余证明:https://www.cnblogs.com/wacc/p/5495448.html
参考资料:https://qiita.com/gucchi0403/items/bfffd2586272a4c05a73
# 贝叶斯曲线拟合
model = BayesianRegression(alpha=2e-3, beta=2)
model.fit(X_train, y_train)
y, y_err = model.predict(X_test, return_std=True)
plt.scatter(x_train, y_train, facecolor="none", edgecolor="b", s=50, label="training data")
plt.plot(x_test, y_test, c="g", label="$\sin(2\pi x)$")
plt.plot(x_test, y, c="r", label="mean")
plt.fill_between(x_test, y - y_err, y + y_err, color="pink", label="std.", alpha=0.5)
plt.xlim(-0.1, 1.1)
plt.ylim(-1.5, 1.5)
plt.annotate("M=9", xy=(0.8, 1))
plt.legend(bbox_to_anchor=(1.05, 1.), loc=2, borderaxespad=0.)
plt.show()

我们训练出了很多模型,因为可能发生过拟合,我们需要正则化。也需要一个判断泛化性能好坏的标准。一般用一个未参与训练的测试集,进行交叉验证。

对所有模型的优劣求平均。如果留出的数据只有一个就是留一验证。但缺点:
1.训练次数随着分割的变细而增加,时间成本增加。
2.参数太多,参数的组合甚至是指数型增加,我们如何选择测试集。
赤池信息准则AIC akaike information criterion:
ln
p
(
D
∣
w
M
L
)
−
M
(1.73)
\ln p(D|w_{ML}) - M \tag{1.73}
lnp(D∣wML)−M(1.73)
这里的$ p(D|w_{ML}) 是 最 合 适 的 对 数 似 然 函 数 , 是最合适的对数似然函数, 是最合适的对数似然函数, M $是模型中的可调节参数。之后还有BIC。
高维数据数据难区分。

一种解法就是划分成小格子,格子里多的点就是这个区域的点。但划分个数随参数的维度增加激增。

推广到曲线拟合上。我们有D个输入变量,一个三阶多项式系数随着D的增加是幂增加。
y
(
x
,
w
)
=
w
0
+
∑
i
=
1
D
w
i
x
i
+
∑
i
=
1
D
∑
j
=
1
D
w
i
j
x
i
x
j
+
∑
i
=
1
D
∑
j
=
1
D
∑
k
=
1
D
w
i
j
k
x
i
x
j
x
k
(1.74)
y(x, w) = w_0 + \sum_{i=1}^Dw_ix_i + \sum_{i=1}^D\sum_{j=1}^Dw_{ij}x_ix_j + \sum_{i=1}^D\sum_{j=1}^D\sum_{k=1}^Dw_{ijk}x_ix_jx_k \tag{1.74}
y(x,w)=w0+i=1∑Dwixi+i=1∑Dj=1∑Dwijxixj+i=1∑Dj=1∑Dk=1∑Dwijkxixjxk(1.74)
这里是系数的个数正比于$ D^3 。 M 阶 多 项 式 就 正 比 于 。M阶多项式就正比于 。M阶多项式就正比于 D^M $了。

高维到底会产生什么效果。比方说一个D维空间的半径r=1的球体。$ r = 1 − \epsilon 和 半 径 和半径 和半径r = 1 $之间的部分占球的总体积的百分比是多少。
V
D
(
r
)
=
K
D
r
D
(1.75)
V_D(r) = K_Dr^D \tag{1.75}
VD(r)=KDrD(1.75)
V
D
(
1
)
−
V
D
(
1
−
ϵ
)
V
D
(
1
)
=
1
−
(
1
−
ϵ
)
D
(1.76)
\frac{V_D(1) - V_D(1-\epsilon)}{V_D(1)} = 1 - (1 - \epsilon)^D \tag{1.76}
VD(1)VD(1)−VD(1−ϵ)=1−(1−ϵ)D(1.76)

因此,在高维空间中,一个球体的大部分体积都聚集在表面附近的薄球壳上!

不是所有在低维空间的直觉都可以推广到 高维空间。
即便如此,我们依然要使用高维度的数据。真实数据两个特点:1.目标受限在较低有效维度的空间》输入复杂的图片,但目标只是区分简单的任务。2.局部比较光滑,不会突变》空隙部分用插值估计。
医学诊断,我们给病人拍了X光片,来诊断他是否得了癌症。
输入向量$ x
是
X
光
片
的
像
素
的
灰
度
值
集
合
,
输
出
变
量
是X光片的像素的灰度值集合,输出变量
是X光片的像素的灰度值集合,输出变量 t
表
示
病
人
患
有
癌
症
,
记
作
类
表示病人患有癌症,记作类
表示病人患有癌症,记作类 C_1
或
者
不
患
癌
症
,
记
作
类
或者不患癌症,记作类
或者不患癌症,记作类 C_2
。
实
际
中
,
我
们
可
能
二
元
变
量
(
如
:
。实际中,我们可能二元变量(如:
。实际中,我们可能二元变量(如: t = 0
来
表
示
来表示
来表示 C_1
类
,
类,
类,t = 1
来
表
示
来表示
来表示 C_2 $类)来表示。
希望得到$ p(C_k|x) $。使用贝叶斯方法这些概率可以表示为:
$ p(C_k|x) = \frac{p(x|C_k)p(C_k)}{p(x)} \tag{1.77} $
$ p(C_1) 表 示 在 拍 X 光 片 前 病 人 患 有 癌 症 的 概 率 , 同 样 的 , 表示在拍X光片前病人患有癌症的概率,同样的, 表示在拍X光片前病人患有癌症的概率,同样的, p(C_1|x) $表示获得X光片信息后使用贝叶斯定理修正的后验概率。
KaTeX parse error: No such environment: eqnarray at position 8: \begin{̲e̲q̲n̲a̲r̲r̲a̲y̲}̲ p(mistake) &=&…
对于$ x
如
果
如果
如果p(x, C_1) > p(x, C_2)
,
那
么
就
把
,那么就把
,那么就把 x
分
到
类
分到类
分到类 C_1 $中。

对于更一般的K 类的情形,计算正确率会更简单。KaTeX parse error: No such environment: eqnarray at position 8: \begin{̲e̲q̲n̲a̲r̲r̲a̲y̲}̲ p(correct) &=&…
真实分类是 C k C_k Ck,实际分类是 C j C_j Cj.定义损失矩阵:

损失函数变为 E [ L ] = ∑ k ∑ j ∫ R j L k j p ( x , C k ) d x (1.80) \mathbb{E}[L] = \sum\limits_k\sum\limits_j\int_{R_j} L_{kj}p(x, C_k)dx \tag{1.80} E[L]=k∑j∑∫RjLkjp(x,Ck)dx(1.80)
消去共同因子P(x),根据决策规则就是对于每个新的x,使它分到能使得下式取得最小值的j类。
∑
k
L
k
j
p
(
C
k
∣
x
)
\sum\limits_kL_{kj}p(C_k|x)
k∑Lkjp(Ck∣x)
引入 θ \theta θ,低于 θ \theta θ的后验概率$ p(C_k|x) $进行进一步检测或交给专家。

三种方法:
1.生成模型:通过对每个类别$C_k
,
独
立
的
确
定
类
别
的
条
件
密
度
,独立的确定类别的条件密度
,独立的确定类别的条件密度 p(x | C_k)
来
解
决
推
断
问
题
,
还
分
别
推
断
出
类
别
的
先
验
概
率
来解决推断问题,还分别推断出类别的先验概率
来解决推断问题,还分别推断出类别的先验概率 p(C_k) $,然后使用贝叶斯定理:
$ p(C_k|x) = \frac{p(x|C_k)p(C_k)}{p(x)} \tag{1.82} $
来计算类别的后验概率$ p(C_k|x) 。 < p > 2. 判 别 模 型 , 解 决 确 定 类 别 的 后 验 密 度 。<p> 2.判别模型,解决确定类别的后验密度 。<p>2.判别模型,解决确定类别的后验密度p(C_k|x) 的 推 断 问 题 , 然 后 , 使 用 决 策 论 来 对 新 的 输 入 的推断问题,然后,使用决策论来对新的输入 的推断问题,然后,使用决策论来对新的输入 x 进 行 分 类 。 < p > 3. 判 别 函 数 : 找 到 能 直 接 把 输 入 进行分类。<p> 3.判别函数:找到能直接把输入 进行分类。<p>3.判别函数:找到能直接把输入 x 映 射 到 类 别 标 签 映射到类别标签 映射到类别标签 f(x) $。

一般都需要后验概率:
条件独立性假设(朴素贝叶斯假设):(输入独立)
KaTeX parse error: No such environment: eqnarray at position 8: \begin{̲e̲q̲n̲a̲r̲r̲a̲y̲}̲ p(C_k|X_I, X_B…
回到曲线拟合,计算平均损失,求期望。
E
[
L
]
=
∫
∫
L
(
t
,
y
(
x
)
)
p
(
x
,
t
)
d
x
d
t
(1.86)
\mathbb{E}[L] = \int\int L(t,y(x))p(x,t)dxdt \tag{1.86}
E[L]=∫∫L(t,y(x))p(x,t)dxdt(1.86)
平方误差:
E
[
L
]
=
∫
∫
{
y
(
x
)
−
t
}
2
p
(
x
,
t
)
d
x
d
t
(1.87)
\mathbb{E}[L] = \int\int\{y(x) - t\}^2p(x, t)dxdt \tag{1.87}
E[L]=∫∫{y(x)−t}2p(x,t)dxdt(1.87)
变分法求解
δ
E
[
L
]
δ
y
(
x
)
=
2
∫
{
y
(
x
)
−
t
}
p
(
x
,
t
)
d
t
=
0
(1.88)
\frac{\delta\mathbb{E}[L]}{\delta y(x)} = 2\int \{y(x) - t\}p(x,t)dt = 0 \tag{1.88}
δy(x)δE[L]=2∫{y(x)−t}p(x,t)dt=0(1.88)
整理:
y
(
x
)
=
∫
t
p
(
x
,
t
)
d
t
p
(
x
)
=
∫
t
p
(
t
∣
x
)
d
t
=
E
t
[
t
∣
x
]
(1.89)
y(x) = \frac{\int t p(x,t)dt}{p(x)} = \int t p(t|x)dt = \mathbb{E}_t[t|x] \tag{1.89}
y(x)=p(x)∫tp(x,t)dt=∫tp(t∣x)dt=Et[t∣x](1.89)
这就是回归函数:条件$ x
下
下
下 t $的条件均值

另一种方法,看平方项
KaTeX parse error: No such environment: eqnarray at position 8: \begin{̲e̲q̲n̲a̲r̲r̲a̲y̲}̲ \{y(x) − t\}^2…
带入损失函数。
E
[
L
]
=
∫
{
y
(
x
)
−
E
[
t
∣
x
]
}
2
p
(
x
)
d
x
+
∫
v
a
r
[
t
∣
x
]
p
(
x
)
d
x
(1.90)
\mathbb{E}[L] = \int\{y(x) − E[t|x]\}^2p(x)dx + \int var[t|x]p(x)dx \tag{1.90}
E[L]=∫{y(x)−E[t∣x]}2p(x)dx+∫var[t∣x]p(x)dx(1.90)

不同的损失函数,闵可夫斯基函数
$ \mathbb{E}[L_q] = \int\int|y(x) - t|^qp(x,t)dxdt \tag{1.91} $

参考资料:https://qiita.com/ZaKama/items/e172756db6e37fc68d65
观测一个离散随机变量x我们得到多少信息。信息量=“惊讶程度”:
被告知小概率事件发生,信息量高;被告知一定会发生的事情,没有信息量。
用h(x)表示,有两个不相关事件x和y,它们的信息量就是它们的和:
h
(
x
,
y
)
=
h
(
x
)
+
h
(
y
)
h(x,y)=h(x)+h(y)
h(x,y)=h(x)+h(y),对比
p
(
x
,
y
)
=
p
(
x
)
p
(
y
)
p(x,y)=p(x)p(y)
p(x,y)=p(x)p(y),我们有:
h
(
x
)
=
−
l
o
g
2
p
(
x
)
(1.92)
h(x) = -log_2p(x) \tag{1.92}
h(x)=−log2p(x)(1.92)
负号确保信息一定是非负的,低概率事件》高信息量。
一随机变量的平均信息量:
H
[
x
]
=
−
∑
x
p
(
x
)
l
o
g
2
p
(
x
)
(1.93)
H[x] = -\sum\limits_xp(x)log_2p(x) \tag{1.93}
H[x]=−x∑p(x)log2p(x)(1.93)
叫做随机变量的熵.当p(x)=0,
p
(
x
)
l
o
g
2
p
(
x
)
=
0
p(x)log_2 p(x)=0
p(x)log2p(x)=0

信息量的实际意义:一个随机变量,8个状态,等可能,熵为:
H
[
x
]
=
−
8
×
1
8
l
o
g
2
1
8
=
3
b
i
t
s
H[x] = -8 × \frac{1}{8}log_2\frac{1}{8} = 3 bits
H[x]=−8×81log281=3bits
如果不是等可能:
H
[
x
]
=
−
1
2
l
o
g
2
1
2
−
1
4
l
o
g
2
1
4
−
1
8
l
o
g
2
1
8
−
1
16
l
o
g
2
1
16
−
4
64
l
o
g
2
1
64
=
2
b
i
t
s
H[x] = -\frac{1}{2}log_2\frac{1}{2} -\frac{1}{4}log_2\frac{1}{4} -\frac{1}{8}log_2\frac{1}{8} -\frac{1}{16}log_2\frac{1}{16} -\frac{4}{64}log_2\frac{1}{64} = 2bits
H[x]=−21log221−41log241−81log281−161log2161−644log2641=2bits
非均匀分布比均匀分布的熵要小。
利用非均匀分布这个特点,使用更短的编码来描述更可能的事件,更长的编码来描述不太可能的事件。希望这样做能够得到一个更短的平均编码长度。使用下面的编码串:0、10、110、1110、 111100、111101、111110、111111来表示状态。传输的编码的平均长度就是
average code length = 1 2 × 1 + 1 4 × 2 + 1 8 × 3 + 1 16 × 4 + 4 × 1 64 × 6 = 2 b i t s \text{average code length} = \frac{1}{2}×1 + \frac{1}{4}×2+\frac{1}{8}×3+ \frac{1}{16}×4+4×\frac{1}{64}×6 = 2bits average code length=21×1+41×2+81×3+161×4+4×641×6=2bits
使用的时候分割就好了:11001110唯一地编码了状态序列c, a, d。
物理学上,熵是混乱程度:
考虑一个包含N个颜色不同的物体的集合,这些物体要被分到若干个箱子中,使得第i个箱子中有$ n_i
个
物
体
。
考
虑
把
物
体
分
配
到
箱
子
中
的
不
同
方
案
的
数
量
。
有
N
种
方
式
选
择
第
一
个
物
体
,
有
(
N
−
1
)
种
方
式
选
择
第
二
个
物
体
,
以
此
类
推
,
总
共
有
个物体。考虑把物体分配到箱子中的不同方案的数量。有N种方式选择第一个物体,有(N − 1)种方式选择第二个物体,以此类推,总共有
个物体。考虑把物体分配到箱子中的不同方案的数量。有N种方式选择第一个物体,有(N−1)种方式选择第二个物体,以此类推,总共有 N! $种方式把N个物体分配到箱子中。
不区分同一个箱子中同样元素的不同排列。箱子就是染缸。在第$ i^{th} 个 箱 子 有 个箱子有 个箱子有 n_i! $种排列方式。总方案数量为:
W
=
N
!
∏
i
n
i
!
(1.94)
W = \frac{N!}{\prod_in_i!} \tag{1.94}
W=∏ini!N!(1.94)
这就是乘数。

熵是缩放后的对数乘数:
H
=
1
N
ln
W
=
1
N
ln
N
!
−
1
N
∑
i
ln
n
i
!
(1.95)
H = \frac{1}{N}\ln W = \frac{1}{N} \ln N! - \frac{1}{N}\sum\limits_i \ln n_i! \tag{1.95}
H=N1lnW=N1lnN!−N1i∑lnni!(1.95)
现在我们考虑在$n_i / N 固 定 的 情 况 下 , 固定的情况下, 固定的情况下, N \to \infty $使用Stirling’s近似:
$ \ln N! \simeq N\ln N - N \tag{1.96} $
得出:
H = − lim N → ∞ ∑ i ( n i N ) ln ( n i N ) = − ∑ i p i ln p i (1.97) H = - \lim\limits_{N \to \infty}\sum\limits_{i}(\frac{n_i}{N})\ln(\frac{n_i}{N}) = -\sum\limits_ip_i\ln p_i \tag{1.97} H=−N→∞limi∑(Nni)ln(Nni)=−i∑pilnpi(1.97)

如果箱子是X的离散状态 x i x_i xi,X的熵就是:
H
[
p
]
=
−
∑
i
p
(
x
i
)
ln
p
(
x
i
)
(1.98)
H[p] = -\sum\limits_ip(x_i)\ln p(x_i) \tag{1.98}
H[p]=−i∑p(xi)lnp(xi)(1.98)

在归一化条件的限制下我们用拉格朗日乘数法得到:
H
~
=
−
∑
i
p
(
x
i
)
ln
p
(
x
i
)
+
λ
(
∑
i
p
(
x
i
)
−
1
)
(1.99)
\widetilde{H} = -\sum\limits_ip(x_i)\ln p(x_i) + \lambda(\sum\limits_i p(x_i) - 1) \tag{1.99}
H
=−i∑p(xi)lnp(xi)+λ(i∑p(xi)−1)(1.99)
其实可以求得当所有
p
(
x
i
)
p(x_i)
p(xi)相等的时候,取得最大值。而且二阶导数是负的,所以驻点是最大值:
∂
2
H
~
∂
p
(
x
i
)
∂
p
(
x
j
)
=
−
I
i
j
1
p
i
(1.100)
\frac{\partial^2\widetilde{H}}{\partial p(x_i)\partial p(x_j)} = -I_{ij}\frac{1}{p_i} \tag{1.100}
∂p(xi)∂p(xj)∂2H
=−Iijpi1(1.100)

连续变量,分割 Δ \Delta Δ宽度的箱子,p(x)连续,根据均值定理可知,一定有个 x i x_i xi:
∫
i
Δ
(
i
+
1
)
Δ
p
(
x
)
d
x
=
p
(
x
i
)
Δ
(1.101)
\int_{i \Delta}^{(i+1) \Delta} p(x) \mathrm{d} x=p\left(x_{i}\right) \Delta \tag{1.101}
∫iΔ(i+1)Δp(x)dx=p(xi)Δ(1.101)
这里:$ \sum_ip(x_i)\Delta = 1 $

只要x落在第i个箱子中,我们就把x赋值为$ x_i
。
因
此
观
察
到
值
。因此观察到值
。因此观察到值 x_i
的
概
率
为
的概率为
的概率为 p(x_i )\Delta $。连续分布就可以看作离散分布。
H
Δ
=
−
∑
i
p
(
x
i
)
Δ
ln
(
p
(
x
i
)
Δ
)
=
−
∑
i
p
(
x
i
)
Δ
ln
p
(
x
i
)
−
ln
Δ
(1.102)
H_\Delta = -\sum\limits_ip(x_i)\Delta\ln(p(x_i)\Delta) = -\sum\limits_ip(x_i)\Delta \ln p(x_i) - \ln \Delta \tag{1.102}
HΔ=−i∑p(xi)Δln(p(xi)Δ)=−i∑p(xi)Δlnp(xi)−lnΔ(1.102)

忽略第二项,当 Δ \Delta Δ趋近于0,只看第一项变为积分:
lim
Δ
→
0
{
−
∑
i
p
(
x
i
)
Δ
ln
p
(
x
i
)
}
=
−
∫
p
(
x
)
ln
p
(
x
)
d
x
(1.103)
\lim _{\Delta \rightarrow 0}\left\{-\sum_{i} p\left(x_{i}\right) \Delta \ln p\left(x_{i}\right)\right\}=-\int p(x) \ln p(x) \mathrm{d} x \tag{1.103}
Δ→0lim{−i∑p(xi)Δlnp(xi)}=−∫p(x)lnp(x)dx(1.103)
把它定义为
H
[
x
]
=
−
∫
p
(
x
)
ln
p
(
x
)
d
x
(1.104)
H[\boldsymbol{x}]=-\int p(\boldsymbol{x}) \ln p(\boldsymbol{x}) \mathrm{d} \boldsymbol{x} \tag{1.104}
H[x]=−∫p(x)lnp(x)dx(1.104)
这就是微分熵。
δ
\delta
δ 趋近于0,第二项发散。
反映了:具体化一个连续变量需要的比特位。(个人理解是用在 δ \delta δ趋近于0时候,整体的H变得无穷大)
添加三个限制:
$ \int_{-\infty}^{\infty}p(x)dx = 1 \tag{1.105} $
$ \int_{-\infty}^{\infty}xp(x)dx = \mu \tag{1.106} $
KaTeX parse error: \tag works only in display equations
求极值使用拉格朗日乘数:
KaTeX parse error: No such environment: eqnarray at position 8: \begin{̲e̲q̲n̲a̲r̲r̲a̲y̲}̲ &-& \int_{-\in…
令其导数为零,有:
p
(
x
)
=
e
x
p
{
−
1
+
λ
1
+
λ
2
x
+
λ
3
(
x
−
μ
)
2
}
(1.108)
p(x) = exp\{-1 + \lambda_1 + \lambda_2x + \lambda_3(x - \mu)^2\} \tag{1.108}
p(x)=exp{−1+λ1+λ2x+λ3(x−μ)2}(1.108)

代入限制方程有:
$p(x)=\frac{1}{\left(2 \pi \sigma{2}\right){\frac{1}{2}}} \exp \left{-\frac{1}{2 \sigma{2}}(x-\mu){2}\right} \tag{1.109} $
得到高斯分布,最大化微分熵分布就是高斯分布。

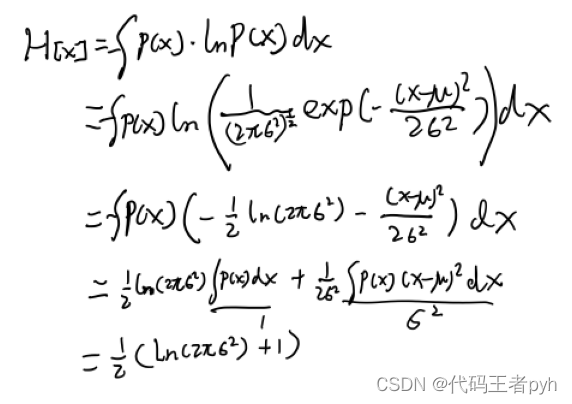
求高斯分布的微分熵得到:
H
[
x
]
=
1
2
{
1
+
ln
(
2
π
σ
2
)
}
(1.110)
H[x] = \frac{1}{2}\{1 + \ln(2\pi\sigma^2)\} \tag{1.110}
H[x]=21{1+ln(2πσ2)}(1.110)
微分熵可以是负的。

对于联合分布p(x,y),我们已知x的话,确定y需要的附加信息就是 − l n p ( y ∣ x ) -lnp(y|x) −lnp(y∣x)。平均附加信息就可以写成:
H
[
y
∣
x
]
=
−
∫
∫
p
(
y
,
x
)
ln
p
(
y
∣
x
)
d
y
d
x
(1.111)
H[y|x] = - \int\int p(y,x)\ln p(y|x)dydx \tag{1.111}
H[y∣x]=−∫∫p(y,x)lnp(y∣x)dydx(1.111)
这就是条件熵。用乘积规则可以得到:
H
[
x
,
y
]
=
H
[
y
∣
x
]
+
H
[
x
]
(1.112)
H[x,y] = H[y|x] + H[x] \tag{1.112}
H[x,y]=H[y∣x]+H[x](1.112)
参考资料:
http://prml.yutorihiro.com/chapter-1/1-35/
https://lkzf.info/math/prml/1/1.6.html
https://www.slideshare.net/alembert2000/prml-chp1-latter
有一个未知分布p(x),我们用近似的分布q(x)对其建模,它们之间的差异(在已知q(x),希望得到p(x),需要的平均附加信息量)为:
K
L
(
p
∥
q
)
=
−
∫
p
(
x
)
ln
q
(
x
)
d
x
−
(
−
∫
p
(
x
)
ln
p
(
x
)
d
x
)
=
−
∫
p
(
x
)
ln
{
q
(
x
)
p
(
x
)
}
d
x
(1.113)
这就是p(x)和q(x)之间的相对熵,也叫做KL散度。不对称的量。
我们要证明 K L ( p ∥ q ) ≥ 0 \mathrm{KL}(p \| q) \geq 0 KL(p∥q)≥0且当且仅当p(x)=q(x)时等号成立。先引入凸函数的概念:
f
(
λ
a
+
(
1
−
λ
)
b
)
≤
λ
f
(
a
)
+
(
1
−
λ
)
f
(
b
)
(1.114)
f(\lambda a + (1 − \lambda )b) ≤ \lambda f(a) + (1 − \lambda)f(b) \tag{1.114}
f(λa+(1−λ)b)≤λf(a)+(1−λ)f(b)(1.114)
这里$ 0 ≤ \lambda ≤ 1 $。凸函数的性质就是任意两点连线在函数上方。二阶导数处处为正

推广:
f
(
∑
i
=
1
M
λ
i
x
i
)
≤
∑
i
=
1
M
λ
i
f
(
x
i
)
(1.115)
f\left(\sum_{i=1}^{M} \lambda_{i} x_{i}\right) \leq \sum_{i=1}^{M} \lambda_{i} f\left(x_{i}\right) \tag{1.115}
f(i=1∑Mλixi)≤i=1∑Mλif(xi)(1.115)
这里$ \lambda_i \geq 0
且
且
且 \sum_i\lambda_i = 1 $,叫做Jensen不等式。
如果把 λ \lambda λ的取值当作概率分布:
f
(
E
[
x
]
)
≤
E
[
f
(
x
)
]
(1.116)
f(\mathbb{E}[x]) \leq \mathbb{E}[f(x)] \tag{1.116}
f(E[x])≤E[f(x)](1.116)
对于连续变量的Jensen不等式:
f
(
∫
x
p
(
x
)
d
x
)
≤
∫
f
(
x
)
p
(
x
)
d
x
(1.117)
f\left(\int xp(x)dx\right) \leq \int f(x)p(x)dx \tag{1.117}
f(∫xp(x)dx)≤∫f(x)p(x)dx(1.117)
带入1.113KL散度大于等于0得证。
K
L
(
p
∥
q
)
=
−
∫
p
(
x
)
ln
{
q
(
x
)
p
(
x
)
}
d
x
≥
−
ln
∫
q
(
x
)
d
x
=
0
\mathrm{KL}(p \| q)=-\int p(\boldsymbol{x}) \ln \left\{\frac{q(\boldsymbol{x})}{p(\boldsymbol{x})}\right\} \mathrm{d} \boldsymbol{x} \geq-\ln \int q(\boldsymbol{x}) \mathrm{d} \boldsymbol{x}=0
KL(p∥q)=−∫p(x)ln{p(x)q(x)}dx≥−ln∫q(x)dx=0
利用了-lnx是凸函数的性质。

因为我们不知道p(x)的分布,用 q ( x ∣ θ ) q(x|\theta) q(x∣θ),想计算KL散度,可以用采样的方式,找到训练点 x n x_n xn个,期望可以用加和计算(参考1.35公式):
K
L
(
p
∣
∣
q
)
≃
∑
n
=
1
N
{
−
ln
q
(
x
n
∣
θ
)
+
ln
p
(
x
n
)
}
/
N
(1.119)
KL(p||q) \simeq \sum\limits_{n=1}^{N}\{-\ln q(x_n|\theta) + \ln p(x_n)\}/N \tag{1.119}
KL(p∣∣q)≃n=1∑N{−lnq(xn∣θ)+lnp(xn)}/N(1.119)
看到第二项和 $\theta
无
关
,
第
一
项
是
无关,第一项是
无关,第一项是\theta$负对数的似然函数。最小化KL散度就相当于最大化似然函数。
两个变量x,y如果变量不是独立的,我们通过计算联合概率和边缘概率乘积的KL散度,来判断是否接近独立。
KaTeX parse error: No such environment: eqnarray at position 8: \begin{̲e̲q̲n̲a̲r̲r̲a̲y̲}̲ I[x,y] &\equiv…
这是x和y的互信息。也是大于等于零的,在x=y的时候等号成立。利用概率加和和乘积规则:
I
[
x
,
y
]
=
H
[
x
]
−
H
[
x
∣
y
]
=
H
[
y
]
−
H
[
y
∣
x
]
(1.121)
I[x, y] = H[x] − H[x|y] = H[y] − H[y|x] \tag{1.121}
I[x,y]=H[x]−H[x∣y]=H[y]−H[y∣x](1.121)
互信息表示一个新的观测y造成的x的不确定性的减小
Bishop, Christopher M. (2006). Pattern recognition and machine learning. New York :Springer
https://github.com/jiangyiqun233/PRML_learning
https://space.bilibili.com/6293151?spm_id_from=333.337.0.0