生活或者工作中遇到各种各样的最优化问题,比如每个企业和个人都要
考虑的一个问题“在一定成本下,如何使利润最大化”等。最优化方法是一种数学方法,它是研究在给定约束之下如何寻求某些因素(的量),以使某一(或某些)指标达到最优的一些学科的总称。随着学习的深入,博主越来越发现最优化方法的重要性,学习和工作中遇到的大多问题都可以建模成一种最优化模型进行求解,比如我们现在学习的机器学习算法,大部分的机器学习算法的本质都是建立优化模型,通过最优化方法对目标函数(或损失函数)进行优化,从而训练出最好的模型。常见的最优化方法有梯度下降法、牛顿法和拟牛顿法、共轭梯度法等等。
梯度下降法是最早最简单,也是最为常用的最优化方法。梯度下降法实现简单,当目标函数是凸函数时,梯度下降法的解是全局解。一般情况下,其解不保证是全局最优解,梯度下降法的速度也未必是最快的。梯度下降法的优化思想是用当前位置负梯度方向作为搜索方向,因为该方向为当前位置的最快下降方向,所以也被称为是”最速下降法“。最速下降法越接近目标值,步长越小,前进越慢。梯度下降法的搜
索迭代示意图如下图所示:

梯度下降法的缺点:
(1)靠近极小值时收敛速度减慢,如下图所示;
(2)直线搜索时可能会产生一些问题;
(3)可能会“之字形”地下降。
梯度下降法在接近最优解的区域收敛速度明显变慢,利用梯度下降法求解需要很多次的迭代。
在机器学习中,基于基本的梯度下降法发展了两种梯度下降方法,分别为随机梯度下降法和批量梯度下降法.
对一个线性回归(Linear Logistics)模型,假设下面的h(x)是要拟合的函数,J(theta)为损失函数,theta是参数,要迭代求解的值,theta求解出来了,那最终要拟合的函数h(theta)就出来了。其中m是训练集的样本个数,n是特征的个数。
将J(theta)对theta求偏导,得到每个theta对应的的梯度:

由于是要最小化风险函数,所以按每个参数theta的梯度负方向,来更新每个theta:

从上面公式可以注意到,它得到的是一个全局最优解,但是每迭代一步,都要用到训练集所有的数据,如果m很大,那么可想而知这种方法的迭代速度会相当的慢。所以,这就引入了另外一种方法——随机梯度下降。
对于批量梯度下降法,样本个数m,x为n维向量,一次迭代需要把m个样本全部带入计算,迭代一次计算量为m*n^2。
把风险函数可以写成如下这种形式,损失函数对应的是训练集中每个样本的梯度,而上面批量梯度下降对应的是所有的训练样本:

每个样本的损失函数,对theta求偏导得到对应梯度,来更新theta:

随机梯度下降是通过每个样本来迭代更新一次,如果样本量很大的情况(例如几十万),那么可能只用其中几万条或者几千条的样本,就已经将theta迭代到最优解了,对比上面的批量梯度下降,迭代一次需要用到十几万训练样本,一次迭代不可能最优,如果迭代10次的话就需要遍历训练样本10次。但是,SGD伴随的一个问题是噪音较BGD要多,使得SGD并不是每次迭代都向着整体最优化方向。随机梯度下降每次迭代只使用一个样本,迭代一次计算量为n^2,当样本个数m很大的时候,随机梯度下降迭代一次的速度要远高于批量梯度下降方法。两者的关系可以这样理解:随机梯度下降方法以损失很小的一部分精确度和增加一定数量的迭代次数为代价,换取了总体的优化效率的提升。增加的迭代次数远远小于样本的数量。
批量梯度下降-–最小化所有训练样本的损失函数,使得最终求解的是全局的最优解,即求解的参数是使得风险函数最小,但是对于大规模样本问题效率低下。
随机梯度下降—最小化每条样本的损失函数,虽然不是每次迭代得到的损失函数都向着全局最优方向, 但是大的整体的方向是向全局最优解的,最终的结果往往是在全局最优解附近,适用于大规模训练样本情况。
牛顿迭代法(Newton’s method)又称为牛顿-拉夫逊(拉弗森)方法(Newton-Raphson method),它是牛顿在17世纪提出的一种在实数域和复数域上近似求解方程的方法。牛顿法是一种在实数域和复数域上近似求解方程的方法。方法使用函数f (x)的泰勒级数的前面几项来寻找方程f (x) = 0的根。牛顿法最大的特点就在于它的收敛速度很快。
已经证明,如果是连续的,并且待求的零点是孤立的,那么在零点周围存在一个区域,只要初始值位于这个邻近区域内,那么牛顿法必定收敛。 并且,如果不为0, 那么牛顿法将具有平方收敛的性能. 粗略的说,这意味着每迭代一次,牛顿法结果的有效数字将增加一倍。
迭代法也称辗转法,是一种不断用变量的旧值递推新值的过程,跟迭代法相对应的是直接法(或者称为一次解法),即一次性解决问题。迭代算法是用计算机解决问题的一种基本方法。它利用计算机运算速度快、适合做重复性操作的特点,让计算机对一组指令(或一定步骤)重复执行,在每次执行这组指令(或这些步骤)时,都从变量的原值推出它的一个新值。

利用迭代算法解决问题,需要做好以下三个方面的工作:
一、确定迭代变量
在可以用迭代算法解决的问题中,至少存在一个可直接或间接地不断由旧值递推出新值的变量,这个变量就是迭代变量。
二、建立迭代关系式
所谓迭代关系式,指如何从变量的前一个值推出其下一个值的公式(或关系)。迭代关系式的建立是解决迭代问题的关键,通常可以使用递推或倒推的方法来完成。
三、对迭代过程进行控制
在什么时候结束迭代过程?这是编写迭代程序必须考虑的问题。不能让迭代过程无休止地执行下去。迭代过程的控制通常可分为两种情况:一种是所需的迭代次数是个确定的值,可以计算出来;另一种是所需的迭代次数无法确定。对于前一种情况,可以构建一个固定次数的循环来实现对迭代过程的控制;对于后一种情况,需要进一步分析得出可用来结束迭代过程的条件。
从几何上说,牛顿法就是用一个二次曲面去拟合你当前所处位置的局部曲面,而
梯度下降法是用一个平面去拟合当前的局部曲面,通常情况下,二次曲面的拟合会比平面更好,所以牛顿法选择的下降路径会更符合真实的最优下降路径。
注:红色的牛顿法的迭代路径,绿色的是梯度下降法的迭代路径。

matlab代码:
定义函数
function y=f(x)
y=f(x);%函数f(x)的表达式
end
function z=h(x)
z=h(x);%函数h(x)的表达式,函数h(x)是函数f(x)的一阶导数
end
主程序
x=X;%迭代初值
i=0;%迭代次数计算
while i
x0=X-f(X)/h(X);%牛顿迭代格式
if abs(x0-X)>0.01;%收敛判断
X=x0;
else break
end
i=i+1;
end
fprintf('\n%s%.4f\t%s%d','X=',X,'i=',i) %输出结果
Python代码以实例展示求解方程的根。

py文件
def f(x):
return (x-3)**3 '''定义 f(x) = (x-3)^3'''
def fd(x):
return 3*((x-3)**2) '''定义 f'(x) = 3*((x-3)^2)'''
def newtonMethod(n,assum):
time = n
x = assum
Next = 0
A = f(x)
B = fd(x)
print('A = ' + str(A) + ',B = ' + str(B) + ',time = ' + str(time))
if f(x) == 0.0:
return time,x
else:
Next = x - A/B
print('Next x = '+ str(Next))
if abs(A - f(Next)) < 1e-6:
print('Meet f(x) = 0,x = ' + str(Next)) '''设置迭代跳出条件,同时输出满足f(x) = 0的x值'''
else:
return newtonMethod(n+1,Next)
newtonMethod(0,4.0) '''设置从0开始计数,x0 = 4.0'''
牛顿法的优缺点总结:
优点:二阶收敛,收敛速度快;
缺点:牛顿法是一种迭代算法,每一步都需要求解目标函数的Hessian矩阵的逆矩阵,计算比较复杂。
拟牛顿法是求解非线性优化问题最有效的方法之一,于20世纪50年代由美国Argonne国家实验室的物理学家W.C.Davidon所提出来。Davidon设计的这种算法在当时看来是非线性优化领域最具创造性的发明之一。不久R. Fletcher和M. J. D. Powell证实了这种新的算法远比其他方法快速和可靠,使得非线性优化这门学科在一夜之间突飞猛进。
拟牛顿法的本质思想是改善牛顿法每次需要求解复杂的Hessian矩阵的逆矩阵的缺陷,它使用正定矩阵来近似Hessian矩阵的逆,从而简化了运算的复杂度。拟牛顿法和最速下降法一样只要求每一步迭代时知道目标函数的梯度。
拟牛顿法和最速下降法(Steepest Descent Methods)一样只要求每一步迭代时知道目标函数的梯度。通过测量梯度的变化,构造一个目标函数的模型使之足以产生超线性收敛性。这类方法大大优于最速下降法,尤其对于困难的问题。
另外,因为拟牛顿法不需要二阶导数的信息,所以有时比牛顿法(Newton’s Method)更为有效。如今,优化软件中包含了大量的拟牛顿算法用来解决无约束,约束,和大规模的优化问题。
拟牛顿法是解非线性方程组及最优化计算中最有效的方法之一,它是一类使每步迭代计算量少而又保持超线性收敛的牛顿型迭代法。
通过测量梯度的变化,构造一个目标函数的模型使之足以产生超线性收敛性。这类方法大大优于最速下降法,尤其对于困难的问题。另外,因为拟牛顿法不需要二阶导数的信息,所以有时比牛顿法更为有效。如今,优化软件中包含了大量的拟牛顿算法用来解决无约束,约束,和大规模的优化问题。
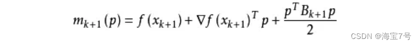
拟牛顿法的基本思想如下。首先构造目标函数在当前迭代参数的二次模型:

这里Bk是一个对称正定矩阵,于是我们取这个二次模型的最优解作为搜索方向,并且得到新的迭代点:

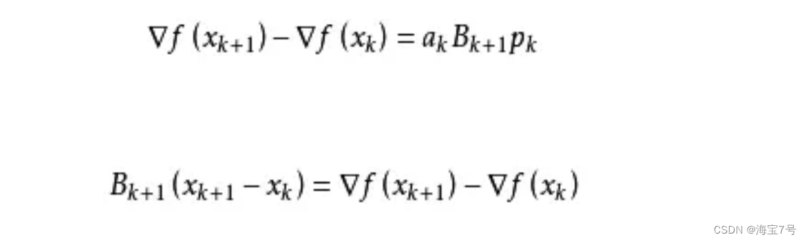
其中我们要求步长ak 满足Wolfe条件。这样的迭代与牛顿法类似,区别就在于用近似的Hesse矩阵Bk 代替真实的Hesse矩阵。所以拟牛顿法最关键的地方就是每一步迭代中矩阵Bk的更新。现在假设得到一个新的迭代xk+1,并得到一个新的二次模型:

尽可能地利用上一步的信息来选取Bk。具体地

也是割线方程。常用的拟牛顿法有DFP算法和BFGS算法,详情可以自行搜索。
共轭梯度法是介于最速下降法与牛顿法之间的一个方法,它仅需利用一阶导数信息,但克服了最速下降法收敛慢的缺点,又避免了牛顿法需要存储和计算Hesse矩阵并求逆的缺点,共轭梯度法不仅是解决大型线性方程组最有用的方法之一,也是解大型非线性最优化最有效的算法之一。 在各种优化算法中,共轭梯度法是非常重要的一种。其优点是所需存储量小,具有步收敛性,稳定性高,而且不需要任何外来参数。
下图为共轭梯度法和梯度下降法搜索最优解的路径对比示意图,注:绿色为梯度下降法,红色代表共轭梯度法

matlab代码:
function [x] = conjgrad(A,b,x)
r=b-A*x;
p=r;
rsold=r'*r;
for i=1:length(b)
Ap=A*p;
alpha=rsold/(p'*Ap);
x=x+alpha*p;
r=r-alpha*Ap;
rsnew=r'*r;
if sqrt(rsnew)<1e-10 break;
end
p=r+(rsnew/rsold)*p;
rsold=rsnew;
end
end
共轭梯度法(Conjugate Gradient)
它的每一个搜索方向是互相共轭的,而这些搜索方向d仅仅是负梯度方向与上一次迭代的搜索方向的组合,因此,存储量少,计算方便。
优点:所需存储量小,具有步收敛性,稳定性高,而且不需要任何外来参数。可以用于无约束凸二次规划问题,节省存储空间。
缺点:收敛性依赖K矩阵。
建议:不是大型运算不用使用。
更多内容可以参看数值分析、最优化之类课程和书籍教材。
分别利用最速下降和共轭梯度法来解一个线性方程
%% linear equation Ax=b
A = [4,-2,-1;-2,4,-2;-1,-2,3];
b = [0;-2;3];
最速下降法
%% 最速下降法
x0 = [0;0;0];
iter_max = 1000;
for i = 1:iter_max
r = A*x0 - b;
alpha = (r'*r)/(r'*A*r);
x = x0 - alpha*r;
if norm(x-x0)<=10^(-8)
break
end
x0 = x;
end
共轭梯度法
```csharp
%% 共轭梯度法
x0 = [0;0;0];
r0 = A*x0 - b;
p0 = -r0;
iter_max = 1000;
for i = 1:iter_max
alpha = (r0'*r0)/(p0'*A*p0);
x = x0 + alpha*p0;
r = r0 + alpha*A*p0;
beta = (r'*r)/(r0'*r0);
p = -r + beta*p0;
if norm(x-x0)<=10^(-8)
break
end
x0 = x;
r0 = r;
p0 = p;
end
启发式算法(heuristic algorithm)是相对于最优化算法提出的。现阶段,启发式算法以仿自然体算法为主,主要有蚁群算法、模拟退火法、神经网络等。
现代启发式算法的各种具体实现方法是相对独立提出的,相互之间有一定的区别。从历史上看,现代启发式算法主要有:模拟退火算法(SA)、遗传算法(GA)、列表搜索算法(ST)、进化规划(EP)、进化策略(ES)、蚁群算法(ACA)、人工神经网络(ANN)。如果从决策变量编码方案的不同来考虑,可以有固定长度的编码(静态编码)和可变长度的编码(动态编码)两种方案。
详情可以参考百度百科或者维基百科,或者是相关高手的博客。