小偷又发现了一个新的可行窃的地区。这个地区只有一个入口,我们称之为 root 。
除了 root 之外,每栋房子有且只有一个“父“房子与之相连。一番侦察之后,聪明的小偷意识到“这个地方的所有房屋的排列类似于一棵二叉树”。 如果 两个直接相连的房子在同一天晚上被打劫 ,房屋将自动报警。
给定二叉树的 root 。返回 在不触动警报的情况下 ,小偷能够盗取的最高金额 。
示例 1:

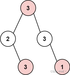
输入: root = [3,2,3,null,3,null,1]
输出: 7
解释: 小偷一晚能够盗取的最高金额 3 + 3 + 1 = 7
示例 2:

输入: root = [3,4,5,1,3,null,1]
输出: 9
解释: 小偷一晚能够盗取的最高金额 4 + 5 = 9
提示:
树的节点数在 [1, 104] 范围内
0 <= Node.val <= 104
解题思路:
本题使用动态规划的思路来解决。
首先,这里可以使用一个长度为2的数组,记录当前节点偷与不偷所得到的的最大金钱。下标为0记录不偷该节点所得到的的最大金钱,下标为1记录偷该节点所得到的的最大金钱。
其次,使用后序遍历来递归,因为通过递归函数的返回值来做下一步计算。通过递归左节点,得到左节点偷与不偷的金钱。通过递归右节点,得到右节点偷与不偷的金钱。
递归逻辑:
如果是偷当前节点,那么左右孩子就不能偷,val1 = cur->val + left[0] + right[0];
如果不偷当前节点,那么左右孩子就可以偷,至于到底偷不偷一定是选一个最大的,所以:val2 = max(left[0], left[1]) + max(right[0], right[1]);
最后当前节点的状态就是max{val2, val1}; 即:{不偷当前节点得到的最大金钱,偷当前节点得到的最大金钱}
/**
* Definition for a binary tree node.
* public class TreeNode {
* int val;
* TreeNode left;
* TreeNode right;
* TreeNode() {}
* TreeNode(int val) { this.val = val; }
* TreeNode(int val, TreeNode left, TreeNode right) {
* this.val = val;
* this.left = left;
* this.right = right;
* }
* }
*/
class Solution {
public int rob(TreeNode root) {
int[] res = DP(root);
return Math.max(res[0], res[1]);
}
public int[] DP(TreeNode root) {
int[] res = new int[2];
if (root == null) {return res;}
//后序遍历,获取左右子节点偷或不偷取得的最大值
//left[0]和left[1]分别表示不偷左节点和偷左节点时取得的最大值,right同理
int[] left = DP(root.left);
int[] right = DP(root.right);
//不偷root时取得的最大值
res[0] = Math.max(left[0], left[1]) + Math.max(right[0], right[1]);
//偷root时取得的最大值
res[1] = root.val + left[0] + right[0];
return res;
}
}