前面对map/multimap/set/multiset进行了简单的介绍,在其文档介绍中发现,这几个容器有几个共同点是:其底层都是按照二叉搜索树来实现的,但是二叉搜索树有自身的缺陷,假如往树中插入的元素有序或者接近有序,二叉搜索树就会退化成单支树,时间复杂度会退化成O(N),因此map、set等关联式容器的底层结构是对二叉树进行了平衡处理,即采用平衡树来实现
二叉搜索树虽可以缩短查找的效率,但如果数据有序或接近有序二叉搜索树将退化为单支树,查找元素相当于在顺序表中搜索元素,效率低下。因此,两位俄罗斯的数学家G.M.Adelson-Velskill和E.M.Landis在1962年,发明了一种解决上述问题的方法:当向二叉搜索树插入新节点后,如果能保证每个节点的左右子树高度只差的绝对值不超过1(需要对树中的结点进行调整),即可降低树的高度,从而减少平均搜索长度
一颗AVL树或者是空树,或者是具有以下性质的二叉搜索树:

如果一棵二叉树是高度平衡的,它就是AVL树。如果它有n个节点,其陶都可保持在
O
(
l
o
g
2
n
)
O(log_2n)
O(log2n),搜索时间复杂度O(
l
o
g
2
n
log_2n
log2n)
节点保存左右孩子和模板数据,因为要调整高度,所以保存双亲和平衡因子
template <class K, class V>
struct TreeNode
{
struct TreeNode<K, V>* _parent;
struct TreeNode<K, V>* _left;
struct TreeNode<K, V>* _right;
std::pair<K, V> _kv;
int _bf;
TreeNode(std::pair<K, V> kv)
:_parent(nullptr), _left(nullptr), _right(nullptr)
, _kv(kv), _bf(0)
{}
};
平衡因子:右子树的高度-左子树的高度
AVL树就是在二叉搜索树的基础上引入了平衡因子,因此AVL树叶可以看成是二叉搜索树,那么AVL树的插入过程可以分为两步:
1.按照二叉搜索树的方式插入新节点
2.调整节点的平衡因子
插入节点后,双亲结点的平衡因子一定要更新,如果插入在右侧,平衡因子++,左侧–
此时,平衡因子会出现三种情况:0,正负1,正负2
1.如果双亲结点平衡因子是0,说明插入前平衡因子是正负1,满足avl树性质,不需要向上更新,对祖先节点的平衡因子无影响
2.如果双亲结点的平衡因子是正负1,说明插入前的平衡因子一定是0,插入后变为了正负1,树的高度增加,需要持续向上更新
3.如果双亲结点的平衡因子是正负2,则违反了平衡树的性质,需要进行旋转处理
bool insert(const std::pair<K, V>& kv)
{
if (_root == nullptr)
{
_root = new node(kv);
return true;
}
node* parent = nullptr;
node* cur = _root;
while (cur)
{
parent = cur;
if (kv.first < cur->_kv.first)
{
cur = cur->_left;
}
else if (kv.first > cur->_kv.first)
{
cur = cur->_right;
}
else
{
return false;
}
}
//创建节点
cur = new node(kv);
cur->_parent = parent;
if (kv.first < parent->_kv.first)
{
parent->_left = cur;
}
else
{
parent->_right = cur;
}
//更新平衡因子
while (parent)
{
if (parent->_left == cur)
{
parent->_bf--;
}
else
{
parent->_bf++;
}
if (parent->_bf == 0)
{
break;
}
else if (parent->_bf == 1 || parent->_bf == -1)
{
cur = parent;
parent = parent->_parent;
}
else if (parent->_bf == 2 || parent->_bf == -2)
{
//需要旋转调整
}
else
{
assert(false);
}
}
}
如果在一棵原本平衡的avl树插入一个新节点,可能会造成不平衡,此时必须调整树的结构,使平衡化,根绝插入位置的不同,avl树的旋转分为四种:

上面的是一个抽象图,a、b、c都是高度为h的avl树,如果在c的位置插入一个节点。根节点左边的高度是h,右边是h+2,平衡因子就变为2,失衡状态。
将a,b,c列举出高度为0,1,2三种情况

当h=2时,子树的情况有x,y,z三种情况,a,b是三种任一种,而z只能是x形状,如果是其他两种就不会更新到上面去,自己就会失衡。x节点的插入位置有4个,所以当高度为2时,就有36种情况
无论哪种情况,调整只涉及30,60,b,也就是parent,subR,subRL。只有这几个的高度需要更新,所有的例子里根节点平衡因子都是2,右子树的高度都是1,所以可以将这种情况归类。
当parent平衡因子为2,subR的平衡因子为1的情况,就要左单旋
将30作为parent,60叫subR,b叫subRL,调整只涉及了这三个节点
调整的方法将30拿下来,60提上去作为局部的根,b作为30的右子树
总结下来就是:
1.b变为30的右边
2.30变为60的右边
3.60称为树新的根
调整后30的左右都是h,平衡因子0,a和c没有更改不变。60左右都是h+1,也是0
全
具体分为三步
1.先更改结构,60的左子树改为30,30的右子树改为b
2.父节点的更改
如果b不为空,b的双亲改为30
如果调整前30是根节点,那么就没有双亲结点,所以要分两种情况
先记录30的双亲结点,30的双亲改为60,因为这个树可能作为一颗树的局部
a.如果30是根节点,调整后60作为根节点
b.如果不是根节点,判断调整前30是左节点还是右节点,分情况改为60
将60的的双亲结点改为保存的根节点,如果是根节点就是空
最后更新平衡因子,只有30和60的子树情况有更改,调整后都是0
void RotateLeft(node* parent)
{
node* sub = parent->_right;
node* subl = sub->_left;
sub->_left = parent;
parent->_right = subl;
//父节点修改
node* Pparent = parent->_parent;
parent->_parent = sub;
//有子节点改变指向
if (subl)
{
subl->_parent = parent;
}
if (parent == _root)
{
_root = sub;
}
else
{
//原parent在父节点的左右
if (Pparent->_left == parent)
{
Pparent->_left = sub;
}
else
{
Pparent->_right = sub;
}
}
sub->_parent = Pparent;
//更新平衡因子
parent->_bf = sub->_bf = 0;
}

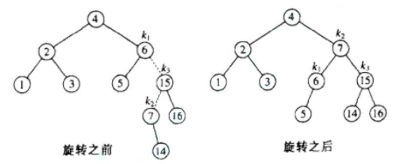
上图在插入前是平衡的,新节点插入到30的左子树,30左子树增加了一层,导致60为根的二叉树不平衡,要让60平衡,只能让60左子树的高度减少一层,右子树增加一层。即将左子树往上提,这样60转下来,因为60比30大,只能将其放在30的右子树,而如果30有右子树,右子树的值一定大于30,小于60,只能将其放在60的左子树,旋转完成后,更新节点的平衡因子即可。在旋转过程中,有以下几种情况情况需要考虑
1.30节点的右孩子可能存在,也可能不存在
2.60可能是根节点,也可能是子树
如果是根节点,旋转完成后,要更新根节点
如果是子树,可能是某个节点的左子树,也可能是右子树
右单旋和左单旋类似,只需要变一下方向
1.b变为60的左边
2.60变为30的右边
3.30称为树新的根
全
void RotateRight(node* parent)
{
node* sub = parent->_left;
node* subr = sub->_right;
sub->_right = parent;
parent->_left = subr;
if (subr)
{
subr->_parent = parent;
}
node* Pparent = parent->_parent;
parent->_parent = sub;
if (parent == _root)
{
_root = sub;
}
else
{
if (Pparent->_left == parent)
{
Pparent->_left = sub;
}
else
{
Pparent->_right = sub;
}
}
sub->_parent = Pparent;
sub->_bf = parent->_bf = 0;
}
旋转的目的
1.从不平衡,变成平衡子树
2.旋转本质降低了高度
高度和插入前一样,所以不会对上层造成影响,不需要往上更新平衡因子

a和d是高度为h的avl树(h>=0),将b树拆为一个节点和两个高度为h-1的avl树(h>=1)
下面是高度的几个情况:



当h=2时,a和d是x,y,z中一种,60的高度是1,插入位置有4个,合计就是334=36种情况
h=3时,a和d就是高度为3的avl树,每一个可能有C44+C43+C42+C41=1+4+6+4=15种可能,b和c是高度为2的avl树,只有x的情况插入会引起旋转,当b是x时,插入位置有4个,c是x,y,z任一种,c是x时也同样,这两个是互斥,所以可能性总共是342=24种,总共就是151524=5400种
h=3时就有5400种可能,高度再往上情况更复杂,从这些情况中找出一种共性,不像前面的只有一边高一边插入,这里插入较高子树的左侧,单独的旋转无法解决情况,但可以先对根节点的右节点右旋,变为第一种右右的情况,再对根节点左旋
下面是具体旋转结果和平衡因子的改变:

这种情况根节点高度差都是2,右节点高度-1
大致可以分为两种,h=0和h=1
h=0时60就是新增的节点,调整完后三个节点的高度差都是0
h=1时,可以在b或c的位置插入,旋转后根节点的高度差是0,如果b插入,30就是0,不然就是-1。如果是c插入,高度就是0,不然就是1
a,b,c,d的内部没有动过,不需要更新。根节点是0,不会对上面的部分影响,也不需要向上更新
30叫parent,90是sub,60是subl
全
void RotateRL(node* parent)
{
node* sub = parent->_right;
node* subl = sub->_left;
//提前记录bf,旋转后会更改
int bf = subl->_bf;
RotateRight(parent->_right);
RotateLeft(parent);
//根据bf判断h=0 h=1的两种情况
if (bf == 0)
{
//subl自己就是新增节点
subl->_bf = sub->_bf = parent->_bf = 0;
}
else if (bf == -1)
{
//subl左侧插入
subl->_bf = parent->_bf = 0;
sub->_bf = 1;
}
else if (bf == 1)
{
//subl右侧插入
subl->_bf = sub->_bf = 0;
parent->_bf = -1;
}
else
{
assert(false);
}
}

将双旋变为单旋后再旋转,即:先对30左单旋,然后再对90右单旋,旋转完成后再考虑平衡因子的更新
void RotateLR(node* parent)
{
node* sub = parent->_left;
node* subl = sub->_right;
//提前记录bf,旋转后会更改
int bf = subl->_bf;
RotateLeft(parent->_left);
RotateRight(parent);
if (bf == 0)
{
subl->_bf = sub->_bf = parent->_bf = 0;
}
else if (bf == -1)
{
//subl左侧插入
subl->_bf = sub->_bf = 0;
parent->_bf = 1;
}
else if (bf == 1)
{
//subl右侧插入
subl->_bf = parent->_bf = 0;
sub->_bf = -1;
}
else
{
assert(false);
}
}
假如以pParent为根的子树不平衡,即pParent的平衡因子为2或者-2,分以下情况考虑
1.pParent的平衡因子为2,说明pParent的右子树高,设pParent的右子树的根为pSubR
2.pParent的平衡因子-2,说明pParent的左子树高,设pParent的左子树的根为pSubL
旋转完成后,原pParent为根的子树高度降低,已经平衡,不需要向上更新
avl树是在二叉搜索树的基础上加入了平衡性的限制,因此要验证avl树,可以分两步:
1.验证其为二叉搜索树
如果中序遍历可得到一个有序的序列,就说明为二叉搜索树
2.验证其为平衡树
每个节点子树高度差的绝对值不超过1(注意节点中如果没有平衡因子)
节点的平衡因子是否计算正确
int TreeHeight()
{
return _TreeHeight(_root);
}
int _TreeHeight(node* node)
{
if (node == nullptr)
{
return 0;
}
int lhight = _TreeHeight(node->_left);
int rhight = _TreeHeight(node->_right);
return lhight > rhight ? lhight + 1 : rhight + 1;
孩子节点的差值是否等于自己的平衡因子
bool IsBalance()
{
return _IsBalance(_root);
}
bool _IsBalance(node* node)
{
if (node == nullptr)
{
return true;
}
int leftlheight = _TreeHeight(node->_left);
int rightheight = _TreeHeight(node->_right);
if (rightheight - leftlheight != node->_bf)
{
std::cout << node->_kv.first << "平衡因子异常" << std::endl;
return false;
}
return abs(leftlheight - rightheight) < 2
&& _IsBalance(node->_left)
&& _IsBalance(node->_right);
}
int size()
{
return _size(_root);
}
int _size(node* node)
{
if (node == nullptr)
{
return 0;
}
return _size(node->_left) + _size(node->_right) + 1;
}
根据下面的数据次序,动手画avl树的创建过程,验证是否有漏洞
常规场景:{16, 3, 7, 11, 9, 26, 18, 14, 15}
特殊场景:{4, 2, 6, 1, 3, 5, 15, 7, 16, 14}

因为avl树也是二叉搜索树,可按照搜索树的方式伤处节点,然后再更新平衡因子,最差的情况需要更新到根节点的位置
具体可以参考《算法导论》或《数据结构-用面向对象办法与C++描述》殷人昆版
分为三步:
第一步:找到删除位置
第二步:删除节点
第三步:更新平衡因子,调整高度
和插入的方法一样
node* del = _root;
while (del)
{
if (key < del->_kv.first)
{
del = del->_left;
}
else if (key > del->_kv.first)
{
del = del->_right;
}
else
{}
}
else里就是找到了删除的元素
三种情况:
1.如果被删节点del有两个子女
找前驱或者后继替换删除节点,就会变成最多只有一个子女的情况
这里找del的直接前驱,将两个节点的val交换,然后要删除的节点变为前驱节点
2.如果被删节点最多只有一个子女q
可以把del的父节点par原来指向del的指针改指到q,如果节点del没有子女,par指向的指针就设置为NULL。然后将原来以节点par为根的子树的高度减1,并沿par通向根的路径反向追踪高度的这一变化对路径上各节点的影响
平衡因子往上追踪的过程,如果q是par的左子女,则par的平衡因子增加1,否则减少1,平衡因子值会有下面三种情况,分别处理:
par的平衡因子改为-1或1
par的平衡因子原来是0,当子树的结点删除后,更新变为了1或-1。由于par为根的子树的高度没有变化
上图删除任一del节点后这个子树的高度没有变化,就不会对上面产生影响,从par到根节点的路径都不需要调整,结束本次删除的平衡过程

par的平衡因子变为0
par的平衡因子原不为0,较高的子树被缩短,par的平衡因子变为0.此时虽然以par为根的子树平衡,但其高度减1了,需要继续考察节点par的父节点的平衡状态
par的平衡因子变为2或-2
以par为根的子树不为0,一边高一边低,且较矮的子树又被缩短,这时par节点就会不平衡,需要旋转来调整。令par较高的子树的根为q,根据q的平衡因子表现的子树状态有下面三种平衡化操作:



下面是删除算法,用到了几个变量,其中del是删除节点,parent是del的父节点,q记录删除节点后parent指向的新节点。empty用来判断del节点左右孩子都为空的情况,deldir保存上面情况调整的方向,d记录失衡时parent的方向
旋转后传的是值,所以q和parent的结点位置需要更新
node* parent = del->_parent;
node* q;
bool empty = false;
int deldir; //两个孩子都为空时,判断方向
int d;/*左重-1 右重1*/
bool erase(const K& key)
{
if (_root == nullptr)
{
return false;
}
node* del = _root;
while (del)
{
if (key < del->_kv.first)
{
del = del->_left;
}
else if (key > del->_kv.first)
{
del = del->_right;
}
else
{
//找到 删除
node* parent = del->_parent;
node* q;
bool empty = false;
int deldir; //两个孩子都为空时,判断方向
int d;/*左重-1 右重1*/
//被删节点两个孩子
if (del->_left != nullptr && del->_right != nullptr)
{
//找前驱替换
node* leftmax = del->_left;
//node* q = del;
while (leftmax->_right)
{
leftmax = leftmax->_right;
}
parent = leftmax->_parent;
//node* leftnode = leftmax->_left;
//交换值
std::swap(del->_kv, leftmax->_kv);
//从leftmax的父节点开始更新
del = leftmax;
}
//右节点不为空
if (del->_left != nullptr)
{
q = del->_left;
}
else
{
if (del->_left == nullptr && del->_right == nullptr)
{
empty = true;
}
q = del->_right;
}
//判断是根节点
if (del == _root)
{
_root = q;
}
else
{
//判断左右,连接
if (parent->_left == del)
{
deldir = -1;
parent->_left = q;
}
else
{
deldir = 1;
parent->_right = q;
}
if (q != nullptr)
{
q->_parent = parent;
}
//重新平衡
while (parent)
{
//左右都为空
if (empty)
{
if (deldir == -1)
{
parent->_bf++;
}
else
{
parent->_bf--;
}
empty = false;
}
else
{
if (parent->_right == q)
{
parent->_bf--;
}
else
{
parent->_bf++;
}
}
//|bf|=1;不影响高度,退出
if (parent->_bf == 1 || parent->_bf == -1)
{
break;
}
//|bf|==2,需要旋转,判断子树的bf
if (parent->_bf != 0)
{
//右边重,看右子树的bf
if (parent->_bf < 0)
{
d = -1;
q = parent->_left;
}
else
{
d = 1;
q = parent->_right;
}
//单旋转调整,更改bf,不影响高度,退出
if (q->_bf == 0)
{
if (d == -1)
{
RotateRight(parent);
parent->_bf = -1;
q->_bf = 1;
}
else
{
RotateLeft(parent);
parent->_bf = 1;
q->_bf = -1;
}
break;
}
//q和parent同号
if (q->_bf == d)
{
//p = -2 d = -1
if (d == -1)
{
RotateRight(parent);
}
// p = 2 d = 1
else
{
RotateLeft(parent);
}
}
else
{
//旋转后重新连接
// p = 2 d = -1
if (q->_bf == -1)
{
RotateRL(parent);
}
else
{
RotateLR(parent);
}
}
//旋转后更新节点
q = parent;
parent = parent->_parent;
}
//继续向上查找
q = parent;
parent = parent->_parent;
}
}
delete del;
return true;
}
return false;
}
}
#pragma once
#include
#include
#include
#include
template <class K, class V>
struct TreeNode
{
struct TreeNode<K, V>* _parent;
struct TreeNode<K, V>* _left;
struct TreeNode<K, V>* _right;
std::pair<K, V> _kv;
int _bf;
TreeNode(std::pair<K, V> kv)
:_parent(nullptr), _left(nullptr), _right(nullptr)
, _kv(kv), _bf(0)
{}
};
template <class K, class V>
class AVLTree
{
public:
typedef struct TreeNode<K, V> node;
bool insert(const std::pair<K, V>& kv)
{
if (_root == nullptr)
{
_root = new node(kv);
return true;
}
node* parent = nullptr;
node* cur = _root;
while (cur)
{
parent = cur;
if (kv.first < cur->_kv.first)
{
cur = cur->_left;
}
else if (kv.first > cur->_kv.first)
{
cur = cur->_right;
}
else
{
return false;
}
}
//创建节点
cur = new node(kv);
cur->_parent = parent;
if (kv.first < parent->_kv.first)
{
parent->_left = cur;
}
else
{
parent->_right = cur;
}
//更新平衡因子
while (parent)
{
if (parent->_left == cur)
{
parent->_bf--;
}
else
{
parent->_bf++;
}
if (parent->_bf == 0)
{
break;
}
else if (parent->_bf == 1 || parent->_bf == -1)
{
cur = parent;
parent = parent->_parent;
}
else if (parent->_bf == 2 || parent->_bf == -2)
{
//旋转
//分四种旋转情况
//右边重,左单旋
if (parent->_bf == 2 && cur->_bf == 1)
{
RotateLeft(parent);
}
else if (parent->_bf == -2 && cur->_bf == -1)
{
RotateRight(parent);
}
else if (parent->_bf == 2 && cur->_bf == -1)
{
RotateRL(parent);
}
else if (parent->_bf == -2 && cur->_bf == 1)
{
RotateLR(parent);
}
break;
}
else
{
assert(false);
}
}
}
void RotateLeft(node* parent)
{
node* sub = parent->_right;
node* subl = sub->_left;
sub->_left = parent;
parent->_right = subl;
//父节点修改
node* Pparent = parent->_parent;
parent->_parent = sub;
//有子节点改变指向
if (subl)
{
subl->_parent = parent;
}
if (parent == _root)
{
_root = sub;
}
else
{
//原parent在父节点的左右
if (Pparent->_left == parent)
{
Pparent->_left = sub;
}
else
{
Pparent->_right = sub;
}
}
sub->_parent = Pparent;
//更新平衡因子
parent->_bf = sub->_bf = 0;
}
void RotateRight(node* parent)
{
node* sub = parent->_left;
node* subr = sub->_right;
sub->_right = parent;
parent->_left = subr;
if (subr)
{
subr->_parent = parent;
}
node* Pparent = parent->_parent;
parent->_parent = sub;
if (parent == _root)
{
_root = sub;
}
else
{
if (Pparent->_left == parent)
{
Pparent->_left = sub;
}
else
{
Pparent->_right = sub;
}
}
sub->_parent = Pparent;
sub->_bf = parent->_bf = 0;
}
void RotateRL(node* parent)
{
node* sub = parent->_right;
node* subl = sub->_left;
//提前记录bf,旋转后会更改
int bf = subl->_bf;
RotateRight(parent->_right);
RotateLeft(parent);
//根据bf判断h=0 h=1的两种情况
if (bf == 0)
{
//subl自己就是新增节点
subl->_bf = sub->_bf = parent->_bf = 0;
}
else if (bf == -1)
{
//subl左侧插入
subl->_bf = parent->_bf = 0;
sub->_bf = 1;
}
else if (bf == 1)
{
//subl右侧插入
subl->_bf = sub->_bf = 0;
parent->_bf = -1;
}
else
{
assert(false);
}
}
void RotateLR(node* parent)
{
node* sub = parent->_left;
node* subl = sub->_right;
//提前记录bf,旋转后会更改
int bf = subl->_bf;
RotateLeft(parent->_left);
RotateRight(parent);
if (bf == 0)
{
subl->_bf = sub->_bf = parent->_bf = 0;
}
else if (bf == -1)
{
//subl左侧插入
subl->_bf = sub->_bf = 0;
parent->_bf = 1;
}
else if (bf == 1)
{
//subl右侧插入
subl->_bf = parent->_bf = 0;
sub->_bf = -1;
}
else
{
assert(false);
}
}
void inorder()
{
_inorder(_root);
std::cout << std::endl;
}
void _inorder(node* root)
{
if (root == nullptr)
{
return;
}
_inorder(root->_left);
std::cout << root->_kv.first << " ";
_inorder(root->_right);
}
int size()
{
return _size(_root);
}
int _size(node* node)
{
if (node == nullptr)
{
return 0;
}
return _size(node->_left) + _size(node->_right) + 1;
}
int TreeHeight()
{
return _TreeHeight(_root);
}
int _TreeHeight(node* node)
{
if (node == nullptr)
{
return 0;
}
int lhight = _TreeHeight(node->_left);
int rhight = _TreeHeight(node->_right);
return lhight > rhight ? lhight + 1 : rhight + 1;
}
bool IsBalance()
{
return _IsBalance(_root);
}
bool _IsBalance(node* node)
{
if (node == nullptr)
{
return true;
}
int leftlheight = _TreeHeight(node->_left);
int rightheight = _TreeHeight(node->_right);
if (rightheight - leftlheight != node->_bf)
{
std::cout << node->_kv.first << "平衡因子异常" << std::endl;
return false;
}
return abs(leftlheight - rightheight) < 2
&& _IsBalance(node->_left)
&& _IsBalance(node->_right);
}
void layer()
{
if (_root == nullptr)
{
return;
}
std::queue<node*> q;
q.push(_root);
int lay = 1;
while (!q.empty())
{
std::cout << "第" << lay << "层: ";
int num = q.size();
while (num--)
{
node* cur = q.front();
q.pop();
std::cout << cur->_kv.first << " 因子:" << cur->_bf << " ";
if (cur->_left != nullptr)
{
q.push(cur->_left);
}
if (cur->_right != nullptr)
{
q.push(cur->_right);
}
}
lay++;
std::cout << std::endl;
}
std::cout << std::endl;
}
bool erase(const K& key)
{
if (_root == nullptr)
{
return false;
}
node* del = _root;
while (del)
{
if (key < del->_kv.first)
{
del = del->_left;
}
else if (key > del->_kv.first)
{
del = del->_right;
}
else
{
//找到 删除
node* parent = del->_parent;
node* q;
bool empty = false;
int deldir; //两个孩子都为空时,判断方向
int d;/*左重-1 右重1*/
//被删节点两个孩子
if (del->_left != nullptr && del->_right != nullptr)
{
//找前驱替换
node* leftmax = del->_left;
//node* q = del;
while (leftmax->_right)
{
leftmax = leftmax->_right;
}
parent = leftmax->_parent;
//node* leftnode = leftmax->_left;
//交换值
std::swap(del->_kv, leftmax->_kv);
//从leftmax的父节点开始更新
del = leftmax;
}
//右节点不为空
if (del->_left != nullptr)
{
q = del->_left;
}
else
{
if (del->_left == nullptr && del->_right == nullptr)
{
empty = true;
}
q = del->_right;
}
//判断是根节点
if (del == _root)
{
_root = q;
}
else
{
//判断左右,连接
if (parent->_left == del)
{
deldir = -1;
parent->_left = q;
}
else
{
deldir = 1;
parent->_right = q;
}
if (q != nullptr)
{
q->_parent = parent;
}
//重新平衡
while (parent)
{
//左右都为空
if (empty)
{
if (deldir == -1)
{
parent->_bf++;
}
else
{
parent->_bf--;
}
empty = false;
}
else
{
if (parent->_right == q)
{
parent->_bf--;
}
else
{
parent->_bf++;
}
}
//|bf|=1;不影响高度,退出
if (parent->_bf == 1 || parent->_bf == -1)
{
break;
}
//|bf|==2,需要旋转,判断子树的bf
if (parent->_bf != 0)
{
//右边重,看右子树的bf
if (parent->_bf < 0)
{
d = -1;
q = parent->_left;
}
else
{
d = 1;
q = parent->_right;
}
//单旋转调整,更改bf,不影响高度,退出
if (q->_bf == 0)
{
if (d == -1)
{
RotateRight(parent);
parent->_bf = -1;
q->_bf = 1;
}
else
{
RotateLeft(parent);
parent->_bf = 1;
q->_bf = -1;
}
break;
}
//q和parent同号
if (q->_bf == d)
{
//p = -2 d = -1
if (d == -1)
{
RotateRight(parent);
}
// p = 2 d = 1
else
{
RotateLeft(parent);
}
}
else
{
//旋转后重新连接
// p = 2 d = -1
if (q->_bf == -1)
{
RotateRL(parent);
}
else
{
RotateLR(parent);
}
}
//旋转后更新节点
q = parent;
parent = parent->_parent;
}
//继续向上查找
q = parent;
parent = parent->_parent;
}
}
delete del;
return true;
}
return false;
}
}
private:
node* _root = nullptr;
};
avl树是一颗绝对平衡的二叉搜索树,其要求每个节点的左右子树高度差的绝对值不超过1,这样可以保证查询时高效, l o g 2 ( N ) log_2(N) log2(N)。但是如果要对avl树做一些结构修改,性能非常低下。比如:插入时要维护绝对平衡,旋转的次数比较多,更差的是在删除时,有可能一直要旋转持续到根的位置。因此:如果需要一种查询高效且有序的数据结构,而且数据的个数为静态的(即不会改变),可以考虑avl树,但一个结构经常修改,就不太适合