回归分析用来建立方程模拟两个或者多个变量之间如何关联
一元线性回归包括一个自变量和一个因变量
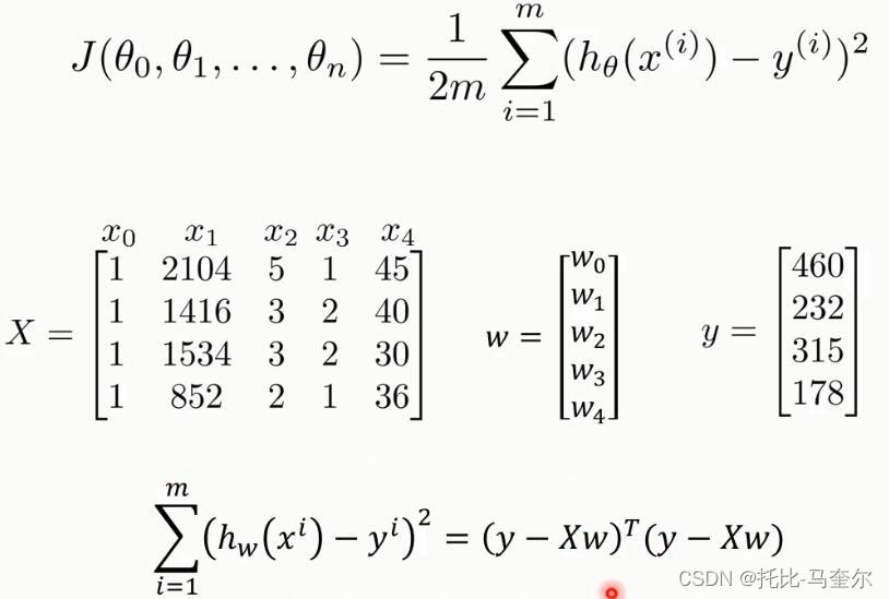
如果包含两个以上的自变量,则称为多元线性回归


损失函数的最终目的是为了使得误差平方和最小

训练模型过程中不断重复这个语句
学习率的值不能太小,也不能太大


右边同一个颜色的线上任意一点,最终取得的损失函数的值是相等的
最中间的线上取得的损失函数值是最小的
- import numpy as np
- import matplotlib.pyplot as plt
- # 载入数据
- data = np.genfromtxt("data.csv",delimiter=",")
- x_data = data[:,0]
- y_data = data[:,1]
- # plt.scatter()函数用于创建一个散点图
- plt.scatter(x_data,y_data)
- plt.show()
- # 最小二乘法
- def compute_error(b, k, x_data, y_data):
- # 代价函数的初始值
- totalError = 0
- for i in range(0, len(x_data)):
- totalError += (y_data[i] - (k * x_data[i] + b)) ** 2
- return totalError / float(len(x_data)) / 2.0
- def gradient_descent_runner(x_data, y_data, b, k, lr, epochs):
- # 计算总数据量
- m = float(len(x_data))
- # 循环epochs次
- for i in range(epochs):
- b_grad = 0
- k_grad = 0
- # 计算梯度的总和再求平均
- for j in range(0, len(x_data)):
- b_grad += (1/m) * (((k*x_data[j]) + b) - y_data[j])
- k_grad += (1/m) * x_data[j] * (((k*x_data[j]) + b) - y_data[j])
- # 更新b和k
- b = b - (lr * b_grad)
- k = k - (lr * k_grad)
-
- return b,k
- print("Starting b = {0}, k = {1}, error = {2}".format(b, k, compute_error(b, k, x_data, y_data)))
- print("Running……")
- b, k = gradient_descent_runner(x_data, y_data, b, k, lr, epochs)
- print("After{0} iterations b = {1}, k = {2}, error = {3}".format(epochs, b, k, compute_error(b, k, x_data, y_data)))
-
- # 画图
- plt.plot(x_data, y_data, 'b.') # 用蓝色的点画出来
- plt.plot(x_data, k*x_data + b, 'r')
- plt.show()
- from sklearn.linear_model import LinearRegression
- import numpy as np
- import matplotlib.pyplot as plt
- # 载入数据
- data = np.genfromtxt("data.csv",delimiter=",")
- x_data = data[:,0]
- y_data = data[:,1]
- plt.scatter(x_data,y_data)
- plt.show()
- print(x_data.shape)
画出散点图;最后输出值为(100,)
- # 从 data 中选择所有行和第一列,然后增加一个维度,形成一个二维数组
- x_data = data[:,0,np.newaxis]
- y_data = data[:,1,np.newaxis]
- # 创建并拟合模型
- model = LinearRegression()
- model.fit(x_data, y_data)
LinearRegression模型通常需要输入二维数组形式的数据来进行拟合。这是因为线性回归模型通常表示为矩阵形式。np.newaxis增加一个维度是为了将一维数组转换为二维数组,使得数据可以以矩阵的形式输入到模型中。
x_data和y_data分别表示输入数据和目标数据。通过增加一个维度,它们被转换为二维数组,可以作为线性回归模型的输入。这样,模型就可以通过拟合这些数据来学习输入和输出之间的关系,并预测新的数据
- # 画图
- plt.plot(x_data, y_data, 'b.') # 用蓝色的点画出来
- plt.plot(x_data, model.predict(x_data), 'r')
- plt.show()


- import numpy as np
- from numpy import genfromtxt
- import matplotlib.pyplot as plt
- from mpl_toolkits.mplot3d import Axes3D
- # 载入数据
- # 使用r前缀表示一个字符串是原始字符串,即不会对其中的转义字符进行解析
- data = np.genfromtxt(r"Delivery.csv",delimiter=",")
- print(data)
- # 切分数据
- # 取到最后一个列,但不包括最后一个列
- x_data = data[:,:-1]
- y_data = data[:,-1]
- print(x_data)
- print(y_data)
- # 最小二乘法
- def compute_error(theta0, theta1, theta2, x_data, y_data):
- totalError = 0
- for i in range(0, len(x_data)):
- totalError += (y_data[i] - (theta1 * x_data[i,0] + theta2 * x_data[i,1] + theta0)) ** 2
- return totalError / float(len(x_data)) / 2.0
- def gradient_descent_runner(x_data, y_data, theta0, theta1, theta2, lr, epochs):
- # 计算总数据量
- m = float(len(x_data))
- # 循环epochs次
- for i in range(epochs):
- theta0_grad = 0
- theta1_grad = 0
- theta2_grad = 0
- # 计算梯度的总和再求平均
- for j in range(0, len(x_data)):
- theta0_grad += (1/m) * ((theta1 *x_data[j,0] + theta2*x_data[j,1] + theta0)- y_data[j])
- theta1_grad += (1/m) * x_data[j,0] * ((theta1 *x_data[j,0] + theta2*x_data[j,1] + theta0)- y_data[j])
- theta2_grad += (1/m) * x_data[j,1] * ((theta1 *x_data[j,0] + theta2*x_data[j,1] + theta0)- y_data[j])
- # 更新b和k
- theta0 = theta0 - (lr*theta0_grad)
- theta1 = theta1 - (lr*theta1_grad)
- theta2 = theta2 - (lr*theta2_grad)
- return theta0, theta1, theta2
- print("Starting theta0 = {0}, theta1 = {1}, theta2 = {2}, error = {3}".format(theta0, theta1, theta2, compute_error(theta0, theta1, theta2, x_data, y_data)))
- print("Running...")
- theta0, theta1, theta2 = gradient_descent_runner(x_data, y_data, theta0, theta1, theta2, lr, epochs)
- print("After {0} iterations theta0 = {1}, theta1 = {2}, theta2 = {3}, error = {4}".format(epochs, theta0, theta1, theta2, compute_error(theta0, theta1, theta2, x_data, y_data)))
Starting theta0 = 0.006971416196678632, theta1 = 0.08021042690771771, theta2 = 0.07611036240566814, error = 0.3865635716109059
Running...
After 1000 iterations theta0 = 0.012105936219977274, theta1 = 0.07783523865497854, theta2 = 0.14266718993616928, error = 0.34191327566030316
- # 画3D图
- # 在图形上添加一个子图,其中'111'表示这是一个占据整个图形的子图
- #(即,它覆盖了从左上角开始的第一行、# 第一列和第一页的网格的单元格)。
- # projection = '3d'表示我们想要创建一个3D的子图
- ax = plt.figure().add_subplot(111, projection = '3d')
- ax.scatter(x_data[:,0],x_data[:,1],y_data, c = 'r', marker = 'o', s = 100)
- # 格式是圆点,每个点的大小为100
- x0 = x_data[:,0]
- x1 = x_data[:,1]
- # 生成网格矩阵
- x0, x1 = np.meshgrid(x0, x1)
- z = theta0 + x0*theta1 + x1*theta2
- #画3D图
- #这个函数能创建三维曲面图
- ax.plot_surface(x0, x1, z)
- # 设置坐标轴
- ax.set_xlabel('Miles')
- ax.set_ylabel('Num of Deliveries')
- ax.set_zlabel('Time')
-
- # 显示图象
- plt.show()
- import numpy as np
- from numpy import genfromtxt
- from sklearn import linear_model
- import matplotlib.pyplot as plt
- from mpl_toolkits.mplot3d import Axes3D
- # 读入数据
- data = np.genfromtxt(r"Delivery.csv",delimiter=",")
- print(data)
- # 切分数据
- # 取到最后一个列,但不包括最后一个列
- x_data = data[:,:-1]
- y_data = data[:,-1]
- print(x_data)
- print(y_data)
- # 创建模型
- model = linear_model.LinearRegression()
- model.fit(x_data, y_data)
- # 系数
- print("coefficients:",model.coef_)
-
- # 截距
- print("intercept:",model.intercept_)
- # 画3D图
- ax = plt.figure().add_subplot(111, projection = '3d')
- ax.scatter(x_data[:,0],x_data[:,1],y_data, c = 'r', marker = 'o', s = 100)
- # 格式是圆点,大小为100
- x0 = x_data[:,0]
- x1 = x_data[:,1]
- # 生成网格矩阵
- x0, x1 = np.meshgrid(x0, x1)
- z = model.intercept_ + x0*model.coef_[0] + x1*model.coef_[1]
- #画3D图
- ax.plot_surface(x0, x1, z)
- # 设置坐标轴
- ax.set_xlabel('Miles')
- ax.set_ylabel('Num of Deliveries')
- ax.set_zlabel('Time')
-
- # 显示图象
- plt.show()

- import numpy as np
- import matplotlib.pyplot as plt
- from sklearn.preprocessing import PolynomialFeatures
- from sklearn.linear_model import LinearRegression
- # 载入数据
- data = np.genfromtxt("job.csv", delimiter=",")
- # 从 data 数组的第二行开始,选择所有行的第一列数据
- x_data = data[1:,1]
- y_data = data[1:,2]
- print(x_data)
- plt.scatter(x_data, y_data)
- plt.show()
- x_data = data[1:,1,np.newaxis]
- y_data = data[1:,2,np.newaxis]
- # 创建并拟合模型
- model = LinearRegression()
- model.fit(x_data, y_data)
- # 画图
- plt.plot(x_data, y_data, 'b.')
- plt.plot(x_data, model.predict(x_data), 'r')
- plt.show()
- # 定义多项式回归,degree的值可以调节多项式的特征
- # 当 degree=1 时,PolynomialFeatures 实际上不会生成新的特征,
- # 而是会生成一个包含常数项 1 的特征,生成的第一列都是 1.0
-
- # degree参数代表多项式的次数
- # fit_transform()可以将输入数据转换为指定的数据类型,并返回转换后的数据
- ploy_reg = PolynomialFeatures(degree=3)
- # 特征处理
- x_ploy = ploy_reg.fit_transform(x_data)
- # 定义回归模型
- lin_reg = LinearRegression()
- # 训练模型
- lin_reg.fit(x_ploy, y_data)
degree的值越大,模型会更加拟合
- # 画图
- plt.plot(x_data, y_data, 'b.')
- plt.plot(x_data, lin_reg.predict(ploy_reg.fit_transform(x_data)), c='r')
- plt.title('Truth or Bluff (Polynomial Regression)')
- plt.xlabel('Position level')
- plt.ylabel('Salary')
- plt.show()


https://en.wikipedia.org/wiki/Matrix_calculus#Scalar-by-vector_identities



时间复杂度约为O(n^3) ;n是特征数量
w是线性模型参数,用于计算结果。一般用theta代替。权重值越大,对于结果的影响越大。
b表示偏差。线性回归的目标是找到一组最佳的w和b值,使得预测值与实际值之间的误差平方和最小。因此,要求w的值是为了找到这组最佳的w和b值,使得预测值与实际值之间的误差平方和最小
1.线性相关的特征
2.特征数据太多(样本数m<=特征数量n)
- import numpy as np
- from numpy import genfromtxt
- import matplotlib.pyplot as plt
- # 载入数据
- data = np.genfromtxt("data.csv", delimiter=",")
- x_data = data[:,0,np.newaxis]
- y_data = data[:,1,np.newaxis]
- plt.scatter(x_data,y_data)
- plt.show()
- 改善模型的泛化能力:在机器学习模型中,如果特征矩阵X中存在一些特征的取值为0或者大部分为0,那么在训练过程中,这些特征将无法对模型的训练产生任何贡献。这是因为在标准线性回归模型中,偏置项b的存在使得模型可以适应那些取值为0或者大部分为0的特征。当特征的取值范围更大时,添加偏置项可以使得模型更好地拟合训练数据,提高模型的泛化能力。
- 避免模型过拟合:在一些情况下,当特征的取值范围很大时,如果不添加偏置项,模型可能会过度拟合训练数据,导致在测试集上的表现很差。而添加偏置项可以使得模型的训练更加稳定,避免模型过拟合。
- # np.mat函数接受一个数组作为参数,并返回一个矩阵对象
- # shape属性是一个元组,描述了矩阵的行数和列数
- print(np.mat(x_data).shape)
- print(np.mat(y_data).shape)
- # 给样本添加偏置项
- # 创建一个长度为100的一维数组,全部元素都是1(np.ones((100,1))),
- # 然后将其与原数组x_data在列方向上拼接(即第一列前面加一列全是1的列)
- X_data = np.concatenate((np.ones((100,1)),x_data),axis=1)
- print(X_data.shape)
- # 标准方程法求解回归参数
- def weights(xArr, yArr):
- xMat = np.mat(xArr)
- yMat = np.mat(yArr)
- xTx = xMat.T*xMat #矩阵乘法
- # 计算矩阵的值,如果值为0,说明该矩阵没有逆矩阵
- if np.linalg.det(xTx) == 0.0:
- print("This matrix cannot do inverse")
- return
- # xTx.I为xTx的逆矩阵
- ws = xTx.I*xMat.T*yMat
- return ws
- ws = weights(X_data,y_data)
- print(ws)
- # 画图
- # 该数组包含两个元素,每个元素都是一个包含单个整数的列表。
- x_test = np.array([[20],[80]])
- y_test = ws[0] + x_test*ws[1]
- plt.plot(x_data, y_data, 'b.')
- plt.plot(x_test, y_test, 'r')
- plt.show()
把数据的取值范围处理为0--1或者-1--1之间;
任意数据转化为0--1之间:
newValue = (oldValue-min)/(max-min)
任意数据转化为-1--1之间:
newValue = ((oldValue-min)/(max-min)-0.5)*2
x为特征数据,u为数据的平均值,s为数据的方差
newValue = (oldValue-u)/s
一般是-0.5左右到0.5左右
通过将原始数据集进行切分,得到不同的训练集和测试集,用训练集训练模型,用测试集评估模型的泛化能力。交叉验证法可以有效地防止过拟合和欠拟合,评估模型的泛化能力,选择最佳的模型和参数

过拟合的主要表现是:在训练集中表现得很好,但是在测试集中表现得不够好

1.减少特征(简化模型)
2.增加数据量
3.正则化

θj指的就是多项式的系数;也就是权重
岭回归最早使用处理特征数多于样本的情况,现在也用于在估计中加入偏差,从而得到更好的估计。同时也可以解决多重共线性的问题。

岭回归在估计中加入偏差
如果数据的特征数量比样本还多,则计算逆矩阵时会出错。

θj指的就是多项式的系数,也就是w

岭回归的代价函数 ,其中λ是正则项的系数,不是岭系数
λ和残差平方和之间的关系是,当λ越大,正则化项的权重就越大,模型的复杂性就越低,越倾向于选择更简单的模型,从而降低过拟合的风险
随着λ的增大,特征的系数会被"压缩",即每个特征的系数都会比没有正则化时更接近于0。这种"压缩"效应会导致模型的复杂性降低,从而降低过拟合的风险。然而,这种"压缩"效应也会导致模型的预测能力下降,因此残差平方和也会随之增加。
- import numpy as np
- from numpy import genfromtxt
- from sklearn import linear_model
- import matplotlib.pyplot as plt
- # 读入数据
- data = genfromtxt(r"longley.csv",delimiter=',')
- # 因为第一列的第一个是空值,所以默认填充为Nan
- print(data)
- # 切分数据
- x_data = data[1:,2:]
- y_data = data[1:,1]
- print(x_data)
- print(y_data)
- # 创建模型
- # 默认生成50个值
- alphas_to_test = np.linspace(0.001, 1)
- print(alphas_to_test)
- # 创建模型,保存误差值
- # Ridge指的是岭回归,CV指的是交叉验证
- # alphas指的是岭回归系数,主要就是用交叉验证去验证这些数字是否正确
- model = linear_model.RidgeCV(alphas=alphas_to_test, store_cv_values=True)
- # store_cv_values=True: 设置为True时会存储交叉验证过程中每个阿尔法值的评分。
- # 这可以用于后续评估和比较不同阿尔法值的性能
- model.fit(x_data, y_data)
-
- # 岭系数
- print(model.alpha_)
- # loss值
- print(model.cv_values_.shape)
- # 16次测试集,50个岭系数
- # 画图
- # 岭系数和loss值的关系 .mean(axis=0)指的是16个测试集loss值的平均值
- plt.plot(alphas_to_test, model.cv_values_.mean(axis=0))
- # 选取的岭系数值的位置
- plt.plot(model.alpha_, min(model.cv_values_.mean(axis=0)),'ro')
- plt.show()
- import numpy as np
- from numpy import genfromtxt
- import matplotlib.pyplot as plt
-
- # 读入数据
- data = genfromtxt(r"longley.csv",delimiter=',')
- # 因为第一列的第一个是空值,所以默认填充为Nan
- print(data)
-
- # 切分数据
- x_data = data[1:,2:]
- y_data = data[1:,1,np.newaxis]
- print(x_data)
- print(y_data)
- print(np.mat(x_data).shape)
- print(np.mat(y_data).shape)
- # 给样本添加偏置项
- X_data = np.concatenate((np.ones((16,1)),x_data),axis=1)
- print(X_data.shape)
- # 岭回归标准方程法求解回归参数
- def weights(xArr, yArr, lam=0.2):
- xMat = np.mat(xArr)
- yMat = np.mat(yArr)
- xTx = xMat.T*xMat #矩阵乘法
- # xMat.shape[1]获取矩阵xMat的列数,然后np.eye()用这个列数来创建一个相应大小的单位矩阵
- rxTx = xTx + np.eye(xMat.shape[1])*lam
- # 计算矩阵的值,如果值为0,说明该矩阵没有逆矩阵
- if np.linalg.det(rxTx) == 0.0:
- print("This matrix cannot do inverse")
- return
- # xTx.I为xTx的逆矩阵
- ws = rxTx.I*xMat.T*yMat
- return ws
- ws = weights(X_data,y_data)
- print(ws)
通过构造一个一阶惩罚函数获得一个精炼的模型;通过最终确定一些指标(变量)的系数为零(岭回归估计系数等于零的机会微乎其微)
擅长处理具有多重共线性的数据,与岭回归一样是有偏估计

- import numpy as np
- from numpy import genfromtxt
- from sklearn import linear_model
-
- # 读入数据
- data = genfromtxt(r"longley.csv",delimiter=',')
- print(data)
-
- # 切分数据
- x_data = data[1:,2:]
- y_data = data[1:,1]
- print(x_data)
- print(y_data)
- # 创建模型
- model = linear_model.LassoCV()
- model.fit(x_data, y_data)
-
- # lasso系数
- print(model.alpha_)
- # 相关系数
- print(model.coef_)

而具体的弹性网指的是

- import numpy as np
- from numpy import genfromtxt
- from sklearn import linear_model
-
- # 读入数据
- data = genfromtxt(r"longley.csv",delimiter=',')
- print(data)
-
- # 切分数据
- x_data = data[1:,2:]
- y_data = data[1:,1]
- print(x_data)
- print(y_data)
- # 创建模型
- model = linear_model.ElasticNetCV()
- model.fit(x_data, y_data)
-
- # 弹性网系数
- print(model.alpha_)
- # 相关系数
- print(model.coef_)

线性函数的值越接近1,整个的线性相关性就越强
相关系数是用来描述两个变量之间的线性关系的,但决定系数的适用范围更广,可以用于描述非线性或者有两个及两个以上自变量的相互关系

