先讨论相机模型,说明投影关系的描述,介绍相机的内外参,最后完成标定。
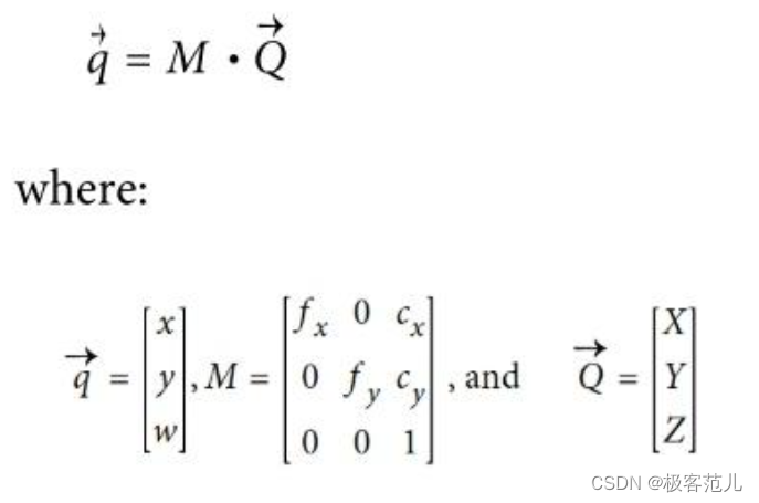
把需要标定的相机参数叫做内参(intrinsics matrix),它决定了物体的实际位置Q在成像平面上的投影位置q,如下图所示:

数学表示为

内参M的组成元素包含焦距f(像素表示)和成像平面的中心c
对标定内参有一个较为直观的理解,因为具体的标定方法都已经是很成熟且易用的,因此理解基本理论显得更为重要。
我们知道内参是相机坐标系到像素坐标系的转换,外参就是两个三维坐标系间的刚体变换,从世界坐标系到相机坐标系
简单说就是左乘一个旋转矩阵R ,然后再平移t 。用公式表示如下:

也就是:

其中, P0 为世界坐标系中的点, Pc
为相机坐标系中的点。这里面有个加法,如果需要转换多个坐标系就会层层嵌套,不够优雅,这里我们引入齐次坐标:

用齐次坐标就可以用一个矩阵乘法完成坐标变换,需要变换多个坐标系时也仅需要左乘多次即可。
此处的 (R,T) 即为外参。
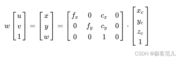
由上一步的变换,我们已经求得了相机坐标系的点,接下来我们就可以运用内参投影公式,将3D点投影到成像平面上了:
即:

其中,M为内参, Pc 为相机坐标系下一点。用齐次坐标形式表示出来:

最终的 (u,v) 即是 P0 的像素坐标。
标定的目的,直观来讲,就是找出三维空间中的物体在二维感光元件的投影位置的计算模型