

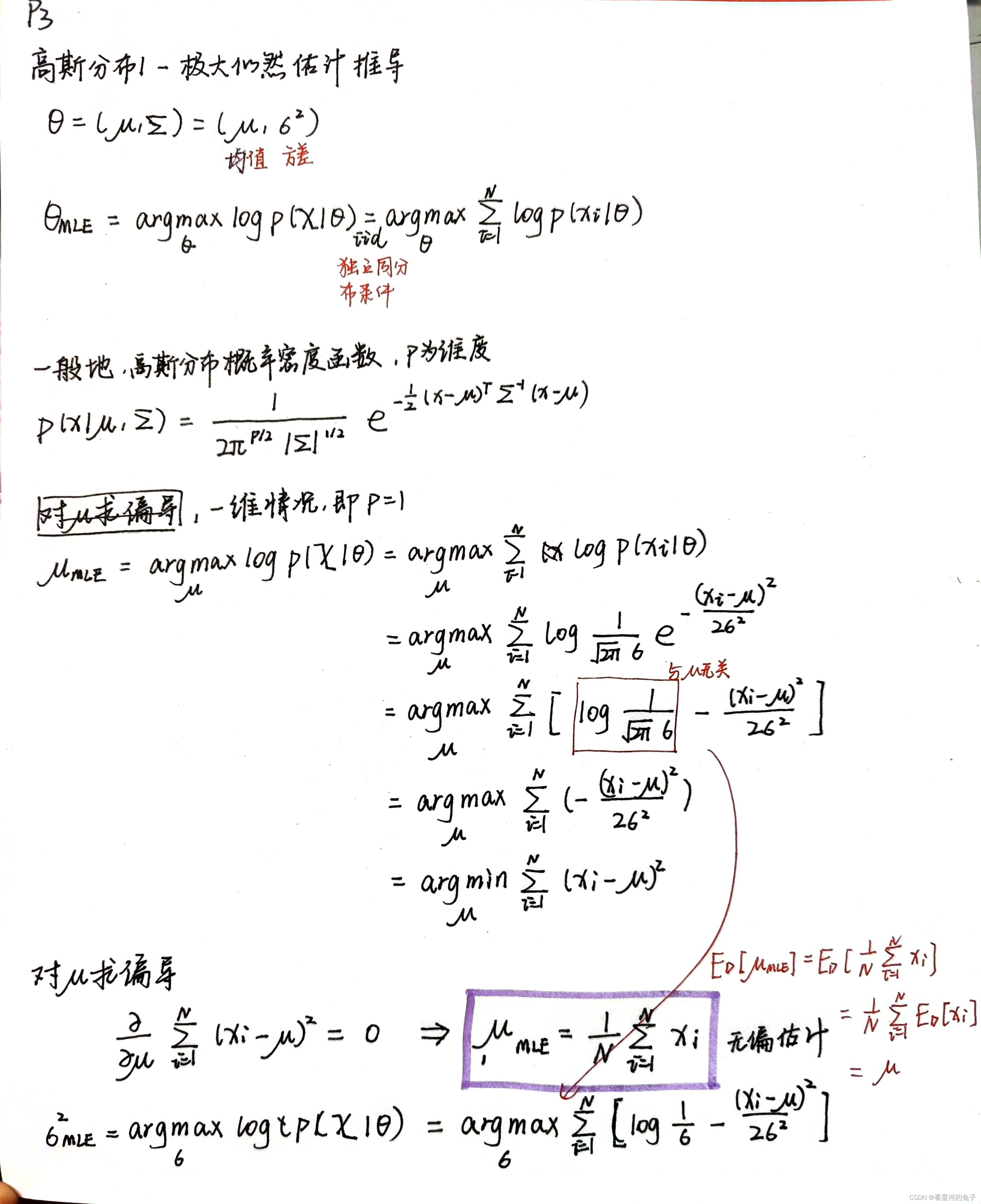
由上述推导得出结论:
μ
M
L
E
=
1
N
∑
i
=
1
N
x
i
\mu_{MLE}=\frac{1}{N}\sum\limits _{i=1}^{N}x_{i}
μMLE=N1i=1∑Nxi
σ
^
2
=
1
N
−
1
∑
i
=
1
N
(
x
i
−
μ
)
2
\hat{\sigma}^{2}=\frac{1}{N-1}\sum\limits _{i=1}^{N}(x_{i}-\mu)^{2}
σ^2=N−11i=1∑N(xi−μ)2