
微积分包含众多知识点,例如极限概念、求导公式、乘积法则、链式法则、隐函数求导、 积分中值定理、泰勒公式等。其中,研究导数、微分及其应用的部分一般称为微分学,研究不定积分、定积分及其应用的部分一般称为积分学。微分学和积分学统称为微积分学,而微积分基本定理则将微分和积分进行关联。由于泰勒定理本质上是微积分基本定理的连用,因此从总体上来看微积分包括核心概念和关键技术,其中核心概念是微分和积分,关键技术是微积分基本定理和泰勒定理。

基本函数的复合方式总结起来主要分为 3 类:函数相加、函数相乘、函数嵌套。
(1)加法法则:基本函数相加形成的复合函数导数等于基本函数导数之和。
(2)乘法法则:基本函 数相乘形成的复合函数导数等于“前导后不导加上后导前不导”。
(3)链式法则:基本函数嵌套形成的复合函数导数等 于“外层导数与内层导数依次相乘”。
那么对于一个含有 x、y 两个变量的函数 f (x , y) ,保持 其他变量固定而关注一个变量的微小变化带来的函数值变化情况,这种变化的比值就是偏导数。
梯度和导数是密切相关的一对概念,实际上梯度是导数对多元函数的推广,它是多元函数对各个自变量求偏导形成的向量。
微积分基本定理:如果函数 f (x) 在区间[a,b]上连续,并且存在 原函数 F (x),则![]()
泰勒公式的典型形式如下:

其中,Rn(x) 是高阶无穷小量。上述公式也称为 f (x) 在点 a 处的泰勒级数。
泰勒公式的主要作用是通过近似函数来代替原函数,通过使用简单熟悉的多项式去代替复杂的原函数。
根据√9=3,求√10
不同阶数多项式函数
来近似代替 f = sinx 在 x = 0 附近的数值分布状况。
对于定积分公式
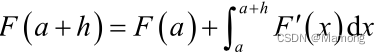
假设 a 为定值,且 b -a = h,则上面的微积分基本定理可以写成:
我们继续对定积分进行变量代换 x =a+t,则有
。如果F' (x)是连续可导函数,那么
。将上面的式子进行迭代,可得:
如此循环迭代,就可以得到泰勒公式。这说明,泰勒公式本质上是微积分基本定理的多次连用,两者本质上具有统一性。