生活中对于事件的发生,可以概括为
随机现象的特点:人们通过长期实践并深入研究之后,发现这类现象在大量重复试验或观察下,它的结果却呈现出某种统计规律性.
概率论与数理统计是研究随机现象统计规律性的一门学科
为了对随机现象的统计规律性进行研究,就需要对随机现象进行重复观察,我们把对随机现象的观察称为随机试验,并简称为试验,记为E.
随机试验具有下列特点:
我们称试验E的样本空间的子集为E的随机事件,简称事件,在随机试验中,可能出现也可能不出现,而在大量重复试验中具有某种规律性一般用A,B,C,,…等大写字母表示事件.设A为一个事件,当且仅当试验中出现的样本点w∈A时,称事件A在该次试验中发生.
注:要判断一个事件是否在一次试验中发生,只有当该次试验有了结果以后才能知道.


频率定义:在相同条件下重复进行了n次试验,如果事件A在这n次试验中发生了 n A n_A nA次,则称比值 n A n \frac{n_A}{n} nnA为事件A发生的频率,记作 f n ( A ) f_n(A) fn(A)。
即对任意事件A,在相同的条件下重复进行n次试验,事件A发生k次,从而事件A发生的频率 k n \frac{k}{n} nk,随着试验次数n的增大而稳定地在某个常数p附近摆动,那么称p为事件A的概率
概率的公理化定义: 设E是随机试验,S是它的样本空间。对于E的每一事件A赋予一个实数,记为
P
(
A
)
P(A)
P(A)称为事件 A 的概率.满足条件



我们高中数学的概率,拥有以下特点:

在事件 A 发生的前提条件下事件 B 发生的概率,称为条件概率,记为 P ( B ∣ A ) = P ( A B ) P ( A ) P(B|A)=\frac{P(AB)}{P(A)} P(B∣A)=P(A)P(AB)。
条件概率符合概率的公理化定义中的三个条件


即将该样本空间划分为 n 个两两互不相容的事件. 结合乘法公式得出全概率公式

该公式是 通过加和 A 在每个划分事件中概率,得出A的总概率
再进一步转换得贝叶斯公式

两事件互不相容与相互独立是完全不同的两个概念,它们分别从两个不同的角度表达了两事件间的某种联系,互不相容是表述在一次随机试验中两事件不能同时发生,而相互独立是表述在一次随机试验中一事件是否发生与另一事件是否发生互无影响.

A,B相互独立与A,B互不相容不能同时成立
证明: P ( A ˉ B ) = P ( A ˉ ) P ( B ) P(\bar{A}B)=P(\bar{A})P(B) P(AˉB)=P(Aˉ)P(B)
- P ( A ˉ B ) = P ( A ) − P ( A B ) P(\bar{A}B)=P(A)-P(AB) P(AˉB)=P(A)−P(AB)
- P ( A ˉ B ) = P ( A ) − P ( A ) P ( B ) = P ( A ) ( 1 − P ( B ) ) P(\bar{A}B)=P(A)-P(A)P(B)=P(A)(1-P(B)) P(AˉB)=P(A)−P(A)P(B)=P(A)(1−P(B))

这里有个问题“如何去描述随机事件?”. 例如:
现实世界中各色各样具象的随机事件,就都可以被映射成数学世界中抽象的数字,而这种映射规则就叫做随机变量.

随机变量.质实际上就是随机事件的数字化.
在完成了随机事件到随机变量的数字化过程之后,再想办法映射到概率值域 [0,1]内.这映射即为分布函数 F ( x ) F(x) F(x)

而在分布函数的基础上,为了进一步的刻画其局部特性,而丰富引入了概率分布(离散型)与概率密度(连续型):

如果随机变量X的取值是有限个或可列无穷个,则称X为离散型随机变量. 其概率分布
| X | x 1 x_1 x1 | x 2 x_2 x2 | x 3 x_3 x3 | x 4 x_4 x4 | x 5 x_5 x5 | … |
|---|---|---|---|---|---|---|
| P | p 1 p_1 p1 | p 2 p_2 p2 | p 2 p_2 p2 | p 4 p_4 p4 | p 5 p_5 p5 | … |


如图可见当X增加到一定程度后,概率P的增加就相对缓慢.





























《第一章 概率论的基本概念》
《第二章 随机变量及其分布》
《概率论-3.随机变量与分布函数》
《随机变量及其分布》
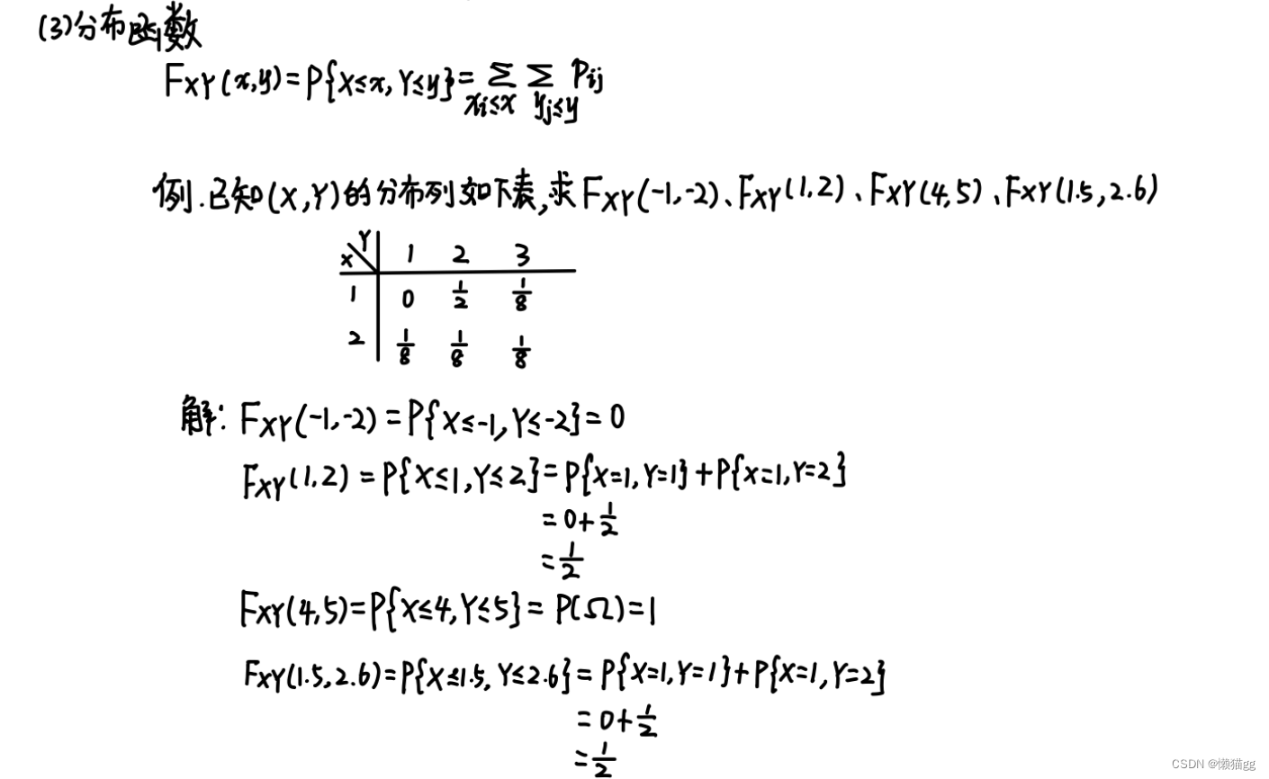
《第三章 多维随机变量及其分布》
《概率论-5.多维随机变量及其函数的分布》