一、文章摘要
随着云存储和隐私保护的发展,可逆数据隐藏在加密图像中(RDHEI)作为一种技术越来越受到人们的关注,它可以:在图像加密领域嵌入额外的数据,确保嵌入的数据可以无差错地提取,原始图像可以无损地恢复。本文提出了一种基于多MSB(最高有效位)预测和Huffman编码的大容量RDHEI算法。首先,自适应预测每个像素的多MSB,并在原始图像中进行Huffman编码标记。然后,采用流密码法对图像进行加密。最后,利用空出的空间可以通过多MSB替换来嵌入额外的数据。实验结果表明,与现有方法相比,该方法具有更高的嵌入容量。
二、文章提出的方法
本文提出了一种基于多MSB预测和Huffman编码的大容量无差错数据提取和图像解密新方法。如图2所示,所提方法包含三个阶段:1)图像加密由内容所有者完成;2)数据嵌入由数据隐藏者完成;3)数据提取和图像解密由接收者完成。在图像加密阶段,我们首先在图像加密之前计算原始图像的标签映射,并将标签映射嵌入到加密后的图像中。在嵌入阶段,我们可以根据标签映射,通过自适应多MSB替换在每个加密像素中嵌入多比特信息。最后,对于具有数据隐藏密钥或图像加密密钥的接收者,可以分别进行数据提取或图像恢复,且提取的数据和恢复的图像均无差错。

A.标签映射生成
对于大小为m × n的原始图像I,首先计算每个像素的预测值。如图3所示,我们基于当前像素x(i, j)周围的三个像素,使用中值边缘检测器(MED)预测器[6]计算预测值px(i, j),其中1≤i≤m, 1≤j≤n, 公式如下:


接下来,我们将x(i, j)和px(i, j)的值通过公式(6)转换为8位二进制序列,表示为xk(i, j)和pxk(i, j),其中k = 1,2,…8。

然后,从MSB到LSB依次比较xk(i, j)和pxk(i, j)的每一位,直到某一位不同,当前像素的标签等于它们相同位的长度。由于转换后的二进制序列有8位,所以像素的标签有9个情况,即从0到8。假设标签值用t表示,即t = 0,1,2,…,8,根据式(7)得到的t的最大值为当前像素x(i, j)的标签。

其中x(i, j)tMSB和px(i, j)tMSB分别为x(i, j)和px(i, j)的t- MSB(像素的前t MSB)值。
由式(7)得到当前像素的标签值t,表示该像素在后续的数据隐藏过程中可以嵌入(t + 1)位。这是因为原始像素的前(t + 1)个MSB可以从它的预测值中得到。换句话说,原始像素的前t-MSB与其预测值相同,将其预测值对应位置的值求负即可得到第(t + 1)个MSB。
例如,如图4所示,假设当前像素值x等于156,其预测值px等于150。然后将x和px转换为8位二进制序列,记为xk和pxk (k = 1,2,…, 8),即xk = ’ 10011100 ', pxk = ’ 10010110 ‘。通过比较,可以得到xk和pxk的序列在第5个位置是不同的,即前四位是相同的,因此像素x的标签为’ label = 4 ',即可以在该像素中嵌入5位信息。

最后,我们可以通过上述方法扫描图像中的所有像素,得到原始图像的标签映射。请注意,第一行和第一列中的像素是参考像素,没有标记。
B.图像加密
在该部分中,对原始图像的每个像素使用加密密钥Ke进行加密。首先,我们通过密钥Ke生成一个m × n的伪随机矩阵r。接下来,将当前像素x(i, j)及其对应的r(i, j)根据公式(6)转换为8位二进制序列,记为xk(i, j)和rk(i, j)。然后执行如下加密操作:

其中xke(i, j)是加密的8位二进制序列,⊕是异或(XOR)操作。最后由公式(9)计算加密后的像素xe(i, j),得到加密后的图像Ie。

C.Huffman 编码
根据Section III-A中获得的原始图像的标签映射,我们可以计算出图像中可以嵌入的数据总量。当然,标签映射需要转换成二进制序列作为辅助信息并嵌入到加密图像中,其目的是保证原始图像可以完全重建。
对于自然图像中的所有像素,有9种标签,所以我们需要用9个二进制代码来表示所有类型的标签。由于每个标签的数量不同,我们通过Huffman编码来记录标签映射,这样可以有效地压缩辅助信息量,从而增加图像的有效载荷。因此,我们预定义了9种Huffman码来表示这9种标签,分别是{00,01,100,101,1100,1101,1110,11110,11111}。我们首先对9种标签按像素数进行排序,我们使用较短的代码表示像素数较大的标签。也就是说,对于9个Huffman编码,其中’ 00 ‘表示像素数最大的标签,’ 11111 '表示像素数最小的标签。
例如,在Lena图像中,标签映射的分布和相应的Huffman编码如表I所示,其中’-1’表示参考像素。我们可以看到,Lena中标签值为5的像素数量最大,因此这些像素被标记为’00’代码。标签值为1的像素数量最少,因此这些像素被标记为’11111’代码。

Huffman编码确定后,我们可以计算标签映射的长度,表示为LM,公式如下:

D.标签映射嵌入
为了在加密图像中产生空间来嵌入额外的数据,我们需要在数据隐藏操作之前先嵌入标签映射。在加密图像Ie中,我们首先通过Huffman编码将标签映射转换为二进制序列。然后,我们以Huffman编码规则、二进制序列的长度和二进制序列作为辅助信息。请注意,Huffman编码规则是9个Huffman编码,按照它们所代表的标签按0到8的顺序排列。接下来,为了保证Huffman编码规则和标签映射在后期能够完全提取出来,我们需要将部分辅助信息存储在第一行和第一列的参考像素中。这是因为我们在提取辅助信息时需要提前知道当前像素的标签,而当前像素的标签只能从前一个像素提取的辅助信息中获得,也就是说我们不能直接从当前像素中得到它的标签值。最后,根据标签映射,将剩余辅助信息和替换后的参考像素通过多MSB替换嵌入到加密图像中,嵌入公式如下:

其中t为Ie中当前像素xe(i, j)的标签值,bs为待嵌入的辅助信息。在嵌入辅助信息和参考像素后,我们得到了最终包含标签映射的加密图像。注意,为了在后续操作中完全提取辅助信息,需要在一些粗略图像中设置多个行和列作为参考像素。
E.数据隐藏
在本小节中,在数据隐藏之前我们需要从获得的加密图像中提取Huffman编码规则和标签映射Ie’。首先,提取第一行和第一列的部分辅助信息,得到Huffman编码规则和辅助信息长度。然后根据已有的辅助信息和Huffman编码规则,获得当前像素的标签值t,提取(t + 1)位辅助信息。在获得所有辅助信息后,我们可以根据Huffman编码规则恢复标签映射。最后,根据式(11),将附加的数据嵌入到剩余像素中,剩余像素是用于将数据嵌入加密图像中的预留空间。因此,生成包含附加数据的标记加密图像Iew。注意,为了进一步增强嵌入数据的安全性,我们在嵌入过程之前使用数据隐藏密钥Kd对其进行加密。
F.数据提取和图像恢复
首先,合法的接收者可以从标记的加密图像Iew中提取Huffman编码规则和标签映射。然后,根据标签映射,以同样的方式提取参考像素和加密的附加数据。最后,将参考像素放回第一行和第一列。上面的工作可以在没有密钥的情况下完成,但是下一个过程将得到不同的结果,这取决于接收方拥有的不同的密钥。
如果接收方只有数据隐藏密钥Kd,则可以直接对提取出来的加密附加数据进行解密,获得所嵌入的信息。然而,由于没有加密密钥,原始图像无法重建。
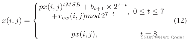
如果接收方只有加密密钥Ke,则可以恢复原始图像而不丢失。这是因为数据隐藏密钥只对嵌入的数据进行加密,并不影响图像处理的过程。首先,根据Ke生成的伪随机矩阵r对得到的图像进行解密,并由式(8)处理。然后我们得到解密后的图像Iew,除了参考像素外,每个像素的前(t + 1)位都与原始像素不同。因为这些像素根据它们的标签值t嵌入了额外的(t + 1)比特的信息。接下来,我们从上到下,从左到右扫描图像中的像素,除了参考像素。使用MED预测器计算当前像素xew’(i, j)的预测值px(i, j),然后根据标签值t和预测值px(i, j)恢复原始像素x(i, j)。这是因为x(i, j)的t-MSB与对应的px(i, j)相同,x(i, j)的第(t + 1)个MSB可以通过对px(i, j)的第(t + 1)个MSB求负得到。注意,如果标签值等于8,则原始像素等于其预测值。重建过程表示如下:

其中,px(i, j)tMSB为由式(7)求得的px(i, j)的t- MSB值,bt+1为原像素的第(t +1)个二进制值,由下式求得:

式中,pxt+1(i, j)为由式(6)求得的px(i, j)的第(t +1)个二进制位。最后得到无误差的原始图像。
因此,只有数据隐藏密钥Kd和图像加密密钥Ke同时存在,接收方才能可逆地提取附加数据并恢复原始图像。
三、汇报PPT
1、预备知识




2、相关工作

3、提出方法

3.1、标签映射生成






3.2、图像加密

3.3、Huffman编码


3.4、标签映射嵌入 & 3.5、数据隐藏





3.6 数据提取和图像解密


4、实验结果

4.1、安全性分析

4.2、性能分析


4.3、比较


5、结论

论文地址:Reversible Data Hiding in Encrypted Images Based on Multi-MSB Prediction and Huffman Coding