💥💥💞💞欢迎来到本博客❤️❤️💥💥
🏆博主优势:🌞🌞🌞博客内容尽量做到思维缜密,逻辑清晰,为了方便读者。
⛳️座右铭:行百里者,半于九十。
📋📋📋本文目录如下:🎁🎁🎁
目录
摘要:
在一些新兴的卫星应用中,准确测量编队中卫星之间的距离至关重要。基于飞秒激光器的距离测量系统被认为是可以纳入卫星的非常精确的解决方案。利用同一激光链路进行距离测量和通信将是偶然的,因此与单独执行这两项任务相比,实现有效载荷重量和尺寸大大降低的两种功能。在这封信中,我们建议调制范围飞秒脉冲以携带通信信息。所提出的调制在频域中,受益于飞秒脉冲的宽带特性。该方法取决于飞秒脉冲的特殊特性,飞秒脉冲具有非常宽的频谱和超短的持续时间。我们分析了多反脉冲位置调制(MIPPM)方法。MIPPM的主要思想是每个频谱分量的ON-OFF调制,而每个调制符号包括所有频谱分量,在任何给定时间只有少数频谱分量处于OFF状态。我们分析了所提系统在给定参数集的符号错误率方面的性能。
激光测距仪在卫星遥感、卫星编队飞行和导航等领域的空间系统中发挥着重要作用。在最近的一项提案中,有人提议使用飞秒激光脉冲进行距离测量,以替代射频测距方法或精度较低的光学方法[1]-[5]。飞秒激光脉冲技术通过在测距操作中添加通信功能,为光学系统的双重用途提供了机会。由于许多原因,同时使用相同的链路进行测距和通信是有利的,包括减轻重量、尺寸和功耗,并且过去已在射频(RF)范围内实施[6]。最先进的光学技术开辟了使用基于激光的解决方案扩展这一概念的可能性[7]。
已经提出了许多巧妙的方法来实现飞秒脉冲的高精度激光测距[1],[8]-[11]。此外,飞秒激光器被发现适用于太空任务[12],[13],因此它们有望成为星载测距的一个有前途的选择。为了更充分地受益于星载飞秒测距系统,我们提出了一种基于Weiner等人首次提出的概念,通过通信链路增强测距性能的新方法。 [14]。
频谱操纵是多反脉冲位置调制(MIPPM)的良好基础。光谱域中的MIPPM涉及每个光谱分量的开关调制,而每个调制符号包括所有光谱分量,并且在任何给定时间只有少数光谱分量处于关闭状态。因此,MIPPM不会显着降低测距性能,这是主要任务(即不会显着降低接收到的光功率)。
在许多情况下,飞秒激光器产生具有高斯光谱形状的脉冲,尽管众所周知飞秒脉冲可以用许多其他光谱形状产生,例如双曲线、sech 和洛伦兹 [18]。在所提出的方案中,色散元件(例如衍射光栅)在空间上散布高斯分布光谱分量。使用空间光调制器(SLM),可以阻挡一个或多个光谱槽(即开关),如图1所示。



部分代码:
- %% Theoretical Value (Eq. (15-16 in paper)
- %syms v
- Q = @(x) 0.5*erfc(x/sqrt(2));
- syms v
- for w = 1:length(SNR)
- f = @(v) (1 - Q(v/sigma(w)))^k * exp(-(v-1)^2/(2*sigma(w)^2)) * Q((v-1)/sigma(w))^(n-1);
- p_e(w) = 1- n/(sqrt(2*pi)*sigma(w))*double(vpa(int(f(v),v,-Inf,Inf),5));
- end
-
- %% Plot Results
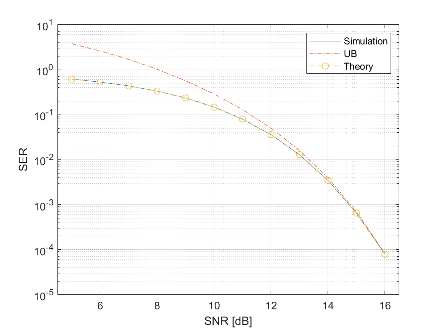
- h = semilogy(SNRdB,ser,SNRdB,ser_ub,SNRdB,p_e);
- h(2).LineStyle = '-.';
- h(3).LineStyle = '--';
- h(3).Marker = 'o';
-
- xlim([4.5 16.5])
- legend('Simulation','UB','Theory')
- grid on
- xlabel('SNR [dB]')
- ylabel('SER')
- set(gcf, 'Color', 'w');
%% Theoretical Value (Eq. (15-16 in paper)
%syms v
Q = @(x) 0.5*erfc(x/sqrt(2));
syms v
for w = 1:length(SNR)
f = @(v) (1 - Q(v/sigma(w)))^k * exp(-(v-1)^2/(2*sigma(w)^2)) * Q((v-1)/sigma(w))^(n-1);
p_e(w) = 1- n/(sqrt(2*pi)*sigma(w))*double(vpa(int(f(v),v,-Inf,Inf),5));
end
%% Plot Results
h = semilogy(SNRdB,ser,SNRdB,ser_ub,SNRdB,p_e);
h(2).LineStyle = '-.';
h(3).LineStyle = '--';
h(3).Marker = 'o';
xlim([4.5 16.5])
legend('Simulation','UB','Theory')
grid on
xlabel('SNR [dB]')
ylabel('SER')
set(gcf, 'Color', 'w');
文章中一些内容引自网络,会注明出处或引用为参考文献,难免有未尽之处,如有不妥,请随时联系删除。
