
目录
编辑
题目:
图例:
分析:
解法:
解法1:
解法2:
解法2本质:
代码演示:
n3要进行判断的原因:
方法二:
头插法:
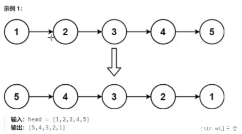
题目:
给你单链表的头节点 head ,i请你反转链表,并返回反转后的链表。
图例:

分析:
根据链表的特征,反转链表的本质便是改变节点内部的指针方向。
将原先指向下一个节点的指针进行修改,将其的指向修改成指向上一个节点。
解法:
根据分析我们可以得出两种解法:
解法1:
- 定义新链表,和移除元素的做法类似,但是使用的是头插方法。
解法2:
- 直接在原链表上改变指针的指向,这里需要运用三个指针。
- 第一个是最开始的设置为NULL的指针n1
- 第二个是开始从第一个节点开始遍历的n2
- 第三个是从第二个节点开始遍历的n3。
- n2是改变方向的,n3是保存下一个节点位置的,n1是被指方向的,三者同时开始遍历,只是遍历的位置不同。

解法2本质:
- 本质就是原先 节点 1的 1->next 指向的是2 变成了指向NULL。
- 原先节点2 的 2->next指向3 变成了指向节点1。
- 开始遍历的时候,首先将n2的指针指向变成n1,而后n1要变成n2,n2要变成n3,n3要变成n3->next

- 要注意n3在遍历过程中是最早指向NULL的所以要给n3设定一个判定条件,让n3及时停下。
- 另外还要判定这个链表是否有节点,那么就是得判定第一个节点head是否存在。
代码演示:

- 因为n2最后要变成头节点,所以遍历的判定条件是n2是否为空
n3要进行判断的原因:
当n3变成NULL的时候没必要继续进行移动,移动到最后一个节点。

方法二:

设一个指针指向一个NULL,在设一个指针cur指向头节点,以及设置一个next指针表示cur->next,cur->next是保存节点的作用,cur表示头插,将cur->next改变方向指向newhead(新创造的一个指向NULL的指针),然后newhead移动,cur移动,next也因此改变。
