房价预测
销售额度预测
金融:贷款额度预测、利用线性回归以及系数分析因子

线性回归(Linear regression)是利用回归方程(函数)对一个或多个自变量(特征值)和因变量(目标值)之间关系进行建模的一种分析方式。

那么怎么理解呢?我们来看几个例子
期末成绩 = 0.7×考试成绩+0.3×平时成绩
房子价格 = 0.02×中心区域的距离 + 0.04×城市一氧化氮浓度 + (-0.12×自住房平均房价) + 0.254×城镇犯罪率
上面两个例子,我们看到特征值与目标值之间建立的一个关系,这个可以理解为回归方程。
线性回归当中的关系有两种,一种是线性关系,另一种是非线性关系。在这里我们只能画一个平面更好去理解,所以都用单个特征举例子。


注释:如果在单特征与目标值的关系呈直线关系,或者两个特征与目标值呈现平面的关系
更高维度的我们不用自己去想,记住这种关系即可

注释:为什么会这样的关系呢?原因是什么?我们后面 讲解过拟合欠拟合重点介绍
如果是非线性关系,那么回归方程可以理解为:

非线性关系?
线性模型
1、自变量一次
y = w1x1 + w2x2 + w3x3 + …… + wnxn + b
2、参数一次
y = w1x1 + w2x1^2 + w3x1^3 + w4x2^3 + …… + b
1、线性关系一定是线性模型
2、线性模型不一定是线性关系
假设刚才的房子例子,真实的数据之间存在这样的关系
真实关系:真实房子价格 = 0.02×中心区域的距离 + 0.04×城市一氧化氮浓度 + (-0.12×自住房平均房价) + 0.254×城镇犯罪率
那么现在呢,我们随意指定一个关系(猜测)
随机指定关系:预测房子价格 = 0.25×中心区域的距离 + 0.14×城市一氧化氮浓度 + 0.42×自住房平均房价 + 0.34×城镇犯罪率
请问这样的话,会发生什么?真实结果与我们预测的结果之间是不是存在一定的误差呢?类似这样样子

那么存在这个误差,我们将这个误差给衡量出来。
总损失定义为:

如何去减少这个损失,使我们预测的更加准确些?既然存在了这个损失,我们一直说机器学习有自动学习的功能,在线性回归这里更是能够体现。这里可以通过一些优化方法去优化(其实是数学当中的求导功能)回归的总损失!!!
如何去求模型当中的W,使得损失最小?(目的是找到最小损失对应的W值)
线性回归经常使用的两种优化算法
优化方法?
正规方程
梯度下降
勤奋努力的普通人
试错、改进
正规方程

理解:X为特征值矩阵,y为目标值矩阵。直接求到最好的结果
缺点:当特征过多过复杂时,求解速度太慢并且得不到结果


理解:α为学习速率,需要手动指定(超参数),α旁边的整体表示方向
沿着这个函数下降的方向找,最后就能找到山谷的最低点,然后更新W值
使用:面对训练数据规模十分庞大的任务 ,能够找到较好的结果
我们通过两个图更好理解梯度下降的过程


所以有了梯度下降这样一个优化算法,回归就有了"自动学习"的能力
sklearn.linear_model.LinearRegression(fit_intercept=True) # 通过方程计算的最小二乘法实现系数的解析
sklearn.linear_model.SGDRegressor(loss=“squared_loss”, fit_intercept=True, learning_rate =‘invscaling’, eta0=0.01)


回归当中的数据大小不一致,是否会导致结果影响较大。所以需要做标准化处理。同时我们对目标值也需要做标准化处理。
均方误差(Mean Squared Error)MSE)评价机制:

注:y^i为预测值,¯y为真实值

如图红色圈圈显示,官方给出的使用api的意见。
| 梯度下降 | 正规方程 |
|---|---|
| 需要选择学习率 | 不需要 |
| 需要迭代求解 | 一次运算得出 |
| 特征数量较大可以使用 | 需要计算方程,时间复杂度高O(n3) |
import pandas as pd
from sklearn.linear_model import LinearRegression, SGDRegressor
from sklearn.metrics import mean_squared_error
from sklearn.model_selection import train_test_split
import numpy as np
data_url = "http://lib.stat.cmu.edu/datasets/boston"
raw_df = pd.read_csv(data_url, sep="\s+", skiprows=22, header=None)
data = np.hstack([raw_df.values[::2, :], raw_df.values[1::2, :2]])
target = raw_df.values[1::2, 2]
print(data.shape)
print(target.shape)
print("data:\n",data)
print("target:\n",target)


x_train, x_test, y_train, y_test = train_test_split(data, target, test_size=0.3, random_state=24)
print(x_train.shape)
print(x_test.shape)
print(y_train.shape)
print(y_test.shape)

print(x_train)
print(x_test)
print(y_train)
print(y_test)



from sklearn.preprocessing import StandardScaler
# 需要做标准化处理对于特征值处理
std_x = StandardScaler()
x_train = std_x.fit_transform(x_train)
x_test = std_x.fit_transform(x_test)
print("x_train:\n", x_train)
print("x_test:\n", x_test)

# 使用线性模型进行预测
# 使用正规方程求解
lr = LinearRegression()
# # 此时在干什么?
lr.fit(x_train, y_train)
y_lr_predict = lr.predict(x_test)
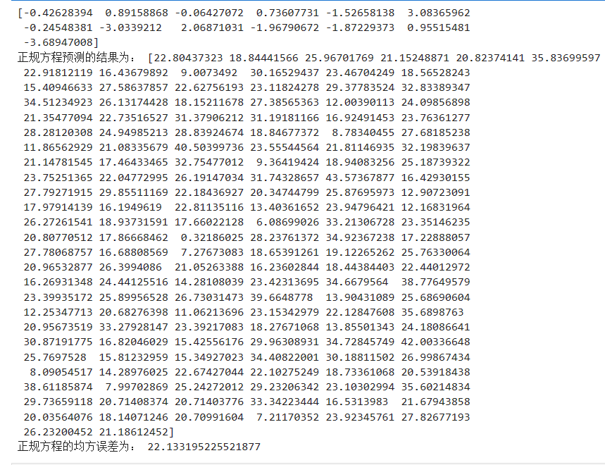
print(lr.coef_)
print("正规方程预测的结果为:", y_lr_predict)
print("正规方程的均方误差为:", mean_squared_error(y_test, y_lr_predict))

# 随机梯度下降进行预测
# 随机梯度下降进行预测
sgd = SGDRegressor(learning_rate ='optimal', eta0=0.01, alpha=0.01, max_iter=1000)
sgd.fit(x_train, y_train)
print("SGD的权重参数为:", sgd.coef_)
y_sgd_predict = sgd.predict(x_test)
print("SGD的预测的结果为:", y_sgd_predict)
# # 怎么评判这两个方法好坏
print("SGD的均方误差为:", mean_squared_error(y_test, y_sgd_predict))

梯度下降(Gradient Descent),原始的梯度下降法需要计算所有样本的值才能够得出梯度,计算量大,所以后面才有会一系列的改进。
随机梯度下降(Stochastic gradient descent)是一个优化方法。它在一次迭代时只考虑一个训练样本。
SGD的优点是:
高效
容易实现
SGD的缺点是:
SGD需要许多超参数:比如正则项参数、迭代数。
SGD对于特征标准化是敏感的。
随机平均梯度法(Stochasitc Average Gradient),由于收敛的速度太慢,有人提出SAG等基于梯度下降的算法
Scikit-learn:SGDRegressor、岭回归、逻辑回归等当中都会有SAG优化